【药物名称】Targinine hydrochloride, L-NMMA.HCl, L-NMA.HCl, 546C88
化学结构式(Chemical Structure):
参考文献No.22948
标题:NG-Monomethyl-L-arginine hydrochloride derivs. and their use in the treatment of septic shock
作者:Hodson, H.F. (Glaxo Wellcome plc)
来源:EP 0651741; JP 1995509239; US 5767312; WO 9402453
合成路线图解说明:

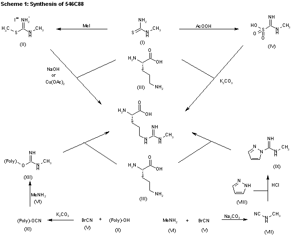
546C88 has been obtained by several related ways: 1) The reaction of N-methylthiourea (I) with methyl iodide gives N,S-dimethylisothiouronium iodide (II), which is then condensed with L-ornithine (III) by means of NaOH or copper acetate. 2) The oxidation of N-methylthiourea (I) with peracetic acid in acetic acid gives N-methylamidinosulfonic acid (IV), which is then condensed with L-ornithine (III) by means of K2CO3 in water. 3) The reaction of cyanogen bromide (V) with methylamine (VI) by means of Na2CO3 in THF gives N-methylcyanamide (VII), which is condensed with pyrazole (VIII) by means of HCl in refluxing dioxane to yield N1-methylpyrazole-1-carboxamidine (IX). Finally, this compound is condensed with L-ornithine (III) by means of LiOH in water. 4) The reaction of cellulose (X) with cyanogen bromide (V) by means of K2CO3 in water/DMF gives the corresponding polymeric cyanate ester (XI), which is condensed with methylamine (VI) to yield the polymeric N-methylamidino compound (XII). Finally, this compound is condensed with L-ornithine (III) by means of CuCO3 in water.

参考文献No.33605
标题:Process for preparing NG-monoalkyl-L-arginine and related cpds
作者:Patel, R.; Mahal, A.S.; Burford, D.L.W. (Glaxo Wellcome plc)
来源:WO 9426701
合成路线图解说明:

546C88 has been obtained by several related ways: 1) The reaction of N-methylthiourea (I) with methyl iodide gives N,S-dimethylisothiouronium iodide (II), which is then condensed with L-ornithine (III) by means of NaOH or copper acetate. 2) The oxidation of N-methylthiourea (I) with peracetic acid in acetic acid gives N-methylamidinosulfonic acid (IV), which is then condensed with L-ornithine (III) by means of K2CO3 in water. 3) The reaction of cyanogen bromide (V) with methylamine (VI) by means of Na2CO3 in THF gives N-methylcyanamide (VII), which is condensed with pyrazole (VIII) by means of HCl in refluxing dioxane to yield N1-methylpyrazole-1-carboxamidine (IX). Finally, this compound is condensed with L-ornithine (III) by means of LiOH in water. 4) The reaction of cellulose (X) with cyanogen bromide (V) by means of K2CO3 in water/DMF gives the corresponding polymeric cyanate ester (XI), which is condensed with methylamine (VI) to yield the polymeric N-methylamidino compound (XII). Finally, this compound is condensed with L-ornithine (III) by means of CuCO3 in water.

参考文献No.35602
标题:Process for the preparation of NG-monomethyl-L-arginine hydrochloride
作者:Gillies, I. (Glaxo Wellcome plc)
来源:WO 9730972
合成路线图解说明:

546C88 has been obtained by several related ways: 1) The reaction of N-methylthiourea (I) with methyl iodide gives N,S-dimethylisothiouronium iodide (II), which is then condensed with L-ornithine (III) by means of NaOH or copper acetate. 2) The oxidation of N-methylthiourea (I) with peracetic acid in acetic acid gives N-methylamidinosulfonic acid (IV), which is then condensed with L-ornithine (III) by means of K2CO3 in water. 3) The reaction of cyanogen bromide (V) with methylamine (VI) by means of Na2CO3 in THF gives N-methylcyanamide (VII), which is condensed with pyrazole (VIII) by means of HCl in refluxing dioxane to yield N1-methylpyrazole-1-carboxamidine (IX). Finally, this compound is condensed with L-ornithine (III) by means of LiOH in water. 4) The reaction of cellulose (X) with cyanogen bromide (V) by means of K2CO3 in water/DMF gives the corresponding polymeric cyanate ester (XI), which is condensed with methylamine (VI) to yield the polymeric N-methylamidino compound (XII). Finally, this compound is condensed with L-ornithine (III) by means of CuCO3 in water.

