【药物名称】(-)-Desoxyepothilone B, Epothilone D, Desoxyepothilone B, R-1492, KOS-862, dEpoB, NSC-703147
化学结构式(Chemical Structure):
参考文献No.48448
标题:A process for the reduction of oxiranyl epothilones to olefinic epothilones
作者:Johnson, J.A.; Kim, S.-H. (Bristol-Myers Squibb Co.)
来源:WO 0071521
合成路线图解说明:

The desepoxidation of epothilone B (I) by means of WCl6 and n-BuLi in THF gives the target epothilone D.

合成路线图解说明:

The desepoxidation of epothilone A (I) by means of bis(cyclopentadienyl)titanium dichloride and magnesium in THF gives the target epothilone C.

参考文献No.55158
标题:Synthesis of epothilones and related analogs
作者:Avery, M.A. (University of Mississippi)
来源:WO 0230356
合成路线图解说明:

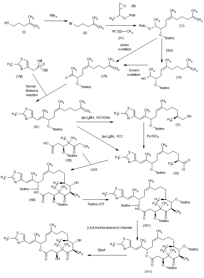
The reaction of 4-methyl-4-penten-1-ol (I) with PBr3 gives the corresponding alkyl bromide (II), which is condensed with epoxide (III) and propyne (IV) by means of Mg, CuI and pentynyl lithium to yield, after silylation with Tbdms-Cl, the protected diol (V). The selective deprotection of (V) with DDQ gives the secondary alcohol (VI), which is oxidized by the Swern reagent to afford the ketone (VII). Alternatively, ketone (VII) can also be obtained by direct oxidation of the protected diol (V) with the Jones reagent. The Horner Emmons condensation of ketone (VII) with phosphonate (VIII) provides the unsaturated alkyl thiazole (IX), which is treated with (Ipc)2BH and sodium formate in THF to give the secondary alcohol (X). The oxidation of (X) with the complex SO3/Pyr yields the carbaldehyde (XI). Alternatively, (XI) can also be obtained by direct oxidation of the terminal double bond of (IX) with (Ipc)2BH and pyridinium chlorochromate (PCC). The condensation of aldehyde (XI) with ketoacid (XII) by means of LDA in THF affords the heptadecadienoic acid (XIII), which is silylated with Tbdms-OTf to provide the protected linear precursor (XIV). The cyclization of (XIV) by means of 2,4,6-trichlorobenzoyl chloride and DMAP in pyridine gives the protected cyclic precursor (XV), which is desilylated by means of TBAF in THF to yield the unprotected precursor (XVI). Finally, this compound is epoxidated by means of dimethyldioxirane (DMDO) in acetone to afford the target epothilone B.

合成路线图解说明:

The condensation of 3-buten-2-one (I) with the phosphonate (II) by means of LDA gives the alkylated thiazole (III), which is enantioselectively epoxidated to the chiral oxirane (V) by means of oxone and the chiral ketone (IV). Alternatively, the oxidation of the chiral epoxybutanol (VI) with CrO3 or SO3 /pyridine yields the epoxybutanone (VII), which is condensed with phosphorane (II) by means of LDA to afford the already reported chiral oxirane (V). The condensation of (V) with alkyl bromide (VIII) and propyne (IX) by means of Mg, CuBr and pentynyl lithium provides the undecatrienyl thiazole (X), which is treated with Tms-OTf in order to protect its OH group, yielding the silyl ether (XI). The oxidation of the terminal double bond of (XI) by means of (Ipc)2BH and CrO3 affords the carbaldehyde (XII), which is condensed with ketoacid (XIII) by means of LDA in THF to provide the undecadienoic acid (XIV). The cyclization of (XIV) by means of benzenesulfonyl chloride and pyridine gives the macrocyclic intermediate (XV), which is finally epoxidated by means of DMDO in acetone to furnish the target epothilone B.

合成路线图解说明:

The condensation of alkyl bromide (I) with epoxide (II) and propyne (III) by means of Mg, CuI and pentynyl lithium gives the secondary alcohol (IV), which is silylated with Sem-Cl to yield the protected diol (V). The selective deprotection of (V) with DDQ gives the secondary alcohol (VI), which is oxidized by means of SO3 /pyridine to afford the ketone (VII). The condensation of ketone (VII) with phosphonate (VIII) by means of BuLi in THF provides the unsaturated alkyl thiazole (IX), which is treated with (Ipc)2BH and sodium formate in THF to give the secondary alcohol (X). The oxidation of (X) with oxalyl chloride yields the carbaldehyde (XI), which is condensed with ketoacid (XII) by means of LDA in THF to afford the heptadecadienoic acid (XIII). The protection of the free OH group of (XIII) with Troc-Cl and DMAP in dichloromethane provides the protected linear precursor (XIV), which is selectively monodeprotected with TFA in dichloromethane to furnish the linear hydroxyacid (XV). The macrocyclization of (XV) by means of 2,4,6-trichlorobenzoyl chloride and DMAP in pyridine gives the protected cyclic precursor (XVI), which is deprotected first with HF and pyridine (desilylation), and then with Zn and HOAc (elimination of the Troc protecting group), to yield the unprotected precursor (XVII). Finally, this compound is epoxidated by means of dimethyldioxirane (DMDO) in acetone to afford the target epothilone B.

合成路线图解说明:

The condensation of 3-buten-2-one (I) with the phosphonate (II) by means of LDA gives the alkylated thiazole (III), which is enantioselectively epoxidated to the chiral oxirane (V) by means of oxone and the chiral ketone (IV). Alternatively, the oxidation of the chiral epoxybutanol (VI) with CrO3 or SO3 /pyridine yields the epoxybutanone (VII), which is condensed with phosphorane (II) by means of LDA to afford the already reported chiral oxirane (V). The condensation of (V) with alkyl bromide (VIII) and propyne (IX) by means of Mg, CuBr and pentynyl lithium provides the undecatrienyl thiazole (X), which is treated with Tms-OTf in order to protect its OH group, yielding the silyl ether (XI). The oxidation of the terminal double bond of (XI) by means of (Ipc)2BH and CrO3 affords the carbaldehyde (XII), which is condensed with ketoacid (XIII) by means of LDA in THF to provide the undecadienoic acid (XIV). Finally, the cyclization of (XIV) by means of benzenesulfonyl chloride and pyridine gives the target epothilone D.

合成路线图解说明:

The reaction of 4-methyl-4-penten-1-ol (I) with PBr3 gives the corresponding alkyl bromide (II), which is condensed with epoxide (III) and propyne (IV) by means of Mg, CuI and pentynyl lithium to yield, after silylation with Tbdms-Cl, the protected diol (V). The selective deprotection of (V) with DDQ gives the secondary alcohol (VI), which is oxidized by the Swern reagent to afford the ketone (VII). Alternatively, ketone (VII) can also be obtained by direct oxidation of the protected diol (V) with the Jones reagent. The Horner Emmons condensation of ketone (VII) with phosphonate (VIII) provides the unsaturated alkyl thiazole (IX), which is treated with (Ipc)2BH and sodium formate in THF to give the secondary alcohol (X). The oxidation of (X) with the complex SO3/Pyr yields the carbaldehyde (XI). Alternatively, (XI) can also be obtained by direct oxidation of the terminal double bond of (IX) with (Ipc)2BH and pyridinium chlorochromate (PCC). The condensation of aldehyde (XI) with ketoacid (XII) by means of LDA in THF affords the heptadecadienoic acid (XIII), which is silylated with Tbdms-OTf to provide the protected linear precursor (XIV). The cyclization of (XIV) by means of 2,4,6-trichlorobenzoyl chloride and DMAP in pyridine gives the protected cyclic precursor (XV), which is finally desilylated by means of TBAF in THF to yield the target epothilone D.

合成路线图解说明:

The condensation of alkyl bromide (I) with epoxide (II) and propyne (III) by means of Mg, CuI and pentynyl lithium gives the secondary alcohol (IV), which is silylated with Sem-Cl to yield the protected diol (V). The selective deprotection of (V) with DDQ gives the secondary alcohol (VI), which is oxidized by means of SO3 /pyridine to afford the ketone (VII). The condensation of ketone (VII) with phosphonate (VIII) by means of BuLi in THF provides the unsaturated alkyl thiazole (IX), which is treated with (Ipc)2BH and sodium formate in THF to give the secondary alcohol (X). The oxidation of (X) with oxalyl chloride yields the carbaldehyde (XI), which is condensed with ketoacid (XII) by means of LDA in THF to afford the heptadecadienoic acid (XIII). The protection of the free OH group of (XIII) with Troc-Cl and DMAP in dichloromethane provides the protected linear precursor (XIV), which is selectively monodeprotected with TFA in dichloromethane to furnish the linear hydroxyacid (XV). The macrocyclization of (XV) by means of 2,4,6-trichlorobenzoyl chloride and DMAP in pyridine gives the protected cyclic precursor (XVI), which is deprotected first with HF and pyridine (desilylation), and then with Zn and HOAc (elimination of the Troc protecting group), to finally yield the target epothilone D.

参考文献No.545519
标题:New chemical synthesis of the promising cancer chemotherapeutic agent 12,13-desoxyepothilone B: Discovery of a surprising long-range effect on the diastereoselectivity of an aldol condensation
作者:Harris, C.R.; et al.
来源:J Am Chem Soc 1999,121(30),7050
合成路线图解说明:

Treatment of diketoester (I) with trimethylsilyl diazomethane and diisopropyl ethylamine produced enol ether (II). This was condensed with (S)-2-methyl-4-pentenal (III) in the presence of LDA at -120 C to afford the aldol condensation product (IV) as the major isomer. Protection of the 7-hydroxyl group of (IV) with trichloroethoxycarbonyl chloride gave carbonate (V). Enol ether of (V) was then hydrolyzed with p-TsOH in acetone to provide diketoester (VI). Hydroboration of the terminal olefin of (VI) with 9-borabicyclo[3.3.1]nonane gave organoborane (VII). Then, Suzuki coupling of (VII) with vinyl iodide (VIII), followed by acid hydrolysis of the silyl protecting group, provided the thiazolyl heptadecadienoate (IX). Asymmetric hydrogenation of 3-keto group of (IX) in the presence of the modified Noyori's catalyst [RuCl2(R)-BINAP)]2[Et3N] furnished the desired 3-(S) alcohol (X).

合成路线图解说明:

Further treatment of (X) with Et3SiOTf and 2,6-lutidine protected both 3- and 15-hydroxyl groups as the triethylsilyl ethers and cleaved the tert-butyl ester to yield carboxylic acid (XI). The bis(triethylsilyl)-protected diol (XI) was selectively hydrolyzed to the required 15-hydroxy acid (XII) upon treatment with cold 0.12 M HCl in MeOH. Macrolactonization of (XII) was then performed by means of 2,4,6-trichlorobenzoyl chloride, Et3N and DMAP yielding (XIII). Removal of the trichloroethoxycarbonyl protecting group from the resulting lactone (XIII) employing SmI2 and a catalytic amount of NiI2 in THF at -78 C yielded (XIV). Finally, desilylation of (XIV) with HF-pyridine afforded the target compound.

合成路线图解说明:

The treatment of diketoester (XII) with trimethylsilyl diazomethane and DIEA gives enol ether (XIII), which is condensed with 2(S)-methyl-4-pentenal (XIV) by means of LDA to yield the aldol condensation product (XV) as the major isomer. The protection of the OH group of (XV) with Troc-Cl and pyridine affords the trichloroethyl carbonate (XVI), whose enol ether group is hydrolyzed with TsOH in acetone to provide the diketoester (XVII). The condensation of (XVII) with iodovinyl intermediate (XI) by means of BBN, (dppf)2PdCl2, AsPh3 and Cs2CO3 in THF/DMF/water gives adduct (XVIII), which is desilylated by means of HCl in methanol to yield the secondary alcohol (XIX). The asymmetric hydrogenation of (XIX) with H2 over a chiral Ru catalyst in acidic methanol affords the secondary diol (XX), which is silylated with Tes-OTf and lutidine to provide the bis-silyl ether (XXI). The selective desilylation of (XXI) with simultaneous hydrolysis of its tert-butyl ester by means of HCl in methanol gives the hydroxyacid (XXII) suitable for cyclization.

参考文献No.603177
标题:Enantioselective total synthesis of epothilones A and B using multifunctional asymmetric catalysis
作者:Sawada, D.; et al.
来源:J Am Chem Soc 2000,122(43),10521
合成路线图解说明:

Synthesis of undecenoic ester intermediate (XXI): The reaction of 2,2-dimethylpropane-1,3-diol (I) with benzaldehyde, TsOH and DIBAL gives the monobenzyl ether (II), which is oxidized with SO3/pyridine in dichloromethane, yielding the propionaldehyde (III). The condensation of (III) with butanone (IV) by means of LDA and TFAA affords the heptenone (V), which is epoxidated with H2O2 and NaOH in aq. methanol to provide the racemic epoxide (rac)-(VI). The reaction of ketone (VI) with O-methylhydroxylamine and NaOAc in methanol gives the corresponding oxime (rac)-(VII), which is treated with CuCN and Me-Li in ethyl ether to yield the beta-hydroxy oxime (rac)-(VIII). The treatment of (VIII) with H2 and Raney-Ni in acetone/THF affords the corresponding beta-hydroxy ketone (rac)-(IX), which is allylated with allyl bromide (X) and LHMDS in the presence of 1,3-dimethylperhydropyrimidin-2-one to give the beta-hydroxynonen-5-one (rac)-(XI). The reduction of (XI) with Me4NBH(OAc)3 and HOAc in acetonitrile yields the diol (rac)-(XII), which is protected with 2-methoxypropene (XIII) and TsOH, affording the 1,3-dioxane (rac)-(XIV). The reaction of (XIV) with Li in liquid ammonia, tert-butanol and THF provides the debenzylated primary alcohol (rac)-(XV), which is oxidized with tetrapropylammonium perrhuthenate in dichloromethane, giving the corresponding aldehyde (rac)-(XVI).

合成路线图解说明:

The asymmetric catalytic aldol reaction of aldehyde (XVI) with acetophenone by means of a chiral lanthane catalyst yields a diastereomeric mixture of hydroxyketones from which the desired isomer (XVII) is isolated. The Baeyer-Villiger oxidation of (XVII) with trimethylsilyl peroxide and SnCl4 affords the phenyl ester (XVIII), which is deprotected with BCl3 in dichloromethane, giving the trihydroxyester (XIX). The selective protection of (XIX) with Tbdms-OTf and DIEA in dichloromethane yields the bis silylated compound (XX), which is finally oxidized with DMP in dichloromethane to furnish the target undecenoic ester intermediate (XXI).

合成路线图解说明:

Synthesis of the thiazole intermediate (XXXIV): The reaction of 2-methyl-3-(2-methylthiazol-4-yl)-2(E)-propenal (XXII) with trimethylsilyl cyanide and Et2AlCl catalyzed by a chiral bidentate phosphine oxide catalyst gives the chiral alpha-hydroxybutenenitrile (XXIII), which is hydrolyzed to the corresponding carboxylic ester (XXIV) by means of HCl in hot ethanol/water. The reaction of (XXIV) with Tbdms-Cl and imidazole yields the silylated hydroxyester (XXV), which is reduced with DIBAL in toluene, affording the aldehyde (XXVI). The reaction of (XXVI) with lithium trimethylsilylacetylide (A) in THF provides the adduct (XXVII), which is esterified with methyl chloroformate (XXVIII), furnishing the carbonate (XXIX). The reduction of (XXIX) by means of Pd(OAc)2, Bu3P and ammonium formate gives the protected acetylenic compound (XXX). The selective reduction of the triple bond of (XXX) by means of Ti(OiPr)4 and iPr-MgBr in ethyl ether yields the cis-silylated vinyl compound (XXXI), which is iodinated with I2 in dichloromethane to afford the cis-iodovinyl compound (XXXII). The desilylation of (XXXII) with HF and pyridine in THF gives the secondary alcohol (XXXIII), which is finally acetylated with Ac2O, TEA and DMAP in CH2Cl2 to yield the target thiazole intermediate (XXXIV).

