【药物名称】Tadalafil, GF-196960, IC-351, Cialis
化学结构式(Chemical Structure):
参考文献No.27672
标题:Tetracyclic derivs., process of preparation and use
作者:Daugan, A.C.-M. (Icos Corp.)
来源:EP 0740668; JP 1997508113; US 5859006; US 6025494; US 6127542; WO 9519978
合成路线图解说明:

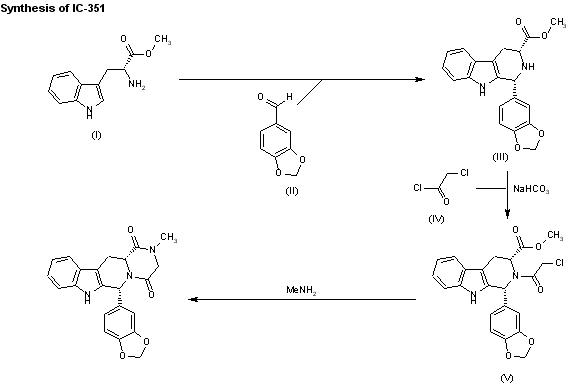
Cyclization of D-tryptophan methyl ester (I) with piperonal (II) by means of TFA in dichloromethane gives, after separation of the undesired trans-isomer by flash chromatography, the (1R,3R-cis)-pyrido-indole derivative (III). The acylation of (III) with chloroacetyl chloride (IV) and NaHCO3 in chloroform yields the chloroacetyl derivative (V), which is finally cyclized with methylamine in methanol.

参考文献No.32434
标题:Use of cGMP-phosphodiesterase inhibitors to treat impotence
作者:Daugan, A.C.-M. (Icos Corp.)
来源:JP 1999509221; US 6140329; WO 9703675
合成路线图解说明:

Cyclization of D-tryptophan methyl ester (I) with piperonal (II) by means of TFA in dichloromethane gives, after separation of the undesired trans-isomer by flash chromatography, the (1R,3R-cis)-pyrido-indole derivative (III). The acylation of (III) with chloroacetyl chloride (IV) and NaHCO3 in chloroform yields the chloroacetyl derivative (V), which is finally cyclized with methylamine in methanol.

参考文献No.46213
标题:Tetracyclic cyclic GMP-specific phosphodiesterase inhibitors, process of preparation and use
作者:Gellibert, F.; Daugan, A.C.-M. (Icos Corp.)
来源:US 6143746
合成路线图解说明:

Cyclization of D-tryptophan methyl ester (I) with piperonal (II) by means of TFA in dichloromethane gives, after separation of the undesired trans-isomer by flash chromatography, the (1R,3R-cis)-pyrido-indole derivative (III). The acylation of (III) with chloroacetyl chloride (IV) and NaHCO3 in chloroform yields the chloroacetyl derivative (V), which is finally cyclized with methylamine in methanol.

参考文献No.606182
标题:IC-351
作者:Mart韓, L.; Sorbera, L.A.; Leeson, P.A.; Casta馿r, J.
来源:Drugs Fut 2001,26(1),15
合成路线图解说明:

Cyclization of D-tryptophan methyl ester (I) with piperonal (II) by means of TFA in dichloromethane gives, after separation of the undesired trans-isomer by flash chromatography, the (1R,3R-cis)-pyrido-indole derivative (III). The acylation of (III) with chloroacetyl chloride (IV) and NaHCO3 in chloroform yields the chloroacetyl derivative (V), which is finally cyclized with methylamine in methanol.

参考文献No.757016
标题:The discovery of tadalafil: A novel and highly selective PDE5 inhibitor. 2: 2,3,6,7,12,12a-Hexahydropyrazino[1',2':1,6]pyrido[3,4-b]indole-1,4-dione analogues
作者:Daugan, A.; Grondin, P.; Ruault, C.; Le Monnier de Gouville, A.C.; Coste, H.; Linget, J.M.; Kirilovsky, J.; Hyafil, F.; Labaudiniere, R.
来源:J Med Chem 2003,46(21),4533
合成路线图解说明:

Cyclization of D-tryptophan methyl ester (I) with piperonal (II) by means of TFA in dichloromethane gives, after separation of the undesired trans-isomer by flash chromatography, the (1R,3R-cis)-pyrido-indole derivative (III). The acylation of (III) with chloroacetyl chloride (IV) and NaHCO3 in chloroform yields the chloroacetyl derivative (V), which is finally cyclized with methylamine in methanol.

Drug Information Express,Drug R&D,Chemical Database,Patent Search.
Copyright © 2006-2026 Drug Future. All rights reserved.Contact Us