【药物名称】Frakefamide, SPD-759, LEF-576, BCH-3963
化学结构式(Chemical Structure):
参考文献No.32740
标题:Novel opioid peptides
作者:Wang, W. (AstraZeneca plc)
来源:EP 0845003; JP 1999512086; US 6337319; WO 9707130
合成路线图解说明:

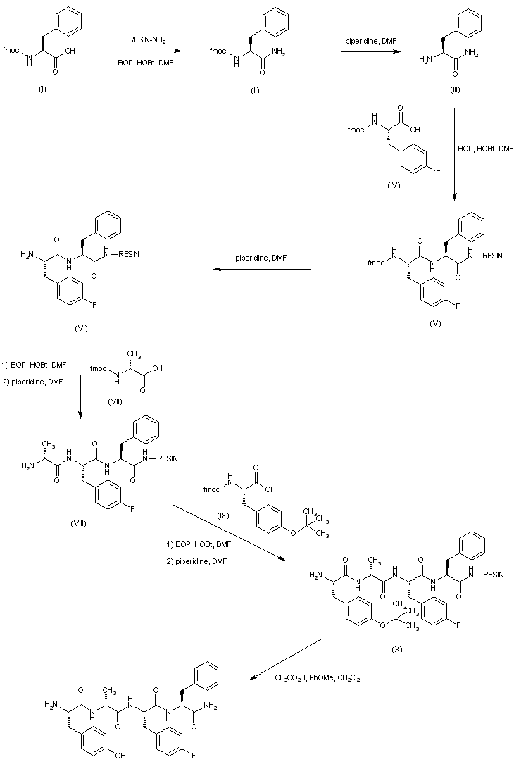
The title compound has been prepared by solid-phase peptide synthesis on a Knorr resin. N-Fmoc-L-Phenylalanine (I) is attached to the resin by means of BOP and HOBt, producing resin (II). Deprotection of the N-Fmoc group of (II) with piperidine in DMF gives the phenylalanine-bound resin (III). Subsequent coupling with N-Fmoc-L-p-fluorophenylalanine (IV) yields the dipeptide resin (V), which is further deprotected to (VI) with piperidine in DMF. Further coupling-deprotection cycles with N-Fmoc-D-alanine (VII) and N-Fmoc-O-tert-butyl-L-tyrosine (IX) provide the peptide resins (VIII) and (X) respectively. Finally, simultaneous cleavage from the resin and side chain deprotection is accomplished by treatment with trifluoroacetic acid.

参考文献No.42287
标题:Process for the preparation of a tetrapeptide
作者:Franz閚, H. (AstraZeneca plc)
来源:WO 9947548
合成路线图解说明:

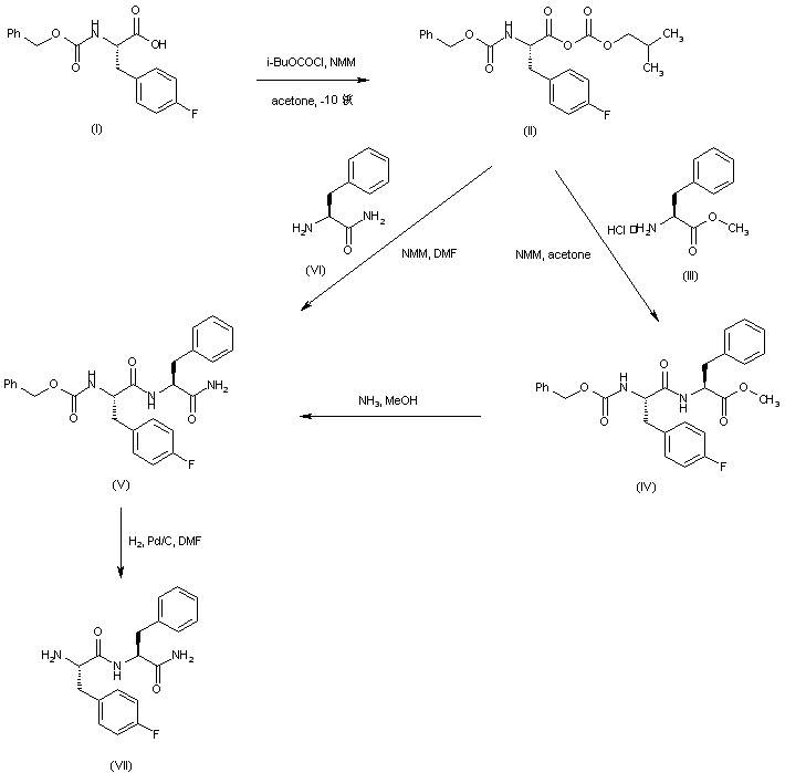
In a different strategy, N-Cbz-p-fluorophenylalanine (I) is activated as the mixed anhydride (II) employing isobutyl chloroformate and N-methylmorpholine. Coupling of anhydride (II) with phenylalanine methyl ester (III) leads to the dipeptide ester (IV), which is further treated with methanolic ammonia to produce amide (V). The dipeptide amide (V) is alternatively obtained by direct coupling of mixed anhydride (II) with phenylalanine amide (VI). Hydrogenolysis of the N-Cbz group of (V) in the presence of Pd/C furnishes the deprotected dipeptide (VII).