合成路线图解说明:

Assembly of the target compound: The condensation of intermediates (XXI) and (XXXIV) by means of 9-BBN, a PdCl2 catalyst and K3PO4 in hot DMF/water gives the adduct (XXXV), which is hydrolyzed with NaOH in methanol/water to yield the hydroxyacid (XXXVI). The macrolactonization of (XXXVI) by the Yamaguchi procedure using 2,4,6-trichlorobenzoyl chloride, TEA and DMAP in THF affords the macrolactone (XXXVII), which is desilylated with HF and pyridine in THF, furnishing the dihydroxylactone (XXXVIII). Finally, this compound is epoxidated by means of dimethyldioxirane (XXXIX) in dichloromethane.

合成路线图解说明:

The reaction of 2,2-dimethylpropane-1,3-diol (I) with benzaldehyde, Ts-OH and DIBAL gives the monobenzyl ether (II), which is oxidized with SO3/pyridine in dichloromethane, yielding the propionaldehyde (III). The condensation of (III) with butanone (IV) by means of LDA and TFAA affords the heptenone (V), which is epoxidated with H2O2 and NaOH in aq. methanol to provide the racemic epoxide (rac)-(VI). The reaction of ketone (VI) with O-methylhydroxylamine and NaOAc in methanol gives the corresponding oxime (rac)-(VII), which is treated with CuCN and MeLi in ethyl ether to yield the beta-hydroxy oxime (rac)-(VIII). The treatment of (VIII) with H2 and Raney-Ni in acetone/THF affords the corresponding beta-hydroxy ketone (rac)-(IX), which is allylated with allyl bromide (X) and LHMDS in the presence of 1,3-dimethylperhydropyrimidin-2-one to give the beta-hydroxynonen-5-one (rac)-(XI). The reduction of (XI) with Me4NBH(OAc)3 and HOAc in acetonitrile yields the diol (rac)-(XII), which is protected with 2-methoxypropene (XIII) and Ts-OH, affording the 1,3-dioxane (rac)-(XIV). The reaction of (XIV) with Li in liquid ammonia, tert-butanol and THF provides the debenzylated primary alcohol (rac)-(XV), which is oxidized with tetrapropylammonium perrhuthenate in dichloromethane, giving the corresponding aldehyde (rac)-(XVI).

合成路线图解说明:

The asymmetric catalytic aldol reaction of aldehyde (XVI) with acetophenone by means of a chiral lanthane catalyst yields a diastereomeric mixture of hydroxyketones from which the desired isomer (XVII) is isolated. The Baeyer-Villiger oxidation of (XVII) with trimethylsilyl peroxide and SnCl4 affords the phenyl ester (XVIII), which is deprotected with BCl3 in dichloromethane, giving the trihydroxyester (XIX). The selective protection of (XIX) with Tbdms-OTf and DIEA in dichloromethane yields the bis-silylated compound (XX), which is finally oxidized with DMP in dichloromethane to furnish the target undecenoic ester intermediate (XXI)

合成路线图解说明:

Synthesis of the thiazole intermediate (XXXIII): The reaction of 2-methyl-3-(2-methylthiazol-4-yl)-2(E)-propenal (XXII) with trimethylsilyl cyanide and Et2AlCl catalyzed by a chiral bidentate phosphine oxide catalyst gives the chiral alpha-hydroxybutenenitrile (XXIII), which is hydrolyzed to the corresponding carboxylic ester (XXIV) by means of HCl in hot ethanol/water. The reaction of (XXIV) with Tbdms-Cl and imidazole yields the silylated hydroxyester (XXV), which is reduced with DIBAL in toluene, affording the aldehyde (XXVI). The reaction of (XXVI) with phosphonium salt (XXVII), LHMDS, Hg(OAc)2 and tetrabutylammonium iodine (TBAI) in THF provides the olefin (XXX), which is iodinated with I2 and NaHMDS in THF to give the iodinated olefin (XXXI). The desilylation of (XXXI) with HF and pyridine in THF yields the secondary alcohol (XXXII), which is acylated with Ac2O, TEA and DMAP in dichloromethane to afford the target thiazole intermediate (XXXIII).

合成路线图解说明:

Assembly of the target compound: The condensation of intermediates (XXI) and (XXXIII) by means of 9-BBN, a PdCl2 catalyst and K3PO4 in hot DMF/water gives the adduct (XXXIV), which is hydrolyzed with NaOH in methanol/water to yield the hydroxyacid (XXXV). The macrolactonization of (XXXV) by the Yamaguchi procedure using 2,4,6-trichlorobenzoyl chloride, TEA and DMAP in THF affords the macrolactone (XXXVI), which is desilylated with HF and pyridine in THF, furnishing the dihydroxylactone (XXXVII). Finally, this compound is epoxidated by means of dimethyldioxirane (XXXVIII) in dichloromethane to give the target epothilone B.

合成路线图解说明:

The reaction of 2,2-dimethylpropane-1,3-diol (I) with benzaldehyde, Ts-OH and DIBAL gives the monobenzyl ether (II), which is oxidized with SO3/pyridine in dichloromethane, yielding the propionaldehyde (III). The condensation of (III) with butanone (IV) by means of LDA and TFAA affords the heptenone (V), which is epoxidated with H2O2 and NaOH in aq. methanol to provide the racemic epoxide (rac)-(VI). The reaction of ketone (VI) with O-methylhydroxylamine and NaOAc in methanol gives the corresponding oxime (rac)-(VII), which is treated with CuCN and MeLi in ethyl ether to yield the beta-hydroxy oxime (rac)-(VIII). The treatment of (VIII) with H2 and Raney-Ni in acetone/THF affords the corresponding beta-hydroxy ketone (rac)-(IX), which is allylated with allyl bromide (X) and LHMDS in the presence of 1,3-dimethylperhydropyrimidin-2-one to give the beta-hydroxynonen-5-one (rac)-(XI). The reduction of (XI) with Me4NBH(OAc)3 and HOAc in acetonitrile yields the diol (rac)-(XII), which is protected with 2-methoxypropene (XIII) and Ts-OH, affording the 1,3-dioxane (rac)-(XIV). The reaction of (XIV) with Li in liquid ammonia, tert-butanol and THF provides the debenzylated primary alcohol (rac)-(XV), which is oxidized with tetrapropylammonium perrhuthenate in dichloromethane, giving the corresponding aldehyde (rac)-(XVI).

合成路线图解说明:

The asymmetric catalytic aldol reaction of aldehyde (XVI) with acetophenone by means of a chiral lanthane catalyst yields a diastereomeric mixture of hydroxyketones from which the desired isomer (XVII) is isolated. The Baeyer-Villiger oxidation of (XVII) with trimethylsilyl peroxide and SnCl4 affords the phenyl ester (XVIII), which is deprotected with BCl3 in dichloromethane, giving the trihydroxyester (XIX). The selective protection of (XIX) with Tbdms-OTf and DIEA in dichloromethane yields the bis-silylated compound (XX), which is finally oxidized with DMP in dichloromethane to furnish the target undecenoic ester intermediate (XXI).

合成路线图解说明:

Synthesis of the thiazole intermediate (XXXIII): The reaction of 2-methyl-3-(2-methylthiazol-4-yl)-2(E)-propenal (XXII) with trimethylsilyl cyanide and Et2AlCl catalyzed by a chiral bidentate phosphine oxide catalyst gives the chiral alpha-hydroxybutenenitrile (XXIII), which is hydrolyzed to the corresponding carboxylic ester (XXIV) by means of HCl in hot ethanol/water. The reaction of (XXIV) with Tbdms-Cl and imidazole yields the silylated hydroxyester (XXV), which is reduced with DIBAL in toluene, affording the aldehyde (XXVI). The reaction of (XXVI) with phosphonium salt (XXVII), LHMDS, Hg(OAc)2 and tetrabutylammonium iodine (TBAI) in THF provides the olefin (XXX), which is iodinated with I2 and NaHMDS in THF to give the iodinated olefin (XXXI). The desilylation of (XXXI) with HF and pyridine in THF yields the secondary alcohol (XXXII), which is acylated with Ac2O, TEA and DMAP in dichloromethane to afford the target thiazole intermediate (XXXIII).

合成路线图解说明:

Assembly of the target compound : The condensation of intermediates (XXI) and (XXXIII) by means of 9-BBN, a PdCl2 catalyst and K3PO4 in hot DMF/water gives the adduct (XXXIV), which is hydrolyzed with NaOH in methanol/water to yield the hydroxyacid (XXXV). The macrolactonization of (XXXV) by the Yamaguchi procedure using 2,4,6-trichlorobenzoyl chloride, TEA and DMAP in THF affords the macrolactone (XXXVI), which is finally desilylated with HF and pyridine in THF, furnishing the target epothilone D.

合成路线图解说明:

Synthesis of undecenoic ester intermediate (XXI): The reaction of 2,2-dimethylpropane-1,3-diol (I) with benzaldehyde, Ts-OH and DIBAL gives the monobenzyl ether (II), which is oxidized with SO3/pyridine in dichloromethane, yielding the propionaldehyde (III). The condensation of (III) with butanone (IV) by means of LDA and TFAA affords the heptenone (V), which is epoxidated with H2O2 and NaOH in aq. methanol to provide the racemic epoxide (rac)-(VI). The reaction of ketone (VI) with O-methylhydroxylamine and NaOAc in methanol gives the corresponding oxime (rac)-(VII), which is treated with CuCN and Me-Li in ethyl ether to yield the beta-hydroxy oxime (rac)-(VIII). The treatment of (VIII) with H2 and RaNi in acetone/THF affords the corresponding beta-hydroxy ketone (rac)-(IX), which is allylated with allyl bromide (X) and LHMDS in the presence of 1,3-dimethylperhydropyrimidin-2-one to give the beta-hydroxynonen-5-one (rac)-(XI). The reduction of (XI) with Me4NBH(OAc)3 and HOAc in acetonitrile yields the diol (rac)-(XII), which is protected with 2-methoxypropene (XIII) and Ts-OH, affording the 1,3-dioxane (rac)-(XIV). The reaction of (XIV) with Li in liquid ammonia, tert-butanol and THF provides the debenzylated primary alcohol (rac)-(XV), which is oxidized with tetrapropylammonium perrhuthenate in dichloromethane, giving the corresponding aldehyde (rac)-(XVI).

合成路线图解说明:

The asymmetric catalytic aldol reaction of aldehyde (XVI) with acetophenone by means of a chiral lanthane catalyst yields a diastereomeric mixture of hydroxyketones from which the desired isomer (XVII) is isolated. The Baeyer-Villiger oxidation of (XVII) with trimethylsilyl peroxide and SnCl4 affords the phenyl ester (XVIII), which is deprotected with BCl3 in dichloromethane, giving the trihydroxyester (XIX). The selective protection of (XIX) with Tbdms-OTf and DIEA in dichloromethane yields the bis-silylated compound (XX), which is finally oxidized with DMP in dichloromethane to furnish the target undecenoic ester intermediate (XXI).

合成路线图解说明:

Synthesis of the thiazole intermediate (XXXIV): The reaction of 2-methyl-3-(2-methylthiazol-4-yl)-2(E)-propenal (XXII) with trimethylsilyl cyanide and Et2AlCl catalyzed by a chiral bidentate phosphine oxide catalyst gives the chiral alpha-hydroxybutenenitrile (XXIII), which is hydrolyzed to the corresponding carboxylic ester (XXIV) by means of HCl in hot ethanol/water. The reaction of (XXIV) with Tbdms-Cl and imidazole yields the silylated hydroxyester (XXV), which is reduced with DIBAL in toluene, affording the aldehyde (XXVI). The reaction of (XXVI) with lithium trimethylsilylacetylide (A) in THF provides the adduct (XXVII), which is esterified with methyl chloroformate (XXVIII), furnishing the carbonate (XXIX). The reduction of (XXIX) by means of Pd(OAc)2, Bu3P and ammonium formate gives the protected acetylenic compound (XXX). The selective reduction of the triple bond of (XXX) by means of Ti(OiPr)4 and iPr-MgBr in ethyl ether yields the cis-silylated vinyl compound (XXXI), which is iodinated with I2 in dichloromethane to afford the cis-iodovinyl compound (XXXII). The desilylation of (XXXII) with FH and pyridine in THF gives the secondary alcohol (XXXIII), which is finally acetylated with Ac2O, TEA and DMAP in dichloromethane to yield the target thiazole intermediate (XXXIV).

合成路线图解说明:

Assembly of the target compound: The condensation of intermediates (XXI) and (XXXIV) by means of 9-BBN, a PdCl2 catalyst and K3PO4 in hot DMF/water gives the adduct (XXXV), which is hydrolyzed with NaOH in methanol/water to yield the hydroxyacid (XXXVI). The macrolactonization of (XXXVI) by the Yamaguchi procedure using 2,4,6-trichlorobenzoyl chloride, TEA and DMAP in THF affords the macrolactone (XXXVII), which is finally desilylated with HF and pyridine in THF to provide the target epothilone C.

参考文献No.603201
标题:Total synthesis of epothilones B and D
作者:Mulzer, J.; Mantoulidis, A.; Ohler, E.
来源:J Org Chem 2000,65(22),7456
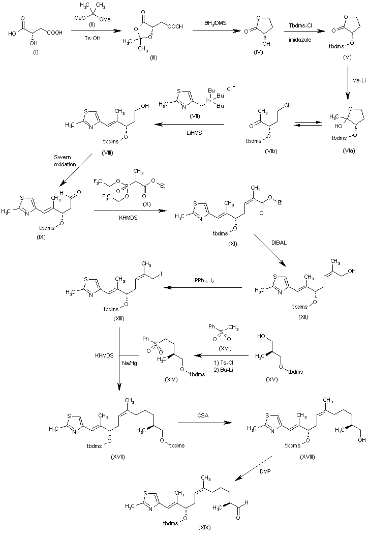
合成路线图解说明:

The reaction of (S)-malic acid (I) with dimethoxypropane (II) and Ts-OH gives the carboxymethyldioxolanone (III), which is reduced with BH3/DMS and Ts-OH in toluene, yielding the chiral 2-hydroxybutyrolactone (IV). The silylation of (IV) with Tbdms-Cl and imidazole affords the silyl ether (V), which is methylated to the lactol (Via) by means of methyl lithium in THF. The condensation of the partially silylated dihydroxypentanone (VIb) (tautomer of (VIa)) with thiazolylphosphonium salt (VII) by means of LiHMDS in THF provides the unsaturated primary alcohol (VIII), which by Swern oxidation is converted into the corresponding aldehyde (IX). The condensation of (IX) with phosphonate (X) by means of KHMDS in THF furnishes the heptadienoic ester (XI), which is reduced with DIBAL in THF to give the primary alcohol (XII). The reaction of (XII) with I2 and PPh3 in acetonitrile/Et2O gives the allylic iodide (XIII), which is condensed with sulfone (XIV) by means of KHMDS and Na/Hg in MeOH/THF, yielding the protected diol (XVII). The sulfone (XIV) has been obtained by condensation of the chiral propanol (XV) with methylphenylsulfone (XVI) by means of Ts-Cl and BuLi. The selective deprotection of the primary silyl ether of (XVIII) with CSA in methanol/dichloromethane affords the primary alcohol (XVIII), which is finally oxidized with DMP in dichloromethane to afford the target intermediate carbaldehyde (XIX).

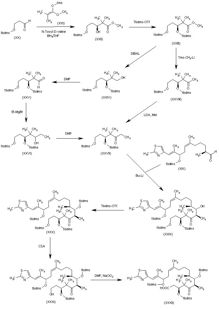
合成路线图解说明:

The enantioselective condensation of 3-(tert-butyldimethylsilyloxy)propanal (XX) with ketene acetal (XXI) catalyzed by N-tosyl-D-valine and BH3/THF gives the beta-hydroxyester (XXII), which is silylated with Tbdms-OTf, yielding the bis-silyl ether (XXIII). The reduction of (XXIII) with DIBAL in toluene affords the carbinol (XXIV), which is oxidized to the corresponding aldehyde (XXV) with DMP in dichloromethane. The Grignard condensation of (XXV) with Et-MgBr in ethyl ether gives the secondary alcohol (XXVI), which is oxidized with DMP as before to yield the ketone (XXVII). Alternatively, the silylated ester (XXIII) can be treated with Tms-CH2-Li in pentane/methanol to give the methyl ketone (XXVIII), which is methylated again with MeI and LDA in THF to afford the ketone (XXVII). The condensation of ketone (XXVII) with the intermediate carbaldehyde (XIX) by means of BuLi in THF gives the adduct (XXIX), which is silylated with Tbdms-OTf, yielding the fully silylated compound (XXX). The selective monodesilylation of (XXX) with CSA in MeOH/dichloromethane affords the primary alcohol (XXXI), which is oxidized with DMP and NaClO2 to provide the carboxylic acid (XXXII).