参考文献No.415329
标题:A highly efficient preparation of NG-methyl-L-arginine and NG-methyl-D-arginine
作者:Dowd, P.; Zhang, W.; Hershline, R.
来源:Synth Commun 1994,24(19),2789-92
合成路线图解说明:

546C88 has been obtained by several related ways: 1) The reaction of N-methylthiourea (I) with methyl iodide gives N,S-dimethylisothiouronium iodide (II), which is then condensed with L-ornithine (III) by means of NaOH or copper acetate. 2) The oxidation of N-methylthiourea (I) with peracetic acid in acetic acid gives N-methylamidinosulfonic acid (IV), which is then condensed with L-ornithine (III) by means of K2CO3 in water. 3) The reaction of cyanogen bromide (V) with methylamine (VI) by means of Na2CO3 in THF gives N-methylcyanamide (VII), which is condensed with pyrazole (VIII) by means of HCl in refluxing dioxane to yield N1-methylpyrazole-1-carboxamidine (IX). Finally, this compound is condensed with L-ornithine (III) by means of LiOH in water. 4) The reaction of cellulose (X) with cyanogen bromide (V) by means of K2CO3 in water/DMF gives the corresponding polymeric cyanate ester (XI), which is condensed with methylamine (VI) to yield the polymeric N-methylamidino compound (XII). Finally, this compound is condensed with L-ornithine (III) by means of CuCO3 in water.

参考文献No.445975
标题:546C88
作者:Wroblewski, T.; Casta馿r, J.; Prous, J.R.
来源:Drugs Fut 1998,23(2),123
合成路线图解说明:

546C88 has been obtained by several related ways: 1) The reaction of N-methylthiourea (I) with methyl iodide gives N,S-dimethylisothiouronium iodide (II), which is then condensed with L-ornithine (III) by means of NaOH or copper acetate. 2) The oxidation of N-methylthiourea (I) with peracetic acid in acetic acid gives N-methylamidinosulfonic acid (IV), which is then condensed with L-ornithine (III) by means of K2CO3 in water. 3) The reaction of cyanogen bromide (V) with methylamine (VI) by means of Na2CO3 in THF gives N-methylcyanamide (VII), which is condensed with pyrazole (VIII) by means of HCl in refluxing dioxane to yield N1-methylpyrazole-1-carboxamidine (IX). Finally, this compound is condensed with L-ornithine (III) by means of LiOH in water. 4) The reaction of cellulose (X) with cyanogen bromide (V) by means of K2CO3 in water/DMF gives the corresponding polymeric cyanate ester (XI), which is condensed with methylamine (VI) to yield the polymeric N-methylamidino compound (XII). Finally, this compound is condensed with L-ornithine (III) by means of CuCO3 in water.

合成路线图解说明:

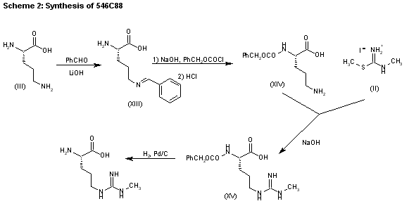
5) The reaction of L-ornithine (III) with benzaldehyde by means of LiOH gives Ndelta-benzylidene-L-ornitine (XIII), which is treated first with benzyl chloroformate and NaOH and hydrolyzed with HCl to afford Nalpha-(benzyloxycarbonyl)-L-ornithine (XIV). The condensation of (XIV) with N,S-dimethylisothiouronium iodide (II) by means of NaOH gives Nalpha-(benzyloxycarbonyl)-Nomega-methyl-L-arginine (XV), which is finally deprotected by hydrogenation with H2 over Pd/C.

参考文献No.450868
标题:Synthesis of guanidino-N-alkylarginines by the use of polymeric pseudoureas
作者:Pundak, S.; Wilchek, M.
来源:J Org Chem 1981,46808-9
合成路线图解说明:

