【药物名称】1400W, 1400W94
化学结构式(Chemical Structure):
参考文献No.30329
标题:Acetamidine derivs. and their use as inhibitors for the nitric oxide synthase
作者:Oplinger, J.A.; Garvey, E.P.; Furfine, E.S.; Shearer, B.G.; Collins, J.L. (Glaxo Wellcome plc)
来源:EP 0799191; JP 1999500711; US 5866612; WO 9619440
合成路线图解说明:

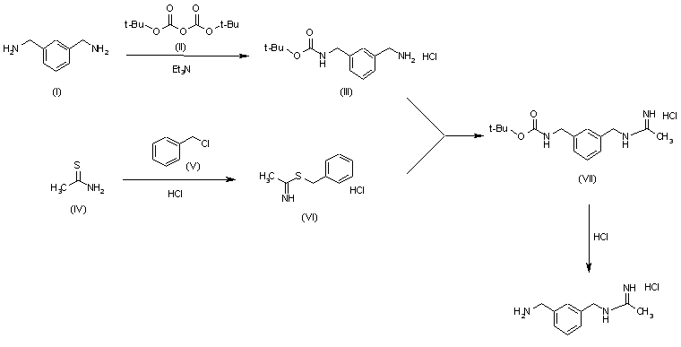
The reaction of m-xylenediamine (I) with triethylamine and di-tert-butyldicarbonate (II) gives the corresponding tert-butyl N-[3-(aminomethyl)benzyl] carbamate hydrochloride (III), which is converted into the tert-butyl N-[3-((acetimidoyl)aminomethyl]benzyl) carbamate hydrochloride (VII) by reaction with S-benzylthioacetimidate hydrochloride (VI). This intermediate (VI) could be obtained by reaction of thioacetamide (IV) with benzyl chloride (V). Finally, compound (VII) is deprotected with HCl to afford the corresponding N-[3-(aminomethyl)benzyl] acetamidine hydrochloride.

参考文献No.528579
标题:An efficient synthesis of unsymmetrical sulfides using liquid-liquid phase transfer catalysis
作者:Itabashi, K.; Takido, T.
来源:Synthesis 1987,817
合成路线图解说明:

The reaction of m-xylenediamine (I) with triethylamine and di-tert-butyldicarbonate (II) gives the corresponding tert-butyl N-[3-(aminomethyl)benzyl] carbamate hydrochloride (III), which is converted into the tert-butyl N-[3-((acetimidoyl)aminomethyl]benzyl) carbamate hydrochloride (VII) by reaction with S-benzylthioacetimidate hydrochloride (VI). This intermediate (VI) could be obtained by reaction of thioacetamide (IV) with benzyl chloride (V). Finally, compound (VII) is deprotected with HCl to afford the corresponding N-[3-(aminomethyl)benzyl] acetamidine hydrochloride.

Drug Information Express,Drug R&D,Chemical Database,Patent Search.
Copyright © 2006-2026 Drug Future. All rights reserved.Contact Us