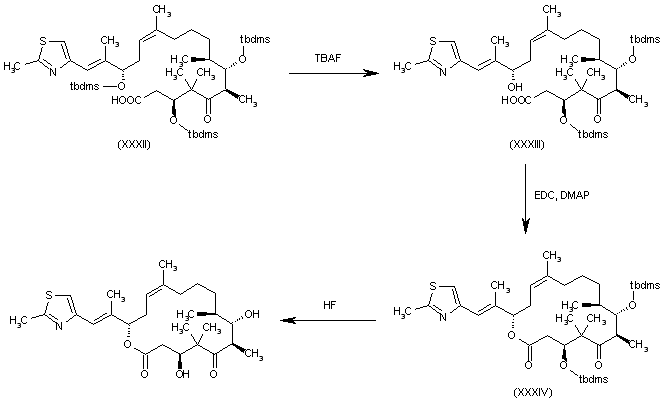
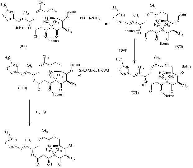
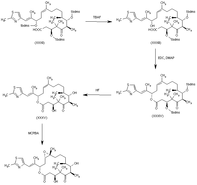
合成路线图解说明:

The selective monodesilylation of (XXXII) with TBAF in THF gives the hydroxyacid (XXXIII), which is submitted to a macrolactonization by means of EDC and DMAP in chloroform to yield the macrolactone (XXXIV). The desilylation of (XXXIV) with HF in pyridine/THF affords the dihydroxy macrolactone (XXXV), which is finally epoxidized by means of MCPBA in chloroform to furnish the target epothilone B.

合成路线图解说明:

The reaction of (S)-malic acid (I) with dimethoxypropane (II) and Ts-OH gives the carboxymethyldioxolanone (III), which is reduced with BH3/DMS and Ts-OH in toluene, yielding the chiral 2-hydroxybutyrolactone (IV). The silylation of (IV) with Tbdms-Cl and imidazole affords the silyl ether (V), which is methylated to the lactol (VIa) by means of methyl lithium in THF. The condensation of the partially silylated dihydroxypentanone (VIb) (tautomer of (VIa)) with thiazolylphosphonium salt (VII) by means of LiHMDS in THF provides the unsaturated primary alcohol (VIII), which by Swern oxidation is converted into the corresponding aldehyde (IX). The condensation of (IX) with phosphonate (X) by means of KHMDS in THF furnishes the heptadienoic ester (XI), which is reduced with DIBAL in THF to give the primary alcohol (XII). The reaction of (XII) with I2 and PPh3 in acetonitrile/Et2O gives the allylic iodide (XIII), which is condensed with sulfone (XIV) by means of KHMDS and Na/Hg in MeOH/THF, yielding the protected diol (XVII). The sulfone (XIV) has been obtained by condensation of the chiral propanol (XV) with methylphenylsulfone (XVI) by means of Ts-Cl and BuLi . The selective deprotection of the primary silyl ether of (XVIII) with CSA in methanol/dichloromethane affords the primary alcohol (XVIII), which is finally oxidized with DMP in dichloromethane to afford the target intermediate carbaldehyde (XIX).

合成路线图解说明:

Assembly of the target compound: The enantioselective condensation of 3-(tert-butyldimethylsilyloxy)propanal (XX) with ketene acetal (XXI) catalyzed by N-tosyl-D-valine and BH3/THF gives the beta-hydroxyester (XXII), which is silylated with Tbdms-OTf, yielding the bis-silyl ether (XXIII). The reduction of (XXIII) with DIBAL in toluene affords the carbinol (XXIV), which is oxidized to the corresponding aldehyde (XXV) with DMP in dichloromethane. The Grignard condensation of (XXV) with Et-MgBr in ethyl ether gives the secondary alcohol (XXVI), which is oxidized with DMP as before to yield the ketone (XXVII). Alternatively, the silylated ester (XXIII) can be treated with Tms-CH2-Li in pentane/methanol to give the methyl ketone (XXVIII), which is methylated again with MeI and LDA in THF to afford the ketone (XXVII). The condensation of ketone (XXVII) with the intermediate carbaldehyde (XIX) by means of BuLi in THF gives the adduct (XXIX), which is silylated with Tbdms-OTf, yielding the fully silylated compound (XXX). The selective monodesilylation of (XXX) with CSA in MeOH/dichloromethane affords the primary alcohol (XXXI), which is oxidized with DMP and NaClO2 to provide the carboxylic acid (XXXII).

合成路线图解说明:

The selective monodesilylation of (XXXII) with TBAF in THF gives the hydroxyacid (XXXIII), which is submitted to a macrolactonization by means of EDC and DMAP in chloroform to yield the macrolactone (XXXIV). Finally, the desilylation of (XXXIV) with HF in pyridine/THF affords the target epothilone D

参考文献No.613604
标题:Total syntheses of epothilones A and B via a macrolactonization-based strategy
作者:Nicolaou, K.C.; et al.
来源:J Am Chem Soc 1997,119(34),7974
合成路线图解说明:

The synthesis of intermediate tridecenoic acid (VIII) has been performed as follows: The reaction of 2,2-dimethyl-3-oxopentanal (I) with (+)-diisopinocampheyl(allyl)borane (II) in ethyl ether gives the chiral beta-hydroxy ketone (III), which is protected with Tbdms-OTf, yielding the silyl ether (IV). The ozonolysis of the double bond of (IV) affords the aldehyde (V), which is oxidized with NaClO2 to the carboxylic acid (VI). Finally, this compound is condensed with 2(S)-methyl-6-heptenal (VII) by means of LDA in THF to provide the intermediate tridecenoic acid (VIII).

合成路线图解说明:

The oxoacid intermediate (VI) has been obtained as follows: The condensation of 2,2-dimethyl-3-oxopentanal (I) with (+)-diisopinocampheyl(allyl)borane (II) gives the chiral 5(S)-hydroxy-4,4-dimethyl-7-octen-3-one (III), which is protected with Tbdms-OTf, yielding the silyl ether (IV). The ozonolysis of (IV) in dichloromethane affords the aldehyde (V), which is finally oxidized with NaClO2 in tert-butanol/water to provide the target oxoacid intermediate (VI).

合成路线图解说明:

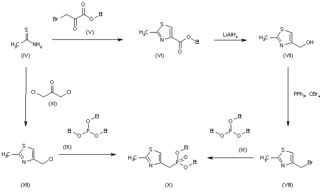
The intermediate phosphonium salt (XVI) has been obtained as follows: The reduction of 2-methylthiazole-4-carboxylic acid ethyl ester (VII) with DIBAL in dichloromethane gives the corresponding aldehyde (VIII), which is condensed with the phosphorane (IX) in refluxing benzene to yield 2-methyl-3-(2-methylthiazol-4-yl)-2(E)-propenal (X). The allylation of (X) with (+)-diisopinocampheyl(allyl)borane (II) affords the chiral secondary alcohol (XI), which is protected with Tbdms-Cl and imidazole in DMF, providing the silyl ether (XII). The oxidation of the terminal double bond of (XII) with OsO4 and Pb(OAc)4 in THF/tert-butanol/water gives rise to the aldehyde (XIII), which is reduced with NaBH4 in methanol to give the corresponding primary alcohol (XIV). The reaction of (XIV) with I2, PPh3 and imidazole in ethyl ether/acetonitrile yields the expected iodo derivative (XV), which is finally condensed with PPh3 at 100 C to afford the desired intermediate phosphonium salt (XVI).

合成路线图解说明:

Assembly of the final product: The condensation of SAMP hydrazone (XVII) with 4-(benzyloxy)butyl iodide (XVIII) by means of LDA in THF gives the chiral 2-methylhexanal hydrazone (XIX), which is ozonolyzed in dichloromethane, yielding the free aldehyde (XX). The reduction of (XX) with NaBH4 in methanol affords the corresponding alcohol (XXI), which is protected with Tbdms-Cl and TEA in dichloromethane, providing the silyl ether (XXII). The hydrogenolysis of (XXII) with H2 over Pd/C in THF furnishes the alcohol (XXIII), which is oxidized to the aldehyde (XXIV) with oxalyl chloride, DMSO and TEA in dichloromethane. The condensation of aldehyde (XXIV) with the intermediate phosphonium salt (XVI) by means of NaHMDS in THF gives the silylated diol (XXV), which is selectively monodesilylated with CSA in dichloromethane/methanol to yield the primary alcohol (XXVI). The oxidation of (XXVI) with SO3/pyridine, DMSO and TEA in dichloromethane affords the corresponding aldehyde (XXVII), which is condensed with the oxoacid intermediate (VI) by means of LDA in THF to provide the linear heptadecadienoic acid (XXVIII) as a diastereomeric mixture.

合成路线图解说明:

Intermediate (XXVIII) separated at the carboxylic acid (XXX) step. The full silylation of (XXVIII) with Tbdms-OTf and lutidine in dichloromethane gives the tetrasilyloxy compound (XXIX), which is stepwise desilylated first with K2CO3 in methanol to yield the carboxylic acid (XXX), and then with TBAF in THF to afford the hydroxyacid (XXXI). The macrolactonization of (XXXI) was carried out with the Yamaguchi method using 2,4,6-trichlorobenzoyl chloride, TEA and DMAP in THF to yield the silylated macrolactone (XXXII), which is deprotected with TFA in dichloromethane to afford the dihydroxymacrolactone (XXXIII). Finally, the double bond of (XXXIII) is epoxidated with methyl(trifluoromethyl)dioxirane (A) in acetonitrile.

合成路线图解说明:

The synthesis of the intermediate chiral aldehyde (XVIII) has been obtained as follows: The reduction of 2-methylthiazole-4-carboxylic acid methyl ester (I) with DIBAL in dichloromethane gives the aldehyde (II), which by condensation with phosphorane (III) in refluxing benzene yields the unsaturated aldehyde (IV). The condensation of (IV) with the chiral borane (V) in ethyl ether affords the chiral unsaturated alcohol (VI), which is treated with Tbdms-Cl and imidazole to provide the sill ether (VII). The oxidation of the terminal double bond of (VIII) with OsO4 and Pb(OAc)4 in THF/tBuOH/water gives the aldehyde (VIII), which is condensed with the phosphorane (IX) in refluxing benzene to yield the carboxylic acid (X). The reduction of (X) with DIBAL in THF affords the carbinol (XI), which is reduced by reaction with CCl4 and PPh3, followed by a reductive dechlorination with LiBHEt3, to furnish the dimethylated olefin (XII). Hydroxylation of the terminal double bond of (XII) with 9-BBN in THF gives the primary alcohol (XIII), which is treated with I2 and PPh3 in ethyl ether/CH3CN to yield the iodo derivative (XIV). The condensation of (XIV) with the chiral 1-(propylideneamino)pyrrolidine (XV) by means of LDA in THF affords intermediate (XVI), which is converted into the nitrile (XVII) by reaction with monoperoxyphthalic acid magnesium salt (MMPP) in MeOH. Finally this compound is reduced with DIBAL in toluene to afford the target aldehyde intermediate (XVIII).

合成路线图解说明:

The condensation of 2,2-dimethyl-3-oxopentanal (XIX) with the chiral borane (V) in ethyl ether gives the chiral hydroxyketone (XX), which is treated with Tbdms-OTf and lutidine in dichloromethane to yield the silyl ether (XXI). Ozonolysis of the terminal double bond of (XXI) affords the aldehyde (XXII), which is oxidized to the carboxylic acid (XXIII) with NaClO2. The condensation of (XXIII) with the reported intermediate aldehyde (XVIII) by means of LDA in THF provides the hydroxyacid (XXIV), which is silylated with Tbdms-OTf and lutidine in dichloromethane to furnish the fully silylated compound (XXV). The hydrolysis of the silyl ester of (XXV) with K2CO3 in methanol gives the carboxylic acid (XXVI), which is selectively desilylated with TBAF in THF to yield the hydroxyacid (XXVII).The macrolactonization of (XXVII) by treatment with 2,4,6-trichlorobenzoyl chloride and TEA in THF, followed by a treatment with DMAP in toluene, affords the silylated macrolactone (XXVIII).

合成路线图解说明:

Compound (XXVIII) is deprotected with TFA in CH2Cl2 to provide the dihydroxymacrolactone (XXIX). Finally, this compound is epoxidated with methyl(trifluoromethyl)dioxirane (XXX) or MCPBA to furnish the target epothilone B.

合成路线图解说明:

The oxoacid intermediate (VI) has been obtained as follows: The condensation of 2,2-dimethyl-3-oxopentanal (I) with (+)-diisopinocampheyl(allyl)borane (II) gives the chiral 5(S)-hydroxy-4,4-dimethyl-7-octen-3-one (III), which is protected with Tbdms-OTf, yielding the silyl ether (IV). The ozonolysis of (IV) in dichloromethane affords the aldehyde (V), which is finally oxidized with NaClO2 in tert-butanol/water to provide the target oxoacid intermediate (VI).

合成路线图解说明:

The intermediate phosphonium salt (XVI) has been obtained as follows: The reduction of 2-methylthiazole-4-carboxylic acid ethyl ester (VII) with DIBAL in dichloromethane gives the corresponding aldehyde (VIII), which is condensed with the phosphorane (IX) in refluxing benzene to yield 2-methyl-3-(2-methylthiazol-4-yl)-2(E)-propenal (X). The allylation of (X) with (+)-diisopinocampheyl(allyl)borane (II) affords the chiral secondary alcohol (XI), which is protected with Tbdms-Cl and imidazole in DMF, providing the silyl ether (XII). The oxidation of the terminal double bond of (XII) with OsO4 and Pb(OAc)4 in THF/tert-butanol/water gives rise to the aldehyde (XIII), which is reduced with NaBH4 in methanol to give the corresponding primary alcohol (XIV). The reaction of (XIV) with I2, PPh3 and imidazole in ethyl ether/acetonitrile yields the expected iodo derivative (XV), which is finally condensed with PPh3 at 100 C to afford the desired intermediate phosphonium salt (XVI).

合成路线图解说明:

Assembly of the final product: The condensation of SAMP hydrazone (XVII) with 4-(benzyloxy)butyl iodide (XVIII) by means of LDA in THF gives the chiral 2-methylhexanal hydrazone (XIX), which is ozonolyzed in dichloromethane, yielding the free aldehyde (XX). The reduction of (XX) with NaBH4 in methanol affords the corresponding alcohol (XXI), which is protected with Tbdms-Cl and TEA in dichloromethane, providing the silyl ether (XXII). The hydrogenolysis of (XXII) with H2 over Pd/C in THF furnishes the alcohol (XXIII), which is oxidized to the aldehyde (XXIV) with oxalyl chloride, DMSO and TEA in dichloromethane. The methylation of aldehyde (XXIV) with Me-MgBr in THF gives the secondary alcohol (XXV), which is oxidized with tetrapropylammonium perruthenate (TPAP) in dichloromethane, yielding the methyl ketone (XXVI). The condensation of ketone (XXVI) with the intermediate phosphonium salt (XVI) by means of NaHMDS in THF gives the silylated diol (XXVII), which is selectively monodesilylated with CSA in dichloromethane/methanol to yield the primary alcohol (XXVIII). The oxidation of (XXVIII) with SO3/pyridine, DMSO and TEA in dichloromethane affords the corresponding aldehyde (XXIX), which is condensed with the oxoacid intermediate (VI) by means of LDA in THF to provide the linear heptadecadienoic acid (XXX) as a diastereomeric mixture that is separated at the carboxylic acid (XXXII) step.

