【药物名称】Daxalipram, Mesopram
化学结构式(Chemical Structure):
参考文献No.33217
标题:Chiral methyl phenyl oxazolidinones
作者:Laurent, H.; Ottow, E.; Kirsch, G.; Wachtel, H.; Schneider, H.; Faulds, D.; Dinter, H. (Schering AG)
来源:DE 19540475; EP 0859766; JP 1999513093; US 6025376; WO 9715561
合成路线图解说明:

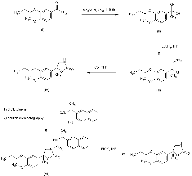
3'-Methoxy-4'-propyloxyacetophenone (I) was converted to cyanohydrin (II) by treatment with trimethylsilyl cyanide in the presence of ZnI2. Subsequent reduction of (II) with LiAlH4 yielded the amino alcohol (III). This was cyclized to the racemic oxazolidinone (IV) by reaction with carbonyl diimidazole in THF. Coupling of the racemic (IV) with (R)-1-(1-naphthyl)ethyl isocyanate (V) furnished the corresponding urea as a diastereomeric mixture, which was separated by column chromatography. The desired isomer (VI) was then hydrolyzed by means of potassium ethoxide to give the title (R) oxazolidine.

Drug Information Express,Drug R&D,Chemical Database,Patent Search.
Copyright © 2006-2026 Drug Future. All rights reserved.Contact Us