【药物名称】
化学结构式(Chemical Structure):
参考文献No.33184
标题:(Methylsulfonyl)phenyl-2-(5H)-furanones as COX-2 inhibitors
作者:Belley, M.; Gauthier, J.Y.; Grimm, E.; Leblanc, Y.; Li, C.-S.; Therien, M.; Lau, C.-K.; Prasit, P.; Roy, P. (Merck Frosst Canada Inc.)
来源:EP 0863891; JP 1999500146; US 5981576; WO 9714691
合成路线图解说明:

The Friedel Crafts condensation of thioanisole (I) with isobutyryl chloride (II) by means of AlCl3 gives the propiophenone (III), which is alpha hydroxylated by means of Aliquant 336 and NaOH yielding the alpha hydroxy ketone (IV). The oxidation of the methylsulfanyl group of (IV) with magnesium monoperoxyphthalate (MMPP) affords the corresponding sulfone (V), which is finally cyclized with 2-(3,4-difluorophenoxy)acetic acid (VI) by means of 1-cyclohexyl-3-[2-(4-morpholinyl)ethyl]carbodiimide metho-p-toluenesulfonate (CMC), DMAP and DBU to furnish the target furanone.

合成路线图解说明:

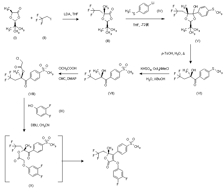
Alkylation of 2-(S)-tert-butyl-5-(S)-methyl-1,3-dioxolan-4-one (I) with 1,1,1-trifluoro-2-iodoethane (II) in the presence of LDA in THF at -72 C provided trifluoroethyl compound (III). Condensation of (III) with 4-(methylthio)phenyllithium (IV), prepared from 4-bromothioanisole and BuLi, gave (V), which was hydrolyzed with p-toluenesulfonic acid in boiling water to afford ketone (VI). Subsequent oxidation of sulfide group with KHSO5 (Oxone(R)) in the presence of Oct3NMeCl (Aliquat 336(R)) produced sulfone (VII). Esterification of (VII) with chloroacetic acid using 1-cyclohexyl-3-(2-morpholinoethyl)carbodiimide methyl-p-toluenesulfonate (CMC) as the condensing agent provided chloroacetate (VIII). Finally, condensation with 3,4-difluorophenol (IX) in the presence of DBU in acetonitrile gave the intermediate ether (X), which cyclized to produce the target furanone.

合成路线图解说明:

Horner-Emmons reaction of 4-(methylthio)benzaldehyde (XI) with phosphonate (XII) in the presence of Et3N and MgBr2 afforded unsaturated ester (XIII). Oxidation to sulfone (XIV) was effected with H2O2 and a catalytic amount of Na2WO4. Subsequent reduction of the ester group with DIBAL-H in CH2Cl2 at -78 C produced allyl alcohol (XV), which was converted to iodide (XVI) on treatment with I2, Ph3P and imidazole in acetonitrile. Reaction of this iodide with methyl chlorodifluoro-acetate in the presence of KF and CuI in DMF at 90 C yielded trifluoromethyl compound (XVIII). Alternatively, alcohol (XV) could be converted to (XVIII) with chlorodifluoroacetic anhydride followed by conversion of the intermediate ester (XVII) to trifluoroethyl compound in the presence of KF and CuI. Sharpless asymmetric dihydroxylation of olefin (XVIII) with potassium ferricyanide or iodine and a catalytic amount of K3OsO4 as the oxidants and the chiral ligand hydroquinidine 1,4-phthalazinediyl diether ((DHQD)2PHAL) yielded diol (XXI) with a 79% e.e. In a related procedure, diol (XXI) was obtained by reduction of ester (XIII) and treatment of the resulting allyl alcohol (XIX) with chlordifluoroacetic anhydride to give olefin (XX). Sharpless oxidation of (XX) then produced a mixture of diols with a sulfide, sulfoxide and sulfone groups, which was oxidized with H2O2 and Na2WO4 to the sulfone (XXI) with a 82% e.e. Recrystallization from isopropyl acetate-hexane raised the e.e. to > 98%. Then, Swern oxidation of diol (XXI) provided hydroxyketone (VII). Subsequent esterification with 3,4-difluorophenoxyacetic acid (XXII) in the presence of CMC and DMAP gave ester (X), which was cyclized to the target furanone by treatment with DBU using isopropyl trifluoroacetate as a water scavenger.

合成路线图解说明:

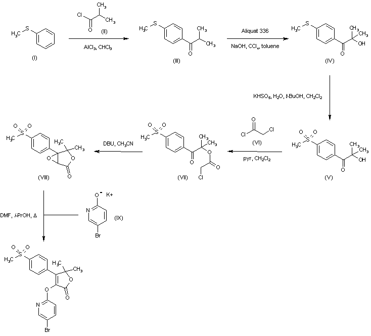
Friedel-Crafts acylation of thioanisole (I) with isobutyryl chloride (II) in the presence of AlCl3 gave ketone (III), which was hydroxylated with NaOH and a phase-transfer agent in CCl4-toluene to provide hydroxyketone (IV). Subsequent oxidation of the sulfide group employing Oxone(tm) gave rise to sulfone (V) (1). Further esterification of (V) with chloroacetyl chloride (VI) and pyridine yielded chloroacetate ester (VII), which was cyclized to the epoxy lactone (VIII) by treatment with DBU in acetonitrile. Finally, epoxide opening with the potassium salt of 5-bromo-2-hydroxypyridine (IX) produced the title (pyridyloxy)furanone.

参考文献No.559053
标题:A new structural variation on the methanesulfonylphenyl class of selective cyclooxygenase-2 inhibitors
作者:Li, C.S.; Black, W.C.; Brideau, C.; Chan, C.C.; Charleson, S.; Cromlish, W.A.; Claveau, D.; Gauthier, J.Y.; Gordon, R.; Greig, G.; Grimm, E.; Guay, J.; Lau, C.K.; Riendeau, D.; Therien, M.; Visco, D.M.; Wong, E.; Xu, L.; Prasit, P.
来源:Bioorg Med Chem Lett 1999,9(22),3181
合成路线图解说明:

The Friedel Crafts condensation of thioanisole (I) with isobutyryl chloride (II) by means of AlCl3 gives the propiophenone (III), which is alpha hydroxylated by means of Aliquant 336 and NaOH yielding the alpha hydroxy ketone (IV). The oxidation of the methylsulfanyl group of (IV) with magnesium monoperoxyphthalate (MMPP) affords the corresponding sulfone (V), which is finally cyclized with 2-(3,4-difluorophenoxy)acetic acid (VI) by means of 1-cyclohexyl-3-[2-(4-morpholinyl)ethyl]carbodiimide metho-p-toluenesulfonate (CMC), DMAP and DBU to furnish the target furanone.

Drug Information Express,Drug R&D,Chemical Database,Patent Search.
Copyright © 2006-2026 Drug Future. All rights reserved.Contact Us