【药物名称】Tegaserod maleate, HTF-919, SDZ-HTF-919, Zelnorm, Zelmac
化学结构式(Chemical Structure):
参考文献No.29072
标题:Aminoguanidines
作者:Giger, R. K. A.; Mattes, H. (Novartis AG; Novartis Deutschland GmbH)
来源:EP 0505322; US 5510353
合成路线图解说明:

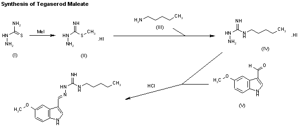
The alkylation of thiosemicarbazide (I) with methyl iodide in hot ethanol gives the corresponding S-methyl derivative (II), which is treated with pentylamine (III) in refluxing methanol to yield N1-amino-N3-pentylguanidine hydroiodide (IV). Finally, this compound is condensed with 5-methoxy-1H-indole-3-carbaldehyde (V) by means of HCl in methanol.

参考文献No.424669
标题:The serotonin 5-HT4 receptor. 2. Structure-activity studies of the indole carbazimidamide class of agonists
作者:Buchheit, K.-H.; Gamse, R.; Giger, R.; Hoyer, D.; Klein, F.; Kl鰌pner, E.; Pfannkuche, H.-J.; Mattes, H.
来源:J Med Chem 1995,38(13),2331
合成路线图解说明:

The alkylation of thiosemicarbazide (I) with methyl iodide in hot ethanol gives the corresponding S-methyl derivative (II), which is treated with pentylamine (III) in refluxing methanol to yield N1-amino-N3-pentylguanidine hydroiodide (IV). Finally, this compound is condensed with 5-methoxy-1H-indole-3-carbaldehyde (V) by means of HCl in methanol.

参考文献No.474037
标题:Tegaserod Maleate
作者:Silvestre, J.S.; Graul, A.; Casta馿r, J.
来源:Drugs Fut 1999,24(1),38
合成路线图解说明:

The alkylation of thiosemicarbazide (I) with methyl iodide in hot ethanol gives the corresponding S-methyl derivative (II), which is treated with pentylamine (III) in refluxing methanol to yield N1-amino-N3-pentylguanidine hydroiodide (IV). Finally, this compound is condensed with 5-methoxy-1H-indole-3-carbaldehyde (V) by means of HCl in methanol.

Drug Information Express,Drug R&D,Chemical Database,Patent Search.
Copyright © 2006-2026 Drug Future. All rights reserved.Contact Us