【药物名称】
化学结构式(Chemical Structure):
参考文献No.25796
标题:Alicyclic phospholipase A2 inhibitors
作者:Bronson, J.J.; Carroll, F.I.; Greene, K.M.; Lewin, A.; Mansuri, M.M.; D'Andrea, S.V. (Bristol-Myers Squibb Co.)
来源:CA 2125802; EP 0629604; JP 1995017913; US 5436369
合成路线图解说明:

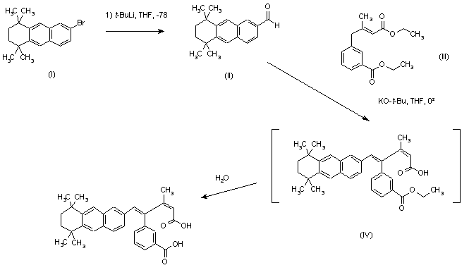
5,6,7,8-Tetrahydro-5,5,8,8-tetramethyl-2-bromoanthracene (I) was lithiated with tert-butyllithium in THF at -78 C, and subsequently condensed with dimethylformamide to provide, after aqueous workup, aldehyde (II). This was condensed with butenoate (III) in the presence of potassium tert-butoxide in cold THF to give intermediate (IV), which by final addition of water experienced hydrolysis to the target dicarboxylic acid.

参考文献No.419395
标题:Dicarboxylic acid inhibitors of phospholipase A2
作者:Springer, D.M.; et al.
来源:Bioorg Med Chem Lett 1997,7(7),793
合成路线图解说明:

5,6,7,8-Tetrahydro-5,5,8,8-tetramethyl-2-bromoanthracene (I) was lithiated with tert-butyllithium in THF at -78 C, and subsequently condensed with dimethylformamide to provide, after aqueous workup, aldehyde (II). This was condensed with butenoate (III) in the presence of potassium tert-butoxide in cold THF to give intermediate (IV), which by final addition of water experienced hydrolysis to the target dicarboxylic acid.

Drug Information Express,Drug R&D,Chemical Database,Patent Search.
Copyright © 2006-2026 Drug Future. All rights reserved.Contact Us