合成路线图解说明:

N-Cbz-D-Alanine (VIII) is activated as the mixed anhydride (IX) and subsequently coupled to the dipeptide amide (VII), producing (X). Deprotection of the N-Cbz group of tripeptide (X) by hydrogenolysis over Pd/C yields (XI). The mixed anhydride (XIII) (prepared from N-Cbz-L-tyrosine (XII) and isobutyl chloroformate) is then coupled to tripeptide (XI), producing (XIV). Finally, removal of the N-Cbz group of (XIV) by catalytic hydrogenolysis furnishes the title compound.

参考文献No.61581
标题:A process for the preparation of H-Tyr-D-Ala-Phe(F)-Phe-NH2
作者:Nilsson, M.; Ellburg, M.; Franz鑞, H. (AstraZeneca AB)
来源:EP 1212350; JP 2003509437; WO 0119849
合成路线图解说明:

In a different strategy, N-Cbz-p-fluorophenylalanine (I) is activated as the mixed anhydride (II) employing isobutyl chloroformate and N-methylmorpholine. Coupling of anhydride (II) with phenylalanine methyl ester (III) leads to the dipeptide ester (IV), which is further treated with methanolic ammonia to produce amide (V). The dipeptide amide (V) is alternatively obtained by direct coupling of mixed anhydride (II) with phenylalanine amide (VI). Hydrogenolysis of the N-Cbz group of (V) in the presence of Pd/C furnishes the deprotected dipeptide (VII).

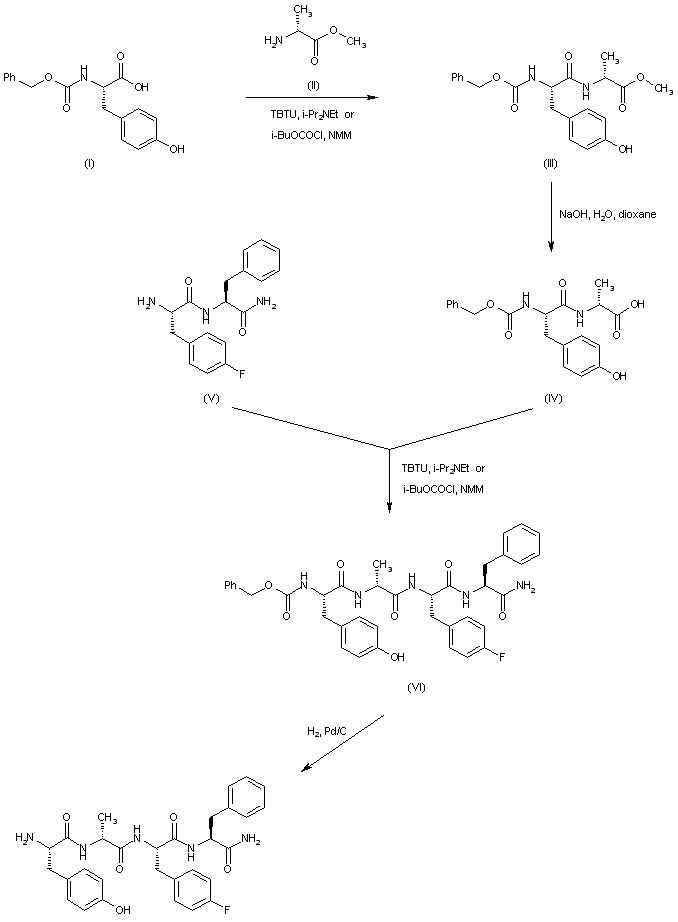
合成路线图解说明:

In an alternative procedure, N-Cbz-L-tyrosine (I) is condensed with D-alanine methyl ester (II), either employing TBTU as the coupling reagent or via previous activation as the mixed anhydride with isobutyl chloroformate, to produce dipeptide (III). After alkaline hydrolysis of the methyl ester function of (III), the resultant carboxylic acid (IV) is coupled to dipeptide amide (V) yielding the protected tetrapeptide (VI). Finally, deprotection of (VI) is carried out by catalytic hydrogenolysis over Pd/C.

参考文献No.707370
标题:Frakefamide, an analgesic tetrapeptide: Development of a pilot-plant-scale process
作者:Franz閚, H.M.; Bessidskaia, G.; Abedi, V.; Nilsson, A.; Nilsson, M.; Olsson, L.
来源:Org Process Res Dev 2002,6(6),788
合成路线图解说明:

In a different strategy, N-Cbz-p-fluorophenylalanine (I) is activated as the mixed anhydride (II) employing isobutyl chloroformate and N-methylmorpholine. Coupling of anhydride (II) with phenylalanine methyl ester (III) leads to the dipeptide ester (IV), which is further treated with methanolic ammonia to produce amide (V). The dipeptide amide (V) is alternatively obtained by direct coupling of mixed anhydride (II) with phenylalanine amide (VI). Hydrogenolysis of the N-Cbz group of (V) in the presence of Pd/C furnishes the deprotected dipeptide (VII).

合成路线图解说明:

In an alternative procedure, N-Cbz-L-tyrosine (I) is condensed with D-alanine methyl ester (II), either employing TBTU as the coupling reagent or via previous activation as the mixed anhydride with isobutyl chloroformate, to produce dipeptide (III). After alkaline hydrolysis of the methyl ester function of (III), the resultant carboxylic acid (IV) is coupled to dipeptide amide (V) yielding the protected tetrapeptide (VI). Finally, deprotection of (VI) is carried out by catalytic hydrogenolysis over Pd/C.

Drug Information Express,Drug R&D,Chemical Database,Patent Search.
Copyright © 2006-2026 Drug Future. All rights reserved.Contact Us