合成路线图解说明:

The fully silylation of (XXX) with Tbdms-OTf and lutidine in dichloromethane gives the tetrasilyloxy compound (XXXI). The stepwise desilylation first with K2CO3 in methanol to yield the carboxylic acid (XXXII), and then with TBAF in THF, affords the hydroxyacid (XXXIII). The macrolactonization of (XXXIII) was carried out with the Yamaguchi method using 2,4,6-trichlorobenzoyl chloride, TEA and DMAP in THF to yield the silylated macrolactone (XXXIV), which is deprotected with TFA in dichloromethane to afford the dihydroxymacrolactone (XXXV). Finally, the double bond of (XXXV) is epoxidated with methyl(trifluoromethyl)dioxirane (XXXVI) in acetonitrile to provide the target epothilone B.

合成路线图解说明:

The condensation of the known ketone (XVII) with aldehyde (XVIII) by means of LDA in THF gives the hydroxyketone (XIX), which is silylated with Tbdms-OTf and TEA in dichloromethane, yielding the silyl ether (XX). The terminal vinyl group of (XX) is cleaved oxidatively by means of OsO4 and NaIO4 in THF/water, affording the aldehyde (XXI), which is oxidized to acid (XXII) by means of NaClO2 in t-butanol/water. Acid (XXII) is esterified to methyl ester (XXIII), which is selectively deprotected at the Pmb group by hydrogenation with H2 over Pd/C in ethanol to provide the primary alcohol (XXIV). The oxidation of (XXIV) with tetrapropylammonium perruthenate (TPAP) furnishes the aldehyde (XXV), which is submitted to a Wittig condensation with the intermediate phosphonium salt (XVI) by means of LiHMDS in THF to give the adduct (XXVI). The hydrolysis of the ester group of (XXVI) with NaOH in warm isopropanol yields the carboxylic acid (XXVII), which is selectively deprotected by means of TBAF in THF to afford the hydroxyacid (XXVIII).

合成路线图解说明:

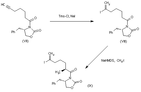
Synthesis of intermediate ketone (XVIII): The reaction of 2,2-dimethyl-3-oxopentanal (XVI) with (+)-allyldi(isopinocampheyl)borane in ethyl ether gives the chiral beta-hydroxyketone (XVII), which is silylated with Tbdms-OTf and lutidine in dichloromethane to afford the desired intermediate ketone (XVIII).

合成路线图解说明:

The aldol condensation of 2,2-dimethyl-3-oxopentanal (I) with acetylsultam (II) by means of Et3B/OTf and DIEA gives the aldol adduct (III), which is treated with Tbdms-OTf to yield the silyl ether (IV). The TiCl4 catalyzed aldol reaction between ketone (IV) with the intermediate aldehyde (V) affords the aldol adduct (VI), which is treated with Tbdms-OTf to provide the silylated adduct (VII). Finally the cleavage of the sultam group of (VII) by means of LiO2H furnishes the already known carboxylic acid intermediate (VIII)

合成路线图解说明:

The synthesis of the intermediate chiral aldehyde (XVIII) has been obtained as follows: The reduction of 2-methylthiazole-4-carboxylic acid methyl ester (I) with DIBAL in dichloromethane gives the aldehyde (II), which by condensation with phosphorane (III) in refluxing benzene yields the unsaturated aldehyde (IV). The condensation of (IV) with the chiral borane (V) in ethyl ether affords the chiral unsaturated alcohol (VI), which is treated with Tbdms-Cl and imidazole to provide the sill ether (VII). The oxidation of the terminal double bond of (VIII) with OsO4 and Pb(OAc)4 in THF/tBuOH/water gives the aldehyde (VIII), which is condensed with the phosphorane (IX) in refluxing benzene to yield the carboxylic acid (X). The reduction of (X) with DIBAL in THF affords the carbinol (XI), which is reduced by reaction with CCl4 and PPh3, followed by a reductive dechlorination with LiBHEt3, to furnish the dimethylated olefin (XII). Hydroxylation of the terminal double bond of (XII) with 9-BBN in THF gives the primary alcohol (XIII), which is treated with I2 and PPh3 in ethyl ether/acetonitrile to yield the iodo derivative (XIV). The condensation of (XIV) with the chiral 1-(propylideneamino)pyrrolidine (XV) by means of LDA in THF affords intermediate (XVI), which is converted into the nitrile (XVII) by reaction with monoperoxyphthalic acid magnesium salt (MMPP) in methanol. Finally, this compound is reduced with DIBAL in toluene to afford the target aldehyde intermediate (XVIII).

合成路线图解说明:

The condensation of 2,2-dimethyl-3-oxopentanal (XIX) with the chiral borane (V) in ethyl ether gives the chiral hydroxyketone (XX), which is treated with Tbdms-OTf and lutidine in dichloromethane to yield the silyl ether (XXI). Ozonolysis of the terminal double bond of (XXI) affords the aldehyde (XXII), which is oxidized to the carboxylic acid (XXIII) with NaClO2. The condensation of (XXIII) with the reported intermediate aldehyde (XVIII) by means of LDA in THF provides the hydroxyacid (XXIV), which is silylated with Tbdms-OTf and lutidine in dichloromethane to furnish the fully silylated compound (XXV). The hydrolysis of the silyl ester of (XXV) with K2CO3 in methanol gives the carboxylic acid (XXVI), which is selectively desilylated with TBAF in THF to yield the hydroxyacid (XXVII).The macrolactonization of (XXVII) by treatment with 2,4,6-trichlorobenzoyl chloride and TEA in THF, followed by a treatment with DMAP in toluene, affords the silylated macrolactone (XXVIII), which is finally deprotected with TFA in dichloromethane to provide the target epothilone D.

合成路线图解说明:

The oxoacid intermediate (VI) has been obtained as follows: The condensation of 2,2-dimethyl-3-oxopentanal (I) with (+)-diisopinocampheyl(allyl)borane (II) gives the chiral 5(S)-hydroxy-4,4-dimethyl-7-octen-3-one (III), which is protected with Tbdms-OTf, yielding the silyl ether (IV). The ozonolysis of (IV) in dichloromethane affords the aldehyde (V), which is finally oxidized with NaClO2 in tert-butanol/water to provide the target oxoacid intermediate (VI).

合成路线图解说明:

The intermediate phosphonium salt (XVI) has been obtained as follows: The reduction of 2-methylthiazole-4-carboxylic acid ethyl ester (VII) with DIBAL in dichloromethane gives the corresponding aldehyde (VIII), which is condensed with the phosphorane (IX) in refluxing benzene to yield 2-methyl-3-(2-methylthiazol-4-yl)-2(E)-propenal (X). The allylation of (X) with (+)-diisopinocampheyl(allyl)borane (II) affords the chiral secondary alcohol (XI), which is protected with Tbdms-Cl and imidazole in DMF to provide the silyl ether (XII). The oxidation of the terminal double bond of (XII) with OsO4 and Pb(OAc)4 in THF/tert-butanol/water gives rise to the aldehyde (XIII), which is reduced with NaBH4 in methanol to give the corresponding primary alcohol (XIV). The reaction of (XIV) with I2, PPh3 and imidazole in ethyl ether/acetonitrile yields the expected iodo derivative (XV), which is finally condensed with PPh3 at 100 C to afford the desired intermediate phosphonium salt (XVI).

合成路线图解说明:

Assembly of the final product: The condensation of SAMP hydrazone (XVII) with 4-(benzyloxy)butyl iodide (XVIII) by means of LDA in THF gives the chiral 2-methylhexanal hydrazone (XIX), which is ozonolyzed in dichloromethane, yielding the free aldehyde (XX). The reduction of (XX) with NaBH4 in methanol affords the corresponding alcohol (XXI), which is protected with Tbdms-Cl and TEA in dichloromethane, providing the silyl ether (XXII). The hydrogenolysis of (XXII) with H2 over Pd/C in THF furnishes the alcohol (XXIII), which is oxidized to the aldehyde (XXIV) with oxalyl chloride, DMSO and TEA in dichloromethane. The condensation of aldehyde (XXIV) with the intermediate phosphonium salt (XVI) by means of NaHMDS in THF gives the silylated diol (XXV), which is selectively monodesilylated with CSA in dichloromethane/methanol to yield the primary alcohol (XXVI). The oxidation of (XXVI) with SO3/pyridine, DMSO and TEA in dichloromethane affords the corresponding aldehyde (XXVII), which is condensed with the oxoacid intermediate (VI) by means of LDA in THF to provide the linear heptadecadienoic acid (XXVIII) as a diastereomeric mixture that is separated at the carboxylic acid (XXX) step. The fully silylation of (XVIII) with Tbdms-OTf and lutidine in dichloromethane gives the tetrasilyloxy compound (XXIX), which is stepwise desilylated first with K2CO3 in methanol to yield the carboxylic acid (XXX).

合成路线图解说明:

Compound (XXX) is treated with TBAF in THF to afford the hydroxyacid (XXXI). The macrolactonization of (XXXI) was carried out with the Yamaguchi method using 2,4,6-trichlorobenzoyl chloride , TEA and DMAP in THF to yield the silylated macrolactone (XXXII), which is finally deprotected with TFA in dichloromethane to afford the target epothilone D.

合成路线图解说明:

The condensation of the known ketone (XVII) (2) with aldehyde (XVIII) by means of LDA in THF gives the hydroxyketone (XIX), which is silylated with Tbdms-OTf and TEA in dichloromethane, yielding the silyl ether (XX). The terminal vinyl group of (XX) is cleaved oxidatively by means of OsO4 and NaIO4 in THF/water, affording the aldehyde (XXI), which is oxidized to acid (XXII) by means of NaClO2 in t-butanol/water. Acid (XXII) is esterified to methyl ester (XXIII), which is selectively deprotected at the Pmb group by hydrogenation with H2 over Pd/C in ethanol to provide the primary alcohol (XXIV). The oxidation of (XXIV) with tetrapropylammonium perruthenate (TPAP) furnishes the aldehyde (XXV), which is submitted to a Wittig condensation with the intermediate phosphonium salt (XVI) by means of LiHMDS in THF to give the adduct (XXVI). The hydrolysis of the ester group of (XXVI) with NaOH in warm isopropanol yields the carboxylic acid (XXVII), which is selectively deprotected by means of TBAF in THF to afford the hydroxyacid (XXVIII).

合成路线图解说明:

The reaction of 2,2-dimethyl-3-oxopentanal (XXXI) with (+)-diisopinocampheyl(allyl)borane (XXXII) in ethyl ether gives the chiral beta-hydroxy ketone (XXXIII), which is protected with Tbdms-OTf to yield the silyl ether (XXXIV). The ozonolysis of the double bond of (XXXIV) affords the aldehyde (XXXV), which is oxidized with NaClO2 to the carboxylic acid (XXXVI). Finally, this compound is condensed with 2(S)-methyl-6-heptenal (VII) by means of LDA in THF to provide the intermediate tridecenoic acid (XII).

合成路线图解说明:

The reduction of 2-methylthiazole-4-carboxylic acid ethyl ester (I) with DIBAL in dichloromethane gives the corresponding carbaldehyde (II), which is condensed with phosphorane (III) in refluxing benzene to yield the propionaldehyde (IV). The diastereocontrolled condensation of (IV) with (+)-allyl-di(isopinocampheyl)borane (V) in ethyl ether affords the chiral homoallyl alcohol (VI), which is silylated with Tbdms-Cl and imidazole to provide the silyl ether (VII).The oxidation of the terminal double bond of (VII) by means of OsO4, NaIO4 and 4-methylmorpholine N-oxide gives the 4-pentenal derivative (VIII), which is condensed with the phosphorane (IX) in refluxing benzene to yield the methyl heptadienoate (X). The reduction of (X) with DIBAL in THF affords the carbinol (XI), which is protected with trityl chloride and DMAP to provide the trityl ether (XII). The Hydroxylation of the terminal double bond of (XII) with 8-BBN and H2O2 gives the primary alcohol (XIII), which is treated with I2 and PPh3 to yield the iodo compound (XIV). The condensation of (XIV) with the hydrazone (XV) by means of LDA affords the chiral undecadienylhydrazone (XVI), which is treated with monoperoxyphthalic magnesium salt (MMPP) to provide the undecadienenitrile (XVII). The reduction of (XVII) with DIBAL in toluene gives the corresponding aldehyde (XVIII).

合成路线图解说明:

The synthesis of intermediate tridecenoic acid (VIII) has been performed as follows: The reaction of 2,2-dimethyl-3-oxopentanal (I) with (+)-diisopinocampheyl(allyl)borane (II) in ethyl ether gives the chiral beta-hydroxy ketone (III), which is protected with Tbdms-OTf, yielding the silyl ether (IV). The ozonolysis of the double bond of (IV) affords the aldehyde (V), which is oxidized with NaClO2 to the carboxylic acid (VI). Finally, this compound is condensed with 2(S)-methyl-6-heptenal (VII) by means of LDA in THF to provide the intermediate tridecenoic acid (VIII).

合成路线图解说明:

The oxoacid intermediate (VI) has been obtained as follows: The condensation of 2,2-dimethyl-3-oxopentanal (I) with (+)-diisopinocampheyl(allyl)borane (II) gives the chiral 5(S)-hydroxy-4,4-dimethyl-7-octen-3-one (III), which is protected with Tbdms-OTf, yielding the silyl ether (IV). The ozonolysis of (IV) in dichloromethane affords the aldehyde (V), which is finally oxidized with NaClO2 in tert-butanol/water to provide the target oxoacid intermediate (VI).

合成路线图解说明:

The intermediate phosphonium salt (XVI) has been obtained as follows: The reduction of 2-methylthiazole-4-carboxylic acid ethyl ester (VII) with DIBAL in dichloromethane gives the corresponding aldehyde (VIII), which is condensed with the phosphorane (IX) in refluxing benzene to yield 2-methyl-3-(2-methylthiazol-4-yl)-2(E)-propenal (X). The allylation of (X) with (+)-diisopinocampheyl(allyl)borane (II) affords the chiral secondary alcohol (XI), which is protected with Tbdms-Cl and imidazole in DMF, providing the silyl ether (XII). The oxidation of the terminal double bond of (XII) with OsO4 and Pb(OAc)4 in THF/tert-butanol/water gives rise to the aldehyde (XIII), which is reduced with NaBH4 in methanol to give the corresponding primary alcohol (XIV). The reaction of (XIV) with I2, PPh3 and imidazole in ethyl ether/acetonitrile yields the expected iodo derivative (XV), which is finally condensed with PPh3 at 100 C to afford the desired intermediate phosphonium salt (XVI).

合成路线图解说明:

Assembly of the final product: The condensation of SAMP hydrazone (XVII) with 4-(benzyloxy)butyl iodide (XVIII) by means of LDA in THF gives the chiral 2-methylhexanal hydrazone (XIX), which is ozonolyzed in dichloromethane, yielding the free aldehyde (XX). The reduction of (XX) with NaBH4 in methanol affords the corresponding alcohol (XXI), which is protected with Tbdms-Cl and TEA in dichloromethane, providing the silyl ether (XXII). The hydrogenolysis of (XXII) with H2 over Pd/C in THF furnishes the alcohol (XXIII), which is oxidized to the aldehyde (XXIV) with oxalyl chloride, DMSO and TEA in dichloromethane. The condensation of aldehyde (XXIV) with the intermediate phosphonium salt (XVI) by means of NaHMDS in THF gives the silylated diol (XXV), which is selectively monodesilylated with CSA in dichloromethane/methanol to yield the primary alcohol (XXVI). The oxidation of (XXVI) with SO3/pyridine, DMSO and TEA in dichloromethane affords the corresponding aldehyde (XXVII), which is condensed with the oxoacid intermediate (VI) by means of LDA in THF to provide the linear heptadecadienoic acid (XXVIII) as a diastereomeric mixture.

合成路线图解说明:

Intermediate (XXVIII) separated at the carboxylic acid (XXX) step. The full silylation of (XVIII) with Tbdms-OTf and lutidine in dichloromethane gives the tetrasilyloxy compound (XXIX), which is stepwise desilylated first with K2CO3 in methanol to yield the carboxylic acid (XXX), and then with TBAF in THF to afford the hydroxyacid (XXXI). The macrolactonization of (XXXI) was carried out with the Yamaguchi method using 2,4,6-trichlorobenzoyl chloride, TEA and DMAP in THF to yield the silylated macrolactone (XXXII), which is deprotected with TFA in dichloromethane to afford the the target epothilone C.

