【药物名称】
化学结构式(Chemical Structure):
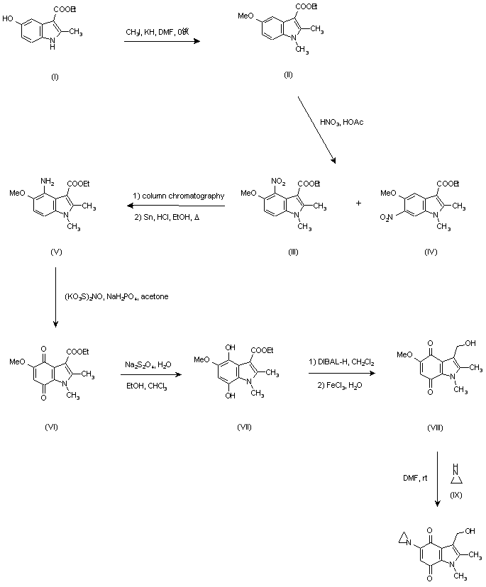
参考文献No.478966
标题:Indolequinone antitumor agents: Correlation between quinone structure, rate of metabolism by recombinant human NAD(P)H:quinone oxidoreductase, and in vitro cytotoxicity
作者:Beall, H.D.; Winski, S.; Swann, E.; Hudnott, A.R.; Cotterill, A.S.; O'Sullivan, N.; Green, S.J.; Bien, R.; Siegel, D.; Ross, D.; Moody, C.J.
来源:J Med Chem 1998,41(24),4755
合成路线图解说明:

Ethyl 5-hydroxy-2-methylindole (I) was dimethylated with iodomethane in the presence of KH to give (II). Nitration of (II) in AcOH afforded the 4-nitroindole (III) together with some 6-nitro isomer (IV), which were separated by column chromatography. Reduction of (III) with Sn and HCl yielded the 4-aminoindole (V). This was then oxidized with Fremy's salt to afford the corresponding indolequinone (VI) (1). Quinone (VI) was reduced to the hydroquinone (VII) with sodium dithionite, and this was further reduced with DIBAL-H to give, after oxidative work-up with FeCl3 to regenerate the quinone, the 3-(hydroxymethyl) indolequinone (VIII). Finally, substitution of the methoxy group of (VIII) with aziridine (IX) in DMF yielded the target compound (2).

合成路线图解说明:

Alkylation of 5-methoxy-2-methylindole (I) with iodomethane and NaH afforded the 1,2-dimethyl derivative (II). Subsequent Vilsmeier formylation of (II) employing N-methylformanilide and POCl3 furnished aldehyde (III). Nitration of (III) to (IV), followed by reduction with Sn and HCl gave aminoindole (V), which was oxidized to the corresponding quinone (VI) by using a buffered solution of Fremy's salt. Aldehyde (VI) reduction with NaBH4 provided alcohol (VII). This was optionally converted to the chloromethyl derivative (VIII) upon treatment with SOCl2. The title p-nitrophenyl ether was either obtained by alkylation of 4-nitrophenol (IX) with chloride (VIII) or by Mitsunobu coupling of 4-nitrophenol (IX) with indole alcohol (VII).

参考文献No.558619
标题:Indolequinone antitumor agents: Reductive activation and elimination from (5-methoxy-1-methyl-4,7-dioxoindol-3-yl)methyl derivatives and hypoxia-selective cytotoxicity in vitro
作者:Naylor, M.A.; Swann, E.; Everett, S.A.; Jaffar, M.; Nolan, J.; Robertson, N.; Lockyer, S.D.; Patel, K.B.; Dennis, M.F.; Stratford, M.R.; Wardman, P.; Adams, G.E.; Moody, C.J.; Stratford, I.J.
来源:J Med Chem 1998,41(15),2720
合成路线图解说明:

Ethyl 5-hydroxy-2-methylindole (I) was dimethylated with iodomethane in the presence of KH to give (II). Nitration of (II) in AcOH afforded the 4-nitroindole (III) together with some 6-nitro isomer (IV), which were separated by column chromatography. Reduction of (III) with Sn and HCl yielded the 4-aminoindole (V). This was then oxidized with Fremy's salt to afford the corresponding indolequinone (VI) (1). Quinone (VI) was reduced to the hydroquinone (VII) with sodium dithionite, and this was further reduced with DIBAL-H to give, after oxidative work-up with FeCl3 to regenerate the quinone, the 3-(hydroxymethyl) indolequinone (VIII). Finally, substitution of the methoxy group of (VIII) with aziridine (IX) in DMF yielded the target compound (2).

Drug Information Express,Drug R&D,Chemical Database,Patent Search.
Copyright © 2006-2026 Drug Future. All rights reserved.Contact Us