【药物名称】Orazipone, OR-1384
化学结构式(Chemical Structure):
参考文献No.15595
标题:Substd. beta-diketones and their use
作者:Backstrom, R.J.; Honkanen, E.J.; Pystynen, J.J.; Luiro, A.M.; Aho, P.A.; Linden, I.-B.Y.; Nissinen, E.A.O.; Pohto, P. (Orion Corporation)
来源:EP 0440324; JP 1992253933; US 5185370
合成路线图解说明:

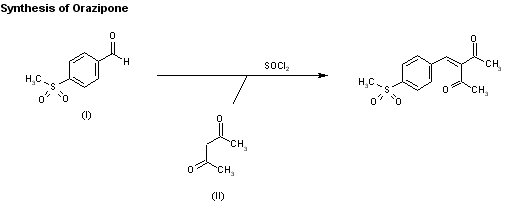
By condensation of 4-(methylsulfonyl)benzaldehyde (I) with pentane-2,4-dione (II) by means of SOCl2 in isopropanol.

参考文献No.441671
标题:Orazipone
作者:Graul, A.; Wrobleski, T.; Casta馿r, J.
来源:Drugs Fut 1998,23(1),28
合成路线图解说明:

By condensation of 4-(methylsulfonyl)benzaldehyde (I) with pentane-2,4-dione (II) by means of SOCl2 in isopropanol.

Drug Information Express,Drug R&D,Chemical Database,Patent Search.
Copyright © 2006-2026 Drug Future. All rights reserved.Contact Us