参考文献No.613605
标题:Total syntheses of epothilones A and B
作者:Meng, D.; et al.
来源:J Am Chem Soc 1997,119(42),10073
合成路线图解说明:

Synthesis of thiazole intermediate (IX): The reaction of 2-methylthiazole-4-carbaldehyde (I) with triphenylphosphorane (II) in refluxing benzene gives 2-methyl-3-(2-methyl-4-thiazolyl)-2-propenal (III), which is enantioselectively allylated with ally(tributyl)stannane (IV) catalyzed by (S)(-)-BINOL and Ti(O-iPr)4 in dichloromethane to yield the chiral homoallyl alcohol (V). The reaction of (V) with acetic anhydride TEA and DMAP in dichloromethane affords the acetate (VI), which is oxidized at its terminal double bond with OsO4 and NaIO4 to provide the aldehyde (VII). Finally, this compound is condensed with triphenylphosphorane (VIII) to give the desired thiazole intermediate (IX).

合成路线图解说明:

The cyclization of 3-(benzyloxy)-2(S)-methylpropenal (X) with the diene (XI) by means of TiCl4 in dichloromethane gives the dihydropyranone (XII), which is reduced with LiAlH4 in ethyl ether to yield the alcohol (XIII). The cyclopropanation of (XIII) by means of diiodomethane and Et2Zn in ethyl ether affords the cyclopropano derivative (XIV), which is cleaved by means of N-iodosuccinimide (NIS) in methanol, affording the iodomethyl derivative (XV). The dehalogenation of (XV) by means of Bu3SnH and AIBN in refluxing benzene provide the gem-dimethyltetrahydropyran (XVI), which is treated with triphenylchlorosilane and imidazole in DMF to give the silyl ether (XVII). Opening of the tetrahydropyran ring of (XVII) by means of propane-1,2-dithiol and TiCl4 in dichloromethane yields the 1,3-dithiolane derivative (XVIII), which is treated with Tbdms-OTf and lutidine to afford the disilylated compound (XIX). The debenzylation of (XIX) with DDQ in dichloromethane/water provides the primary alcohol (XX), which is oxidized with oxalyl chloride in DMSO/dichloromethane, furnishing the corresponding aldehyde (XXI). The condensation of (XXI) with the phosphonium salt (XXII) by means of KOtBu in THF gives the enol ether (XXIII), which is hydrolyzed to the corresponding aldehyde (XXIV) by means of TsOH in dioxane/water. The condensation of (XXIV) with phosphonium salt (XXV) by means of NaHMDS in toluene yields the terminal olefin (XXVI), which is treated with phenyliodonium trifluoroacetate in methanol/THF to afford the aldehyde dimethylacetal (XXVII). The condensation of (XXVII) with thiazole intermediate (IX) by means of 9-BBN, a Pd catalyst and Cs2CO3 in DMF/water gives the adduct (XXVIII).

合成路线图解说明:

Hydrolysis of the dimethylacetal group of (XXVIII) with Ts-OH in dioxane/water yields the corresponding aldehyde (XXIX), which is submitted to an intramolecular aldolization by means of KHMDS in THF to afford a mixture of diastereomeric macrolactones (XXX) and (XXXI). The undesired isomer (XXX) was recovered, oxidized with DMP to the ketone (XXXII) and reduced again with NaBH4 to provide high yields of the desired isomer (XXXI). Selective desilylation of (XXXI) with HF/pyridine in THF gives the diol (XXXIII), which is selectively monosilylated with Tbdms-OTf and lutidine in dichloromethane, yielding the bis-silylated triol (XXXIV). The oxidation of the free OH group of (XXXIV) with DMP in dichloromethane affords the corresponding ketonic derivative (XXXV), which is deprotected with HF/pyridine in THF, providing the free dihydroxy compound (XXXVI). Finally, this compound is epoxidized by means of dimethyldioxirane (DMDO) in dichloromethane.

合成路线图解说明:

Alternatively, the hydrolysis of the intermediate dimethylacetal (XXVII) with TsOH in dioxane/water gives the aldehyde (XXXVII), which is condensed with tert-butyl acetate (XXXVIII) by means of LDA in THF, yielding the hydroxyester (XXXIX). The desilylation of (XXXIX) with HF/pyridine in THF affords the trihydroxy compound (XL), which is selectively resilylated with Tbdms-OTf and lutidine, providing the bis-silylated compound (XLI). The oxidation of the free OH group of (XLI) with DMP in dichloromethane gives the ketonic compound (XLII), which is treated with Tbdms-OTf and lutidine in dichloromethane to furnish the silyl ester (XLIII). The condensation of (XLIII) with the thiazole intermediate (IX) as before gives the adduct (XLIV), which is hydrolyzed by means of K2CO3 in methanol/water, yielding the hydroxyacid (XLV). The intramolecular lactonization of (XLV) by means of 2,4,6-trichlorobenzoyl chloride, TEA and DMAP in toluene affords the previously reported macrolactone (XXXV), which is desilylated with HF/pyridine to (XXXVI) and finally epoxidated with DMDO in dichloromethane.

合成路线图解说明:

Synthesis of thiazole intermediate (IX): The reaction of 2-methylthiazole-4-carbaldehyde (I) with triphenylphosphorane (II) in refluxing benzene gives 2-methyl-3-(2-methyl-4-thiazolyl)-2-propenal (III), which is enantioselectively allylated with ally(tributyl)stannane (IV) and catalyzed by (S)-(-)-BINOL and Ti(O-iPr)4 in dichloromethane to yield the chiral homoallyl alcohol (V). The reaction of (V) with acetic anhydride TEA and DMAP in dichloromethane affords the acetate (VI), which is oxidized at its terminal double bond with OsO4 and NaIO4 to provide the aldehyde (VII). Finally, this compound is condensed with triphenylphosphorane (VIII) to gives the desired thiazole intermediate (IX).

合成路线图解说明:

The cyclization of 3-(benzyloxy)-2(S)-methylpropenal (X) with the diene (XI) by means of TiCl4 in dichloromethane gives the dihydropyranone (XII), which is reduced with LiAlH4 in ethyl ether to yield the alcohol (XIII). The cyclopropanation of (XIII) by means of diiodomethane and Et2Zn in ethyl ether affords the cyclopropano derivative (XIV), which is cleaved by means of N-iodosuccinimide (NIS) in methanol, affording the iodomethyl derivative (XV). The dehalogenation of (XV) by means of Bu3SnH and AIBN in refluxing benzene provide the gem-dimethyltetrahydropyran (XVI), which is treated with triphenylchlorosilane and imidazole in DMF to give the silyl ether (XVII). Opening of the tetrahydropyran ring of (XVII) by means of propane-1,2-dithiol and TiCl4 in dichloromethane yields the 1,3-dithiolane derivative (XVIII), which is treated with Tbdms-OTf and lutidine to afford the disilylated compound (XIX). The debenzylation of (XIX) with DDQ in dichloromethane/water provides the primary alcohol (XX), which is oxidized with oxalyl chloride in DMSO/dichloromethane to furnish the corresponding aldehyde (XXI). The condensation of (XXI) with the phosphonium salt (XXII) by means of tBu-OK in THF gives the enol ether (XXIII), which is hydrolyzed to the corresponding aldehyde (XXIV) by means of Ts-OH in dioxane/water. The condensation of (XXIV) with phosphonium salt (XXV) by means of NaHMDS in toluene yields the terminal olefin (XXVI), which is treated with phenyliodonium trifluoroacetate in methanol/THF to afford the aldehyde dimethylacetal (XXVII). The condensation of (XXVII) with thiazole intermediate (IX) by means of 9-BBN, a Pd catalyst and Cs2CO3 in DMF/water gives the adduct (XXVIII).

合成路线图解说明:

Hydrolysis of the dimethylacetal group of (XXVIII) with Ts-OH in dioxane/water yields the corresponding aldehyde (XXIX), which is submitted to an intramolecular aldolization by means of KHMDS in THF to afford a mixture of diastereomeric macrolactones (XXX) and (XXXI). The undesired isomer (XXX) was recovered, oxidized with DMP to the ketone (XXXII) and reduced again with NaBH4 to provide high yields of the desired isomer (XXXI). Selective desilylation of (XXXI) with HF/pyridine in THF gives the diol (XXXIII), which is selectively monosilylated with Tbdms-OTf and lutidine in dichloromethane, yielding the bis-silylated triol (XXXIV). The oxidation of the free OH group of (XXXIV) with DMP in dichloromethane affords the corresponding ketonic derivative (XXXV), which is deprotected with HF/pyridine in THF, providing the free dihydroxy compound (XXXVI). Finally, this compound is epoxidized by means of dimethyldioxirane (DMDO) in dichloromethane to afford the target epothilone B.

合成路线图解说明:

Synthesis of thiazole intermediate (IX): The reaction of 2-methylthiazole-4-carbaldehyde (I) with triphenylphosphorane (II) in refluxing benzene gives 2-methyl-3-(2-methyl-4-thiazolyl)-2-propenal (III), which is enantioselectively allylated with ally(tributyl)stannane (IV) catalyzed by (S)(-)-BINOL and Ti(O-iPr)4 in dichloromethane to yield the chiral homoallyl alcohol (V). The reaction of (V) with acetic anhydride TEA and DMAP in dichloromethane affords the acetate (VI), which is oxidized at its terminal double bond with OsO4 and NaIO4 to provide the aldehyde (VII). Finally, this compound is condensed with triphenylphosphorane (VIII) to gives the desired thiazole intermediate (IX)

合成路线图解说明:

The cyclization of 3-(benzyloxy)-2(S)-methylpropenal (X) with the diene (XI) by means of TiCl4 in dichloromethane gives the dihydropyranone (XII), which is reduced with LiAlH4 in ethyl ether to yield the alcohol (XIII). The cyclopropanation of (XIII) by means of diiodomethane and Et2Zn in ethyl ether affords the cyclopropano derivative (XIV), which is cleaved by means of N-iodosuccinimide (NIS) in methanol, affording the iodomethyl derivative (XV). The dehalogenation of (XV) by means of Bu3SnH and AIBN in refluxing benzene provides the gem-dimethyltetrahydropyran (XVI), which is treated with triphenylchlorosilane and imidazole in DMF to give the silyl ether (XVII). Opening of the tetrahydropyran ring of (XVII) by means of propane-1,2-dithiol and TiCl4 in dichloromethane yields the 1,3-dithiolane derivative (XVIII), which is treated with Tbdms-OTf and lutidine to afford the disilylated compound (XIX). The debenzylation of (XIX) with DDQ in dichloromethane/water provides the primary alcohol (XX), which is oxidized with oxalyl chloride in DMSO/dichloromethane, furnishing the corresponding aldehyde (XXI). The condensation of (XXI) with the phosphonium salt (XXII) by means of tBu-OK in THF gives the enol ether (XXIII), which is hydrolyzed to the corresponding aldehyde (XXIV) by means of Ts-OH in dioxane/water. The condensation of (XXIV) with phosphonium salt (XXV) by means of NaHMDS in toluene yields the terminal olefin (XXVI), which is treated with phenyliodonium trifluoroacetate in methanol/THF to afford the aldehyde dimethylacetal (XXVII). The condensation of (XXVII) with thiazole intermediate (IX) by means of 9-BBN, a Pd catalyst and Cs2CO3 in DMF/water gives the adduct (XXVIII).

合成路线图解说明:

Hydrolysis of the dimethylacetal group of (XXVIII) with Ts-OH in dioxane/water yields the corresponding aldehyde (XXIX), which is submitted to a intramolecular aldolization by means of KHMDS in THF to afford a mixture of diastereomeric macrolactones (XXX) and (XXXI). The undesired isomer (XXX) was recovered, oxidized with DMP to the ketone (XXXII) and reduced again with NaBH4 to provide high yields of the desired isomer (XXXI). Selective desilylation of (XXXI) with HF/pyridine in THF gives de diol (XXXIII), which is selectively monosilylated with Tbdms-OTf and lutidine in dichloromethane, yielding the bis-silylated triol (XXXIV). The oxidation of the free OH group of (XXXIV) with DMP in dichloromethane affords the corresponding ketonic derivative (XXXV), which is finally deprotected with HF/pyridine in THF, providing the target epothilone D.

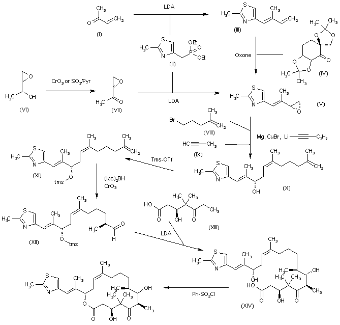
合成路线图解说明:

The condensation of the phosphonium salt (I) with the ketone (II) by means of NaHMDS in THF gives the diene (III), which is selectively monodeprotected with CSA in methanol/dichloromethane to yield the primary alcohol (IV). The oxidation of (IV) with SO3/pyridine affords the corresponding aldehyde (V), which is condensed with the ketoacid (VI) by means of LDA in THF to provide the heptadienoic acid (VII). The protection of the OH group of (VII) y means of Tbdms-OTf and lutidine in dichloromethane gives the fully silylated compound (VIII), which is selectively monodeprotected with TBAF in THF to yield the hydroxyacid (IX). The macrolactonization of (IX) by means of 2,4,6-trichlorobenzoyl chloride and TEA in THF affords the macrolactone (X), which is finally deprotected with TFA in dichloromethane to provide the target epothilone D.

合成路线图解说明:

Synthesis of thiazole intermediate (IX): The reaction of 2-methylthiazole-4-carbaldehyde (I) with triphenylphosphorane (II) in refluxing benzene gives 2-methyl-3-(2-methyl-4-thiazolyl)-2-propenal (III), which is enantioselectively allylated with ally(tributyl)stannane (IV) catalyzed by (S)(-)-BINOL and Ti(O-iPr)4 in dichloromethane to yield the chiral homoallyl alcohol (V). The reaction of (V) with acetic anhydride TEA and DMAP in dichloromethane affords the acetate (VI), which is oxidized at its terminal double bond with OsO4 and NaIO4 to provide the aldehyde (VII). Finally, this compound is condensed with triphenylphosphorane (VIII) to give the desired thiazole intermediate (IX).

合成路线图解说明:

The cyclization of 3-(benzyloxy)-2(S)-methylpropenal (X) with the diene (XI) by means of TiCl4 in dichloromethane gives the dihydropyranone (XII), which is reduced with LiAlH4 in ethyl ether to yield the alcohol (XIII). The cyclopropanation of (XIII) by means of diiodomethane and Et2Zn in ethyl ether affords the cyclopropano derivative (XIV), which is cleaved by means of N-iodosuccinimide (NIS) in methanol, affording the iodomethyl derivative (XV). The dehalogenation of (XV) by means of Bu3SnH and AIBN in refluxing benzene provides the gem-dimethyltetrahydropyran (XVI), which is treated with triphenylchlorosilane and imidazole in DMF to give the silyl ether (XVII). Opening of the tetrahydropyran ring of (XVII) by means of propane-1,2-dithiol and TiCl4 in dichloromethane yields the 1,3-dithiolane derivative (XVIII), which is treated with Tbdms-OTf and lutidine to afford the disilylated compound (XIX). The debenzylation of (XIX) with DDQ in dichloromethane/water provides the primary alcohol (XX), which is oxidized with oxalyl chloride in DMSO/dichloromethane, furnishing the corresponding aldehyde (XXI). The condensation of (XXI) with the phosphonium salt (XXII) by means of tBu-OK in THF gives the enol ether (XXIII), which is hydrolyzed to the corresponding aldehyde (XXIV) by means of Ts-OH in dioxane/water. The condensation of (XXIV) with phosphonium salt (XXV) by means of NaHMDS in toluene yields the terminal olefin (XXVI), which is treated with phenyliodonium trifluoroacetate in methanol/THF to afford the aldehyde dimethylacetal (XXVII). The condensation of (XXVII) with thiazole intermediate (IX) by means of 9-BBN, a Pd catalyst and Cs2CO3 in DMF/water gives the adduct (XXVIII).