546C88 has been obtained by several related ways: 1) The reaction of N-methylthiourea (I) with methyl iodide gives N,S-dimethylisothiouronium iodide (II), which is then condensed with L-ornithine (III) by means of NaOH or copper acetate. 2) The oxidation of N-methylthiourea (I) with peracetic acid in acetic acid gives N-methylamidinosulfonic acid (IV), which is then condensed with L-ornithine (III) by means of K2CO3 in water. 3) The reaction of cyanogen bromide (V) with methylamine (VI) by means of Na2CO3 in THF gives N-methylcyanamide (VII), which is condensed with pyrazole (VIII) by means of HCl in refluxing dioxane to yield N1-methylpyrazole-1-carboxamidine (IX). Finally, this compound is condensed with L-ornithine (III) by means of LiOH in water. 4) The reaction of cellulose (X) with cyanogen bromide (V) by means of K2CO3 in water/DMF gives the corresponding polymeric cyanate ester (XI), which is condensed with methylamine (VI) to yield the polymeric N-methylamidino compound (XII). Finally, this compound is condensed with L-ornithine (III) by means of CuCO3 in water.

参考文献No.450870
标题:A convenient preparation of NG-methylarginine
作者:Corbin, J.L.; Reporter, M.
来源:Anal Biochem 1974,57(1),310-2
合成路线图解说明:

546C88 has been obtained by several related ways: 1) The reaction of N-methylthiourea (I) with methyl iodide gives N,S-dimethylisothiouronium iodide (II), which is then condensed with L-ornithine (III) by means of NaOH or copper acetate. 2) The oxidation of N-methylthiourea (I) with peracetic acid in acetic acid gives N-methylamidinosulfonic acid (IV), which is then condensed with L-ornithine (III) by means of K2CO3 in water. 3) The reaction of cyanogen bromide (V) with methylamine (VI) by means of Na2CO3 in THF gives N-methylcyanamide (VII), which is condensed with pyrazole (VIII) by means of HCl in refluxing dioxane to yield N1-methylpyrazole-1-carboxamidine (IX). Finally, this compound is condensed with L-ornithine (III) by means of LiOH in water. 4) The reaction of cellulose (X) with cyanogen bromide (V) by means of K2CO3 in water/DMF gives the corresponding polymeric cyanate ester (XI), which is condensed with methylamine (VI) to yield the polymeric N-methylamidino compound (XII). Finally, this compound is condensed with L-ornithine (III) by means of CuCO3 in water.

参考文献No.450871
标题:Preparation and characterization of NG-mono-, di- and trimethylated arginines
作者:Patthy, L.; Bajusz, S.; Patthy, A.
来源:Acta Biochim Biophys Acad Sci Hung 1977,12(3),191-6
合成路线图解说明:

546C88 has been obtained by several related ways: 1) The reaction of N-methylthiourea (I) with methyl iodide gives N,S-dimethylisothiouronium iodide (II), which is then condensed with L-ornithine (III) by means of NaOH or copper acetate. 2) The oxidation of N-methylthiourea (I) with peracetic acid in acetic acid gives N-methylamidinosulfonic acid (IV), which is then condensed with L-ornithine (III) by means of K2CO3 in water. 3) The reaction of cyanogen bromide (V) with methylamine (VI) by means of Na2CO3 in THF gives N-methylcyanamide (VII), which is condensed with pyrazole (VIII) by means of HCl in refluxing dioxane to yield N1-methylpyrazole-1-carboxamidine (IX). Finally, this compound is condensed with L-ornithine (III) by means of LiOH in water. 4) The reaction of cellulose (X) with cyanogen bromide (V) by means of K2CO3 in water/DMF gives the corresponding polymeric cyanate ester (XI), which is condensed with methylamine (VI) to yield the polymeric N-methylamidino compound (XII). Finally, this compound is condensed with L-ornithine (III) by means of CuCO3 in water.

参考文献No.802674
标题:Multigram synthesis of NG-methyl-(L-)-arginine and its analytical characterization
作者:Sala, A.; Ferrario, F.; Trupiano, F.; Levi, S.
来源:Synth Commun 1991,2199-105
合成路线图解说明:

5) The reaction of L-ornithine (III) with benzaldehyde by means of LiOH gives Ndelta-benzylidene-L-ornitine (XIII), which is treated first with benzyl chloroformate and NaOH and hydrolyzed with HCl to afford Nalpha-(benzyloxycarbonyl)-L-ornithine (XIV). The condensation of (XIV) with N,S-dimethylisothiouronium iodide (II) by means of NaOH gives Nalpha-(benzyloxycarbonyl)-Nomega-methyl-L-arginine (XV), which is finally deprotected by hydrogenation with H2 over Pd/C.

Drug Information Express,Drug R&D,Chemical Database,Patent Search.
Copyright © 2006-2026 Drug Future. All rights reserved.Contact Us