【药物名称】PE2I
化学结构式(Chemical Structure):
参考文献No.35058
标题:Tropane derivs. useable in particular for in vivo detection of dopamine transporters
作者:Mauclaire, L.; Edmond, P.; Guilloteau, D.; Besnard, J.-C.; Frangin, Y. (CIS Bio International)
来源:EP 0901491; JP 2000510141; US 6180083; WO 9743285
合成路线图解说明:

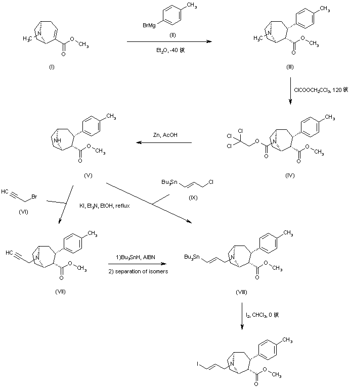
Conjugate addition of tolylmagnesium bromide (II) to ecgonidine methyl ester (I) provided the 3-beta-tolyl tropane derivative (III). N-Dealkylation of (III) to produce the nortropane analogue (V) was carried out via acylation with trichloroethyl chloroformate, followed by reductive cleavage of the resultant trichloroethyl carbamate (IV) with Zn and HOAc. Alkylation of the secondary amine (V) with propargyl bromide (VI) afforded the corresponding propargyl amine (VII). Subsequent hydrostannylation of the propargyl group furnished the desired (E)-stannylpropenyl compound (VIII) along with the corresponding (Z)-isomer. In an improved procedure, amine (V) was alkylated with (E)-3-chloro-1-(tributylstannyl)-1-propene (IX) to yield pure (VIII). Finally, the title vinyl iodide was obtained by iododestannylation of (VIII) employing iodine in cold CHCl3.

参考文献No.629126
标题:Synthesis and ligand bindin of nortropane derivatives: N-substituted 2beta-carbomethoxy-3beta-(4'-iodophenyl)nortropane and N-(3-iodotrop-(2E)-enyl)-2beta-carbomethoxy-3beta-(3',4'-disubstituted phenyl)nortropane. New high-affinity and selective compounds
作者:Emond, P.; Garreau, L.; Chalon, S.; Boazi, M.; Caillet, M.; Bricard, J.; Frangin, Y.; Mauclaire, L.; Besnard, J.C.; Guilloteau, D.
来源:J Med Chem 1997,40(9),1366
合成路线图解说明:

Conjugate addition of tolylmagnesium bromide (II) to ecgonidine methyl ester (I) provided the 3-beta-tolyl tropane derivative (III). N-Dealkylation of (III) to produce the nortropane analogue (V) was carried out via acylation with trichloroethyl chloroformate, followed by reductive cleavage of the resultant trichloroethyl carbamate (IV) with Zn and HOAc. Alkylation of the secondary amine (V) with propargyl bromide (VI) afforded the corresponding propargyl amine (VII). Subsequent hydrostannylation of the propargyl group furnished the desired (E)-stannylpropenyl compound (VIII) along with the corresponding (Z)-isomer. In an improved procedure, amine (V) was alkylated with (E)-3-chloro-1-(tributylstannyl)-1-propene (IX) to yield pure (VIII). Finally, the title vinyl iodide was obtained by iododestannylation of (VIII) employing iodine in cold CHCl3.

参考文献No.707621
标题:New preparation of [123I]PE2I: Investigation of the oxidation and purification steps
作者:Berthommier, E.; et al.
来源:J. Label. Comp. and Radiopharm. 2002,45(12),1019
合成路线图解说明:

The reaction of the tributystannyl derivative (I) with 123INa and H2O2 in ethanol yields the target radiolabelled compound.

Drug Information Express,Drug R&D,Chemical Database,Patent Search.
Copyright © 2006-2026 Drug Future. All rights reserved.Contact Us