合成路线图解说明:

Hydrolysis of the dimethylacetal group of (XXVIII) with Ts-OH in dioxane/water yields the corresponding aldehyde (XXIX), which is submitted to an intramolecular aldolization by means of KHMDS in THF to afford a mixture of diastereomeric macrolactones (XXX) and (XXXI). The undesired isomer (XXX) was recovered, oxidized with DMP to the ketone (XXXII) and reduced again with NaBH4 to provide high yields of the desired isomer (XXXI). Selective desilylation of (XXXI) with HF/pyridine in THF gives the diol (XXXIII), which is selectively monosilylated with Tbdms-OTf and lutidine in dichloromethane, yielding the bis-silylated triol (XXXIV). The oxidation of the free OH group of (XXXIV) with DMP in dichloromethane affords the corresponding ketonic derivative (XXXV), which is finally deprotected with HF/pyridine in THF, providing the target epothilone C.

合成路线图解说明:

Alternatively, the hydrolysis of the intermediate dimethylacetal (XXVII) with Ts-OH in dioxane/water gives the aldehyde (XXXVI), which is condensed with tert-butyl acetate (XXXVII) by means of LDA in THF, yielding the hydroxyester (XXXVIII). The desilylation of (XXXVIII) with HF/pyridine in THF affords the trihydroxy compound (XXXIX), which is selectively resilylated with Tbdms-OTf and lutidine, providing the bis-silylated compound (XL). The oxidation of the free OH group of (XL) with DMP in dichloromethane gives the ketonic compound (XLI), which is treated with Tbdms-OTf and lutidine in dichloromethane to furnish the silyl ester (XLII). The condensation of (XLII) with the thiazole intermediate (IX) as before gives the adduct (XLIII), which is hydrolyzed by means of K2CO3 in methanol/water, yielding the hydroxyacid (XLIV). The intramolecular lactonization of (XLIV) by means of 2,4,6-trichlorobenzoyl chloride, TEA and DMAP in toluene affords the already reported macrolactone (XXXV), which is finally desilylated with HF/pyridine to give the target epothilone C.

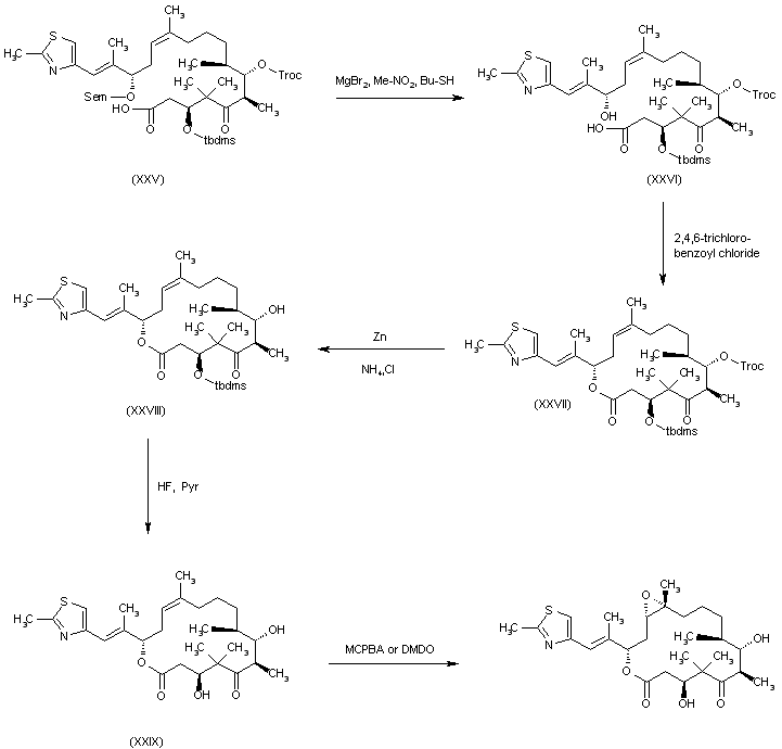
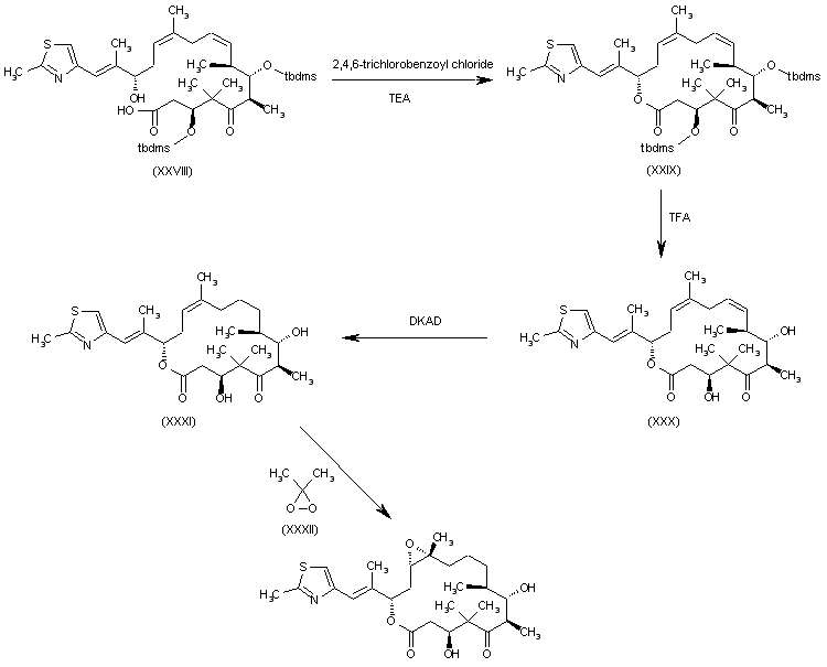
参考文献No.619680
标题:A highly stereoselective synthesis of epothilone B
作者:White, J.D.; Carter, R.G.; Sundermann, K.F.
来源:J Org Chem 1999,64(3),684
合成路线图解说明:

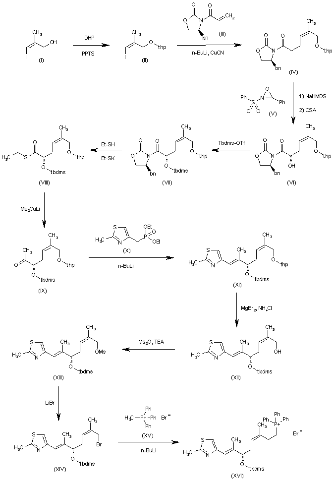
The protection of the allyl alcohol (I) with dihydropyran and PPTS in dichloromethane gives the tetrahydropyranyl ether (II), which is condensed with the chiral oxazolidinone (III) by means of BuLi and CuCN in THF to yield the adduct (IV). The hydroxylation of (IV) with Davis' oxaziridine, NaHMDS and CSA affords the alcohol (V), which is silylated with Tbdms-OTf and lutidine to provide the silyl ether (VII). The hydrolysis of the oxazolidinone group of (VII) with Et-SH and Et-SK in THF gives the thioester (VIII), which is methylated with Me2CuLi in ethyl ether, yielding the methyl ketone (IX). The condensation of (IX) with phosphonate (X) by means of BuLi in THF affords the diene (XI), which is treated with MgBr2 in ethyl ether in order to eliminate the THP protecting group and obtain the primary alcohol (XII). The sulfonation of (XII) with Ms2O and TEA in dichloromethane gives the mesylate (XIII), which is treated with LiBr in acetone to yield the allyl bromide (XIV). Finally, (XIV) is condensed with methyltriphenylphosphonium bromide (XV) by means of BuLi in THF affording the desired intermediate phosphonium salt (XVI).

合成路线图解说明:

The condensation of the known ketone (XVII) with aldehyde (XVIII) by means of LDA in THF gives the hydroxyketone (XIX), which is silylated with Tbdms-OTf and TEA in dichloromethane, yielding the silyl ether (XX). The terminal vinyl group of (XX) is cleaved oxidatively by means of OsO4 and NaIO4 in THF/water, affording the aldehyde (XXI), which is oxidized to acid (XXII) by means of NaClO2 in t-butanol/water. Acid (XXII) is esterified to methyl ester (XXIII), which is selectively deprotected at the Pmb group by hydrogenation with H2 over Pd/C in ethanol to provide the primary alcohol (XXIV). The oxidation of (XXIV) with tetrapropylammonium perruthenate (TPAP) furnishes the aldehyde (XXV), which is submitted to a Wittig condensation with the intermediate phosphonium salt (XVI) by means of LiHMDS in THF to give the adduct (XXVI). The hydrolysis of the ester group of (XXVI) with NaOH in warm isopropanol yields the carboxylic acid (XXVII), which is selectively deprotected by means of TBAF in THF to afford the hydroxyacid (XXVIII).

合成路线图解说明:

The macrolactonization of (XXVIII) by means of 2,4,6-trichlorobenzoyl chloride and TEA in THF provides the protected macrolactone (XXIX), which is deprotected with TFA in dichloromethane to give the trienic macrolactone (XXX). Selective hydrogenation of the disubstituted double bond of (XXX) by means of potassium azodicarboxylate (DKAD) and AcOH in dichloromethane yields the precursor (XXXI), which is finally epoxidized with dimethyldioxirane (XXXII) in dichloromethane to afford the target epothilone B.

合成路线图解说明:

The reaction of chiral aldehyde (I) with dimethyl diazomethylphosphonate (II) by means of tBu-OK in THF gives the acetylenic ester (III), which is condensed with ally bromide derivative (IV) by means of CuI and TEA in DMF/ethyl ether to yield the dienyne (V). The partial hydrogenation of (V) over a Lindlar catalyst in hexane affords the trienoic ester (VI). The hydrolysis of (VI) with NaOH in warm isopropanol provides the corresponding carboxylic acid (VII), which is selectively desilylated with TBAF in THF to give the hydroxyacid (VIII). The macrolactonization of (VIII) by means of 2,4,6-trichlorobenzoyl chloride and TEA in benzene/THF yields the protected macrolactone (IX), which is deprotected with TFA in dichloromethane to afford the trienic macrolactone (X). Selective hydrogenation of the disubstituted double bond of (X) by means of potassium azodicarboxylate (DKAD) and HOAc in dichloromethane provides the precursor (XI), which is finally epoxidated with dimethyldioxirane (XII) in dichloromethane to furnish the target epothilone B.

合成路线图解说明:

The protection of the allyl alcohol (I) with dihydropyran and PPTS in dichloromethane gives the tetrahydropyranyl ether (II), which is condensed with the chiral oxazolidinone (III) by means of BuLi and CuCN in THF, yielding the adduct (IV). The hydroxylation of (IV) with Davis' oxaziridine, NaHMDS and CSA affords the alcohol (V), which is silylated with Tbdms-OTf and lutidine, providing the silyl ether (VII). The hydrolysis of the oxazolidinone group of (VII) with Et-SH and Et-SK in THF gives the thioester (VIII), which is methylated with Me2CuLi in ethyl ether, yielding the methyl ketone (IX). The condensation of (IX) with phosphonate (X) by means of BuLi in THF affords the diene (XI), which is treated with MgBr2 in ethyl ether in order to eliminate the THP protecting group and obtain the primary alcohol (XII). The sulfonation of (XII) with Ms2O and TEA in dichloromethane gives the mesylate (XIII), which is treated with LiBr in acetone to yield the allyl bromide (XIV). Finally, (XIV) is condensed with methyltriphenylphosphonium bromide (XV) by means of BuLi in THF affording the desired intermediate phosphonium salt (XVI).

合成路线图解说明:

The condensation of the known ketone (XVII) (2) with aldehyde (XVIII) by means of LDA in THF gives the hydroxyketone (XIX), which is silylated with Tbdms-OTf and TEA in dichloromethane, yielding the silyl ether (XX). The terminal vinyl group of (XX) is cleaved oxidatively by means of OsO4 and NaIO4 in THF/water, affording the aldehyde (XXI), which is oxidized to acid (XXII) by means of NaClO2 in t-butanol/water. Acid (XXII) is esterified to methyl ester (XXIII), which is selectively deprotected at the Pmb group by hydrogenation with H2 over Pd/C in ethanol to provide the primary alcohol (XXIV). The oxidation of (XXIV) with tetrapropylammonium perruthenate (TPAP) furnishes the aldehyde (XXV), which is submitted to a Wittig condensation with the intermediate phosphonium salt (XVI) by means of LiHMDS in THF to give the adduct (XXVI). The hydrolysis of the ester group of (XXVI) with NaOH in warm isopropanol yields the carboxylic acid (XXVII), which is selectively deprotected by means of TBAF in THF to afford the hydroxyacid (XXVIII).

合成路线图解说明:

The macrolactonization of (XXVIII) by means of 2,4,6-trichlorobenzoyl chloride and TEA in THF provides the protected macrolactone (XXIX), which is deprotected with TFA in dichloromethane to give the trienic macrolactone (XXX). Finally, the selective hydrogenation of the disubstituted double bond of (XXX) by means of potassium azodicarboxylate (DKAD) and HOAc in dichloromethane yields the target epothilone D.

合成路线图解说明:

The reaction of chiral aldehyde (I) with dimethyl diazomethylphosphonate (II) by means of tBu-OK in THF gives the acetylenic ester (III), which is condensed with ally bromide derivative (IV) by means of CuI and TEA in DMF/ethyl ether to yield the dienyne (V). The partial hydrogenation of (V) over a Lindlar catalyst in hexane affords the trienoic ester (VI). The hydrolysis of (VI) with NaOH in warm isopropanol provides the corresponding carboxylic acid (VII), which is selectively desilylated with TBAF in THF to give the hydroxyacid (VIII). The macrolactonization of (VIII) by means of 2,4,6-trichlorobenzoyl chloride and TEA in benzene/THF yields the protected macrolactone (IX), which is deprotected with TFA in dichloromethane to afford the trienic macrolactone (X) (1). Finally, the selective hydrogenation of the disubstituted double bond of (X) by means of potassium azodicarboxylate (DKAD) and HOAc in dichloromethane provides the target epothilone D.

参考文献No.619682
标题:Improved synthesis of epothilone B employing alkylation of an alkyne for assembly of subunits
作者:White, J.D.; Sundermann, K.F.; Carter, R.G.
来源:Org Lett 1999,1(9),1431
合成路线图解说明:

The reaction of chiral aldehyde (I) with dimethyl diazomethylphosphonate (II) by means of tBu-OK in THF gives the acetylenic ester (III), which is condensed with ally bromide derivative (IV) by means of CuI and TEA in DMF/ethyl ether to yield the dienyne (V). The partial hydrogenation of (V) over a Lindlar catalyst in hexane affords the trienoic ester (VI). The hydrolysis of (VI) with NaOH in warm isopropanol provides the corresponding carboxylic acid (VII), which is selectively desilylated with TBAF in THF to give the hydroxyacid (VIII). The macrolactonization of (VIII) by means of 2,4,6-trichlorobenzoyl chloride and TEA in benzene/THF yields the protected macrolactone (IX), which is deprotected with TFA in dichloromethane to afford the trienic macrolactone (X). Selective hydrogenation of the disubstituted double bond of (X) by means of potassium azodicarboxylate (DKAD) and HOAc in dichloromethane provides the precursor (XI), which is finally epoxidated with dimethyldioxirane (XII) in dichloromethane to furnish the target epothilone B.

合成路线图解说明:

The reaction of chiral aldehyde (I) with dimethyl diazomethylphosphonate (II) by means of tBu-OK in THF gives the acetylenic ester (III), which is condensed with ally bromide derivative (IV) by means of CuI and TEA in DMF/ethyl ether to yield the dienyne (V). The partial hydrogenation of (V) over a Lindlar catalyst in hexane affords the trienoic ester (VI). The hydrolysis of (VI) with NaOH in warm isopropanol provides the corresponding carboxylic acid (VII), which is selectively desilylated with TBAF in THF to give the hydroxyacid (VIII). The macrolactonization of (VIII) by means of 2,4,6-trichlorobenzoyl chloride and TEA in benzene/THF yields the protected macrolactone (IX), which is deprotected with TFA in dichloromethane to afford the trienic macrolactone (X) (1). Finally, the selective hydrogenation of the disubstituted double bond of (X) by means of potassium azodicarboxylate (DKAD) and HOAc in dichloromethane provides the target epothilone D.

参考文献No.644399
标题:Total syntheses of epothilones B and D: Applications of allylstannanes in organic synthesis
作者:Martin, N.; Thomas, E.J.
来源:Tetrahedron Lett 2001,42(47),8373
合成路线图解说明:

The synthesis of the chiral 3-heptanone intermediate has been obtained as follows: The protection of the OH group of the chiral lactone (I) with Tbdms-Cl and imidazole gives the silyl ether (II), which is reduced with DIBAL to yield the lactol (III).The reaction of (III) with the Tebbe reagent affords the pentenol derivative (IV), which is oxidized with Dess-Martin periodinane (DMP), affording the aldehyde (V). The Grignard synthesis of (V) with ethylmagnesium bromide (VI) provides the 3-heptanol derivative (VII), which is hydroxylated at the terminal double bond by means of BH3/THF and H2O2, giving the diol (VIII). The selective protection of the primary OH group of (VIII) with Dmt-Cl, DIEA and DMAP yields the trityl ether (IX), which is finally oxidized with DMP to afford the desired chiral heptanone (X)

合成路线图解说明:

Synthesis of the target epothilone: The condensation of the iodinated dioxolane (XI) with the phenylsulfone (XII) by means of BuLi and DMPU gives the adduct (XIII), which is deprotected with Amberlyst 15 to yield the diol (XIV). Regioselective silylation of (XIV) with Tbdms-Cl and imidazole affords the monosilylated diol (XV), which is fully protected with Sem-Cl and DIEA, providing compound (XVI). The reaction of (XVI) with tributyltin hydride gives the stannane (XVII), which is condensed with the chiral aldehyde (XVIII) by means of SnBr4 to yield the 4-decanol derivative (XIX). The elimination of The OH group of (XIX) is performed via its reaction with Cl-C(S)-OPh (XX) to afford the thiocarbonate (XXI), which is then treated with tributyltin hydride to provide the dehydroxylated compound (XXII). Selective deprotection of (XXII) with DDQ gives the primary alcohol (XXIII), which is esterified with pivaloyl chloride, yielding the pivaloyl ester (XXIV). The selective desilylation of the Tbdms group of (XXIV) with TBAF gives the primary alcohol (XXV), which is oxidized to the corresponding aldehyde (XXVI) by means of DMP. The Grignard reaction of aldehyde (XXVI) with methylmagnesium bromide yields the secondary alcohol (XXVII).

合成路线图解说明:

The oxidation of the secondary OH group of (XXVII) with DMP gives the methyl ketone (XXVIII), which is condensed with the phosphonate (XXIX) to yield the diene (XXX). Reductive removal of the pivalate group of (XXX) by means of DIBAL affords the primary alcohol (XXXI), which is oxidized with DMP to provide the corresponding aldehyde (XXXII). The aldol condensation between aldehyde (XXXII) and the already reported intermediate, the ketone (X), by means of LDA gives the aldol (XXXIII), which is silylated with Tbdms-OTf and deprotected at the primary dimethoxyltrityl group by means of dichloroacetic acid to give the primary alcohol (XXXIV). The oxidation of (XXXIV) with DMP and NaClO2, followed by elimination of the Sem protecting group with MgBr2 and Bu-SH, yields the hydroxyacid (XXXV), which is submitted to macrocyclization under the modified Yamaguchi conditions (2,4,6-trichlorobenzoyl chloride and DMAP) to afford the silylated epothilone derivative (XXXVI). Finally, this compound is desilylated by means of TFA and epoxidized with DMDO to furnish the target epothilone B.

合成路线图解说明:

The synthesis of the chiral 3-heptanone intermediate has been obtained as follows: The protection of the OH group of the chiral lactone (I) with Tbdms-Cl and imidazole gives the silyl ether (II), which is reduced with DIBAL to yield the lactol (III).The reaction of (III) with the Tebbe reagent affords the pentenol derivative (IV), which is oxidized with Dess-Martin periodinane (DMP), affording the aldehyde (V). The Grignard synthesis of (V) with ethylmagnesium bromide (VI) provides the 3-heptanol derivative (VII), which is hydroxylated at the terminal double bond by means of BH3/THF and H2O2, giving the diol (VIII). The selective protection of the primary OH group of (VIII) with Dmt-Cl, DIEA and DMAP yields the trityl ether (IX), which is finally oxidized with DMP to afford the desired chiral heptanone (X).

合成路线图解说明:

Synthesis of the target epothilone: The condensation of the iodinated dioxolane (XI) with the phenylsulfone (XII) by means of BuLi and DMPU gives the adduct (XIII), which is deprotected with Amberlyst 15 to yield the diol (XIV). Regioselective silylation of (XIV) with Tbdms-Cl and imidazole affords the monosilylated diol (XV), which is fully protected with Sem-Cl and DIEA, providing compound (XVI). The reaction of (XVI) with tributyltin hydride gives the stannane (XVII), which is condensed with the chiral aldehyde (XVIII) by means of SnBr4 to yield the 4-decanol derivative (XIX). The elimination of The OH group of (XIX) is performed via its reaction with Cl-C(S)-OPh (XX) to afford the thiocarbonate (XXI), which is then treated with tributyltin hydride to provide the dehydroxylated compound (XXII). Selective deprotection of (XXII) with DDQ gives the primary alcohol (XXIII), which is esterified with pivaloyl chloride, yielding the pivaloyl ester (XXIV). The selective desilylation of the Tbdms group of (XXIV) with TBAF gives the primary alcohol (XXV), which is oxidized to the corresponding aldehyde (XXVI) by means of DMP. The Grignard reaction of aldehyde (XXVI) with methylmagnesium bromide yields the secondary alcohol (XXVII).

合成路线图解说明:

The oxidation of the secondary OH group of (XXVII) with DMP gives the methyl ketone (XXVIII), which is condensed with the phosphonate (XXIX) to yield the diene (XXX). Reductive removal of the pivalate group of (XXX) by means of DIBAL affords the primary alcohol (XXXI), which is oxidized with DMP to provide the corresponding aldehyde (XXXII). The aldol condensation between aldehyde (XXXII) and the already reported intermediate, the ketone (X), by means of LDA gives the aldol (XXXIII), which is silylated with Tbdms-OTf and deprotected at the primary dimethoxyltrityl group by means of dichloroacetic acid to give the primary alcohol (XXXIV). The oxidation of (XXXIV) with DMP and NaClO2, followed by elimination of the Sem protecting group with MgBr2 and Bu-SH, yields the hydroxyacid (XXXV), which is submitted to macrocyclization under modified Yamaguchi conditions (2,4,6-trichlorobenzoyl chloride and DMAP) to afford the silylated epothilone derivative (XXXVI). Finally, this compound is desilylated by means of TFA to furnish the target epothilone D.

参考文献No.659697
标题:Total synthesis of epothilones B and D
作者:Taylor, R.E.; Chen, Y.
来源:Org Lett 2001,3(14),2221
合成路线图解说明:

The ketonic intermediate (VI) has been obtained as follows: The condensation of the 3-(tert-butyldimethylsilyloxy)propionaldehyde (I) with the silylated enol ether (II), catalyzed by the chiral boron reagent (III), gives the phenyl hydroxyester (IV), which is protected with Tbdms-Cl to provide the silyl ether (V). Finally, the Grignard reaction of (V) with Et-MgBr affords the target ketonic intermediate (VI).

合成路线图解说明:

The chiral iodovinyl derivative (IX) has been obtained as follows: The chiral alkyne (VII) is treated with trimethylsilyl chloride and NaI to give the iodovinyl compound (VIII), which is finally enantioselectively methylated with NaHMDS and methyl iodide to afford the target iodovinyl compound (IX).

合成路线图解说明:

The allylation of 2-(2-methylthiazol-4-ylmethylene)propionaldehyde (X) with allyl(diisopinocampheyl)borane gives the chiral secondary alcohol (XI), which is protected with Tbdms-Cl, yielding the silyl ether (XII). The oxidation of the terminal double bond of (XII) with OsO4 and NaIO4 affords the chiral aldehyde (XIII), which is condensed with the intermediate iodovinyl compound (IX) by means of Ni/Cr to provide the allyl alcohol derivative (XIV). The reaction of (XIV) with SOCl2 gives the rearranged chloromethyl compound (XV), which is treated with LiEt3BH to cleave the oxazolidine chiral auxiliary and dechlorinate the chloromethyl group, yielding the primary alcohol (XVI). The controlled oxidation of the OH group of (XVI) with PCC affords the aldehyde (XVII), which is submitted to an aldol condensation with the intermediate ketone (VI) by means of LDA to provide the aldol (XVIII). The protection of the OH group of (XVIII) with Tbdms-Cl gives the fully silylated compound (XIX), which is regioselectively monodesilylated with camphorsulfonic acid (CSA) to yield the primary alcohol (XX).

合成路线图解说明:

The oxidation of alcohol (XX) with PCC and NaClO2 gives the carboxylic acid (XXI), which is regioselectively monodesilylated with TBAF, yielding the hydroxyacid (XXII). The macrolactonization of (XXII) under Yamaguchi conditions (2,4,6-trichlorobenzoyl chloride) affords the macrolactone (XXIII), which is desilylated with HF and pyridine to provide the precursor (XXIV). Finally, this compound is epoxidated with MCPBA to afford the target epothilone B.

合成路线图解说明:

The ketonic intermediate (VI) has been obtained as follows: The condensation of the 3-(tert-butyldimethylsilyloxy)propionaldehyde (I) with the silylated enol ether (II), catalyzed by the chiral boron reagent (III), gives the phenyl hydroxyester (IV), which is protected with Tbdms-Cl to provide the silyl ether (V). Finally, the Grignard reaction of (V) with Et-MgBr affords the target ketonic intermediate (VI).

合成路线图解说明:

The chiral iodovinyl derivative (IX) has been obtained as follows: The chiral alkyne (VII) is treated with trimethylsilyl chloride and NaI to give the iodovinyl compound (VIII), which is finally enantioselectively methylated with NaHMDS and methyl iodide to afford the target iodovinyl compound (IX).

合成路线图解说明:

The allylation of 2-(2-methylthiazol-4-ylmethylene)propionaldehyde (X) with allyl(diisopinocampheyl)borane gives the chiral secondary alcohol (XI), which is protected with Tbdms-Cl, yielding the silyl ether (XII). The oxidation of the terminal double bond of (XII) with OsO4 and NaIO4 affords the chiral aldehyde (XIII), which is condensed with the intermediate iodovinyl compound (IX) by means of Ni/Cr to provide the allyl alcohol derivative (XIV). The reaction of (XIV) with SOCl2 gives the rearranged chloromethyl compound (XV), which is treated with LiEt3BH to cleave the oxazolidine chiral auxiliary and dechlorinate the chloromethyl group, yielding the primary alcohol (XVI). The controlled oxidation of the OH group of (XVI) with PCC affords the aldehyde (XVII), which is submitted to an aldol condensation with the intermediate ketone (VI) by means of LDA to provide the aldol (XVIII). The protection of the OH group of (XVIII) with Tbdms-Cl gives the fully silylated compound (XIX), which is regioselectively monodesilylated with camphorsulfonic acid (CSA) to yield the primary alcohol (XX).

合成路线图解说明:

The oxidation of alcohol (XX) with PCC and NaClO2 gives the carboxylic acid (XXI), which is regioselectively monodesilylated with TBAF, yielding the hydroxyacid (XXII). The macrolactonization of (XXII) under Yamaguchi conditions (2,4,6-trichlorobenzoyl chloride) affords the macrolactone (XXIII), which is finally desilylated with HF and pyridine to provide the target epothilone D.

参考文献No.677026
标题:Synthesis of epothilones B and D from D-glucose
作者:Potier, P.; Ermolenko, M.S.
来源:Tetrahedron Lett 2002,43(16),2895
合成路线图解说明:

The intermediate phosphonium bromide (XVII) is obtained as follows: The reaction of the glucoside (I) with Me2CuLi in THF gives the methyl derivative (II), which is converted into the unsaturated pyranoside (III). The reductive deoxygenation of (III) with Pd(OAc)2 and NaBH4 affords the acetate (IV), which is treated with NaOMe in methanol to afford the carbinol (V). The oxidation of (V) with oxalyl chloride in DMSO provides the carbaldehyde (VI), which is treated with Me-Mg-Br in THF to give the secondary alcohol (VII). The oxidation of (VII) with oxalyl chloride in DMSO yields the ketone (VIII), which is condensed with the phosphonate (IX) (obtained by reaction of 4-(chloromethyl)-2-methylthiazole (X) with triethyl phosphite (XI) at 165 C) by means of tBu-OK in THF to afford the vinyl-dihydropyran (XII). The opening of the dihydropyran ring of (XII) by means of HOAc in THF/water, followed by reduction of the intermediate aldehyde, provides the unsaturated diol (XIII). The regioselective bromination of (XIII) with CBr4 and PPh3 in acetonitrile gives the bromo derivative (XIV), which is silylated with Tbdms-OTf to yield the silyl ether derivative (XV). Finally, this compound is condensed with methylenetriphenylphosphorane (XVI) in THF to afford the target intermediate, the phosphonium bromide (XVII).

合成路线图解说明:

The reaction of the glucoside (I) with Me2CuLi in THF gives the methyl derivative (II), which is oxidized with oxalyl chloride in DMSO to yield the tetrahydropyranone (XVIII). The treatment of (XVIII) with TEA in dichloromethane/methanol causes isomerization of the methyl group of (XVIII) to (XIX), which is reduced with NaBH4 in methanol/DMF to afford the secondary alcohol (XX). The cleavage of the benzylidene protecting group of (XX) with H2 over Pd/C in ethyl acetate provides the trihydroxy compound (XXI), which is regioselectively monosilylated at the primary OH group with Tbdms-Cl and pyridine to gives the silyl ether (XXII). The epoxidation of (XXII) by the orthoester method yields the epoxide (XXIII), which is opened with dimethylmagnesium in ethyl ether to afford the methylated secondary alcohol (XXIV). The desilylation of (XXIV) by means of TBAF in THF provides the dihydroxy compound (XXV), which is regioselectively brominated with CBr4 and PPh3 to give the bromomethyl compound (XXVI). The silylation of the remaining OH group of (XXVI) with Tbdms-Cl and imidazole in DMF yields the silyl ether (XXVII), which is treated with Zn in hot isopropanol/water to open the tetrahydropyran ring to afford, with simultaneous dehydrobromination, the unsaturated aldehyde (XXVIII). The reduction of (XXVIII) with NaBH4 provides the corresponding alcohol (XXIX), which is silylated with Tbdms-Cl as before to give the fully silylated diol (XXX). The oxidation of the terminal double bond of (XXX) first with OsO4 and then with H5IO6 yields the aldehyde (XXXI), which is condensed with the Grignard reagent (XXXII) to afford the secondary alcohol (XXXIII). The oxidation of (XXXIII) with TPAP and NMO in acetonitrile provides the ketone (XXXIV), which is oxidized at its terminal double bond with OsO4 and H5IO6 to give the carbaldehyde (XXXV). The condensation of (XXXV) with the lithium derivative of tert-butyl acetate (XXXVI), followed by silylation of the intermediate alcohol, yields the nonanoic ester (XXXVII), which is regioselectively monodesilylated with PPTS in ethanol to afford the primary alcohol (XXXVIII).

合成路线图解说明:

The oxidation of (XXXVIII) with TPAP and NMO in acetonitrile gives the carbaldehyde (XXXIX), which is condensed with the intermediate phosphonium bromide (XVII) by means of LiHMDS in THF to yield the heptadecadienoic ester (XL). The regioselective deprotection of (XL) by means of Tms-OTf in dichloromethane affords the hydroxyacid (XLI), which is submitted to a macrocyclization by means of 2,4,6-trichlorobenzoyl chloride and TEA in THF to provide the protected didehydro precursor (XLII). The desilylation of (XLII) by means of TFA in dichloromethane yields the free didehydro precursor (XLIII), which is hydrogenated by means of 2,4,6-tri-isopropylbenzenesulfonyl hydrazide and TEA in refluxing ethyl ether to afford epothilone D (XLIII). Finally, this compound is epoxidated by means of dimethyldioxirane (DMDO) in dichloromethane.

合成路线图解说明:

The intermediate phosphonium bromide (XVII) is obtained as follows: The reaction of the glucoside (I) with Me2CuLi in THF gives the methyl derivative (II), which is converted into the unsaturated pyranoside (III). The reductive deoxygenation of (III) with Pd(OAc)2 and NaBH4 affords the acetate (IV), which is treated with NaOMe in methanol to afford the carbinol (V). The oxidation of (V) with oxalyl chloride in DMSO provides the carbaldehyde (VI), which is treated with Me-Mg-Br in THF to give the secondary alcohol (VII). The oxidation of (VII) with oxalyl chloride in DMSO yields the ketone (VIII), which is condensed with the phosphonate (IX) (obtained by reaction of 4-(chloromethyl)-2-methylthiazole (X) with triethyl phosphite (XI) at 165 C) by means of tBu-OK in THF to afford the vinyl-dihydropyran (XII). The opening of the dihydropyran ring of (XII) by means of AcOH in THF/water, followed by reduction of the intermediate aldehyde, provides the unsaturated diol (XIII). The regioselective bromination of (XIII) with CBr4 and PPh3 in acetonitrile gives the bromo derivative (XIV), which is silylated with Tbdms-OTf to yield the silyl ether derivative (XV). Finally, this compound is condensed with methylenetriphenylphosphorane (XVI) in THF to afford the target intermediate, the phosphonium bromide (XVII).

合成路线图解说明:

The reaction of the glucoside (I) with Me2CuLi in THF gives the methyl derivative (II), which is oxidized with oxalyl chloride in DMSO to yield the tetrahydropyranone (XVIII). The treatment of (XVIII) with TEA in dichloromethane/methanol causes isomerization of the methyl group of (XVIII) to (XIX), which is reduced with NaBH4 in methanol/DMF to afford the secondary alcohol (XX). The cleavage of the benzylidene protecting group of (XX) with H2 over Pd/C in ethyl acetate provides the trihydroxy compound (XXI), which is regioselectively monosilylated at the primary OH group with Tbdms-Cl and pyridine to give the silyl ether (XXII). The epoxidation of (XXII) by the orthoester method yields the epoxide (XXIII), which is opened with dimethylmagnesium in ethyl ether to afford the methylated secondary alcohol (XXIV). The desilylation of (XXIV) by means of TBAF in THF provides the dihydroxy compound (XXV), which is regioselectively brominated with CBr4 and PPh3 to give the bromomethyl compound (XXVI). The silylation of the remaining OH group of (XXVI) with Tbdms-Cl and imidazole in DMF yields the silyl ether (XXVII), which is treated with Zn in hot isopropanol/water to open the tetrahydropyran ring to afford, with simultaneous dehydrobromination, the unsaturated aldehyde (XXVIII). The reduction of (XXVIII) with NaBH4 provides the corresponding alcohol (XXIX), which is silylated with Tbdms-Cl as before to give the fully silylated diol (XXX). The oxidation of the terminal double bond of (XXX) first with OsO4 and then with H5IO6 yields the aldehyde (XXXI), which is condensed with the Grignard reagent (XXXII) to afford the secondary alcohol (XXXIII). The oxidation of (XXXIII) with TPAP and NMO in acetonitrile provides the ketone (XXXIV), which is oxidized at its terminal double bond with OsO4 and H5IO6 to give the carbaldehyde (XXXV). The condensation of (XXXV) with the lithium derivative of tert-butyl acetate (XXXVI), followed by silylation of the intermediate alcohol, yields the nonanoic ester (XXXVII), which is regioselectively monodesilylated with PPTS in ethanol to afford the primary alcohol (XXXVIII).

合成路线图解说明:

The oxidation of (XXXVIII) with TPAP and NMO in acetonitrile gives the carbaldehyde (XXXIX), which is condensed with the intermediate phosphonium bromide (XVII) by means of LiHMDS in THF to yield the heptadecadienoic ester (XL). The regioselective deprotection of (XL) by means of Tms-OTf in dichloromethane affords the hydroxyacid (XLI), which is submitted to a macrocyclization by means of 2,4,6-trichlorobenzoyl chloride and TEA in THF to provide the protected didehydro precursor (XLII). The desilylation of (XLII) by means of TFA in dichloromethane yields the free didehydro precursor (XLIII), which is finally hydrogenated by means of 2,4,6-tri-isopropylbenzenesulfonyl hydrazide and TEA in refluxing ethyl ether to afford the target epothilone D.

参考文献No.722987
标题:Total synthesis of epothilones B and D amenable to large-scale preparation
作者:Jung, J.-K.; Kache, R.; Vines, K.K.; Zheng, Y.-S.; Avery, M.A.
来源:225th ACS Natl Meet (March 23 2003, New Orleans) 2003,Abst MEDI 121
合成路线图解说明:

The intermediate chiral epoxide (III) has been obtained as follows. The Sharpless epoxidation of 3-buten-2(R)-ol (I) gives the chiral epoxide (II), which is protected with Pmb-Br and NaH to yield the target epoxide intermediate (III).

合成路线图解说明:

The intermediate phosphonate (X) has been obtained as follows. The cyclization of thioacetamide (IV) with ethyl 3-bromopiruvate (V) in ethanol gives 2-methylthiazole-4-carboxylic acid ethyl ester (VI), which is reduced by means of LiAlH4 in ethyl ether to yield the carbinol (VII). The bromination of (VII) with CBr4 and PPh3 in CCl4 affords the 4-bromomethyl-2-methylthiazole (VIII), which is finally condensed with triethyl phosphite (IX) to provide the target phosphonate intermediate (X). Alternatively, the cyclization of thioacetamide (IV) with 1,3-dichloroacetone (XI) gives 4-(chloromethyl)-2-methylthiazole (XII), which is condensed with triethyl phosphite (IX) to also provide the target phosphonate intermediate (X).

合成路线图解说明:

Synthesis of the target epothilone D. The condensation of 4-methyl-4-pentenyl bromide (XIII) with propyne (XIV) and 1-hexynyl lithium (XV) by means of CuBr in DMSO/ethyl ether gives the copper complex (XVI), which is condensed with the chiral epoxide (III) to yield the chiral unsaturated alcohol (XVII). The protection of the free OH group of (XVII) with Sem-Cl and DIEA in dichloromethane affords compound (XVIII). The selective cleavage of the Pmb-protecting group of (XVIII) by means of DDQ, followed by oxidation of the resulting alcohol with oxalyl chloride provides the methyl ketone (XIX), which is condensed with the intermediate phosphonate (X) by means of BuLi in THF to give the adduct (XX). The hydroxylation of the terminal vinylene double bond of (XX) by means of (Ipc)2BH and LiOH yields the primary alcohol (XXI), which is oxidized with (COCl)2, PTAP or DMP to afford the corresponding aldehyde (XXII). The condensation of aldehyde (XXII) with the known carboxylic acid (XXIII) by means of LDA in THF provides the linear adduct (XXIV), which is treated with Troc-Cl to protect the free OH group of (XXIV) yielding carboxylic acid (XXV).

合成路线图解说明:

The selective cleavage of the Sem protecting group of (XXV) by means of MgBr2, MeNO2 and BuSH gives the hydroxyacid (XXVI), which is submitted to macrolactonization by means of 2,4,6-trichlorobenzoyl chloride and TEA in THF to yield the protected macrolactone (XXVII). The treatment of (XXVII) with Zn and NH4Cl cleaves the Troc protecting group of to yield lactone (XXVIII), which is treated with HF and pyridine to afford epothilone D (XXIX). Finally, this compound is epoxidated by means of MCPBA or DMDO to provide the target epothilone B.

合成路线图解说明:

The intermediate chiral epoxide (III) has been obtained as follows. The Sharpless epoxidation of 3-buten-2(R)-ol (I) gives the chiral epoxide (II), which is protected with Pmb-Br and NaH to yield the target epoxide intermediate (III).

合成路线图解说明:

The intermediate phosphonate (X) has been obtained as follows. The cyclization of thioacetamide (IV) with ethyl 3-bromopiruvate (V) in ethanol gives 2-methylthiazole-4-carboxylic acid ethyl ester (VI), which is reduced by means of LiAlH4 in ethyl ether to yield the carbinol (VII). The bromination of (VII) with CBr4 and PPh3 in CCl4 affords the 4-bromomethyl-2-methylthiazole (VIII), which is finally condensed with triethyl phosphite (IX) to provide the target phosphonate intermediate (X). Alternatively, the cyclization of thioacetamide (IV) with 1,3-dichloroacetone (XI) gives 4-(chloromethyl)-2-methylthiazole (XII), which is condensed with triethyl phosphite (IX) to also provide the target phosphonate intermediate (X).

合成路线图解说明:

Synthesis of the target epothilone D. The condensation of 4-methyl-4-pentenyl bromide (XIII) with propyne (XIV) and 1-hexynyl lithium (XV) by means of CuBr in DMSO/ethyl ether gives the copper complex (XVI), which is condensed with the chiral epoxide (III) to yield the chiral unsaturated alcohol (XVII). The protection of the free OH group of (XVII) with Sem-Cl and DIEA in dichloromethane affords compound (XVIII). The selective cleavage of the Pmb protecting group of (XVIII) by means of DDQ, followed by oxidation of the resulting alcohol with oxalyl chloride provides the methyl ketone (XIX), which is condensed with the intermediate phosphonate (X) by means of BuLi in THF to give the adduct (XX). The hydroxylation of the terminal vinylene double bond of (XX) by means of (Ipc)2BH and LiOH yields the primary alcohol (XXI), which is oxidized with (COCl)2, PTAP or DMP to afford the corresponding aldehyde (XXII). The condensation of aldehyde (XXII) with the known carboxylic acid (XXIII) by means of LDA in THF provides the linear adduct (XXIV), which is treated with Troc-Cl to protect the free OH group of (XXIV) yielding carboxylic acid (XXV).

合成路线图解说明:

The selective cleavage of the Sem protecting group of (XXV) by means of MgBr2, MeNO2 and BuSH gives the hydroxyacid (XXVI), which is submitted to macrolactonization by means of 2,4,6-trichlorobenzoyl chloride and TEA in THF to yield the protected macrolactone (XXVII). The treatment of (XXVII) with Zn and NH4Cl cleaves the Troc protecting group of(XXVII) to yield lactone (XVIII), which is finally treated with HF and pyridine to afford the target epothilone D

参考文献No.725621
标题:Total synthesis of epothilone B, epothilone D, and cis- and trans-9,10-dehydroepothilone D
作者:White, J.D.; Carter, R.G.; Sundermann, K.F.; Wartmann, M.
来源:J Am Chem Soc 2001,123(23),5407
合成路线图解说明:

The protection of the allyl alcohol (I) with dihydropyran and PPTS in dichloromethane gives the tetrahydropyranyl ether (II), which is condensed with the chiral oxazolidinone (III) by means of BuLi and CuCN in THF to yield the adduct (IV). The hydroxylation of (IV) with Davis' oxaziridine, NaHMDS and CSA affords the alcohol (V), which is silylated with Tbdms-OTf and lutidine to provide the silyl ether (VII). The hydrolysis of the oxazolidinone group of (VII) with Et-SH and Et-SK in THF gives the thioester (VIII), which is methylated with Me2CuLi in ethyl ether, yielding the methyl ketone (IX). The condensation of (IX) with phosphonate (X) by means of BuLi in THF affords the diene (XI), which is treated with MgBr2 in ethyl ether in order to eliminate the THP protecting group and obtain the primary alcohol (XII). The sulfonation of (XII) with Ms2O and TEA in dichloromethane gives the mesylate (XIII), which is treated with LiBr in acetone to yield the allyl bromide (XIV). Finally, (XIV) is condensed with methyltriphenylphosphonium bromide (XV) by means of BuLi in THF affording the desired intermediate phosphonium salt (XVI).

合成路线图解说明:

The condensation of the known ketone (XVII) with aldehyde (XVIII) by means of LDA in THF gives the hydroxyketone (XIX), which is silylated with Tbdms-OTf and TEA in dichloromethane, yielding the silyl ether (XX). The terminal vinyl group of (XX) is cleaved oxidatively by means of OsO4 and NaIO4 in THF/water, affording the aldehyde (XXI), which is oxidized to acid (XXII) by means of NaClO2 in t-butanol/water. Acid (XXII) is esterified to methyl ester (XXIII), which is selectively deprotected at the Pmb group by hydrogenation with H2 over Pd/C in ethanol to provide the primary alcohol (XXIV). The oxidation of (XXIV) with tetrapropylammonium perruthenate (TPAP) furnishes the aldehyde (XXV), which is submitted to a Wittig condensation with the intermediate phosphonium salt (XVI) by means of LiHMDS in THF to give the adduct (XXVI). The hydrolysis of the ester group of (XXVI) with NaOH in warm isopropanol yields the carboxylic acid (XXVII), which is selectively deprotected by means of TBAF in THF to afford the hydroxyacid (XXVIII).

合成路线图解说明:

The macrolactonization of (XXVIII) by means of 2,4,6-trichlorobenzoyl chloride and TEA in THF provides the protected macrolactone (XXIX), which is deprotected with TFA in dichloromethane to give the trienic macrolactone (XXX). Selective hydrogenation of the disubstituted double bond of (XXX) by means of potassium azodicarboxylate (DKAD) and AcOH in dichloromethane yields the precursor (XXXI), which is finally epoxidized with dimethyldioxirane (XXXII) in dichloromethane to afford the target epothilone B.

合成路线图解说明:

The protection of the allyl alcohol (I) with dihydropyran and PPTS in dichloromethane gives the tetrahydropyranyl ether (II), which is condensed with the chiral oxazolidinone (III) by means of BuLi and CuCN in THF, yielding the adduct (IV). The hydroxylation of (IV) with Davis' oxaziridine, NaHMDS and CSA affords the alcohol (V), which is silylated with Tbdms-OTf and lutidine, providing the silyl ether (VII). The hydrolysis of the oxazolidinone group of (VII) with Et-SH and Et-SK in THF gives the thioester (VIII), which is methylated with Me2CuLi in ethyl ether, yielding the methyl ketone (IX). The condensation of (IX) with phosphonate (X) by means of BuLi in THF affords the diene (XI), which is treated with MgBr2 in ethyl ether in order to eliminate the THP protecting group and obtain the primary alcohol (XII). The sulfonation of (XII) with Ms2O and TEA in dichloromethane gives the mesylate (XIII), which is treated with LiBr in acetone to yield the allyl bromide (XIV). Finally, (XIV) is condensed with methyltriphenylphosphonium bromide (XV) by means of BuLi in THF affording the desired intermediate phosphonium salt (XVI).

合成路线图解说明:

The condensation of the known ketone (XVII) (2) with aldehyde (XVIII) by means of LDA in THF gives the hydroxyketone (XIX), which is silylated with Tbdms-OTf and TEA in dichloromethane, yielding the silyl ether (XX). The terminal vinyl group of (XX) is cleaved oxidatively by means of OsO4 and NaIO4 in THF/water, affording the aldehyde (XXI), which is oxidized to acid (XXII) by means of NaClO2 in t-butanol/water. Acid (XXII) is esterified to methyl ester (XXIII), which is selectively deprotected at the Pmb group by hydrogenation with H2 over Pd/C in ethanol to provide the primary alcohol (XXIV). The oxidation of (XXIV) with tetrapropylammonium perruthenate (TPAP) furnishes the aldehyde (XXV), which is submitted to a Wittig condensation with the intermediate phosphonium salt (XVI) by means of LiHMDS in THF to give the adduct (XXVI). The hydrolysis of the ester group of (XXVI) with NaOH in warm isopropanol yields the carboxylic acid (XXVII), which is selectively deprotected by means of TBAF in THF to afford the hydroxyacid (XXVIII).

合成路线图解说明:

The macrolactonization of (XXVIII) by means of 2,4,6-trichlorobenzoyl chloride and TEA in THF provides the protected macrolactone (XXIX), which is deprotected with TFA in dichloromethane to give the trienic macrolactone (XXX). Finally, the selective hydrogenation of the disubstituted double bond of (XXX) by means of potassium azodicarboxylate (DKAD) and HOAc in dichloromethane yields the target epothilone D.

Drug Information Express,Drug R&D,Chemical Database,Patent Search.
Copyright © 2006-2026 Drug Future. All rights reserved.Contact Us