【药物名称】MEN-11149
化学结构式(Chemical Structure):
参考文献No.27490
标题:Tachykinin antagonists
作者:Sisto, A.; Fincham, C.; Potier, E.; Manzini, S.; Arcamone, F.; Lombardi, P. (Malesci Ist. Farmacobiol. SpA; Menarini Industrie Farma Riunite srl)
来源:EP 0731790; JP 1997506348; US 5760248; WO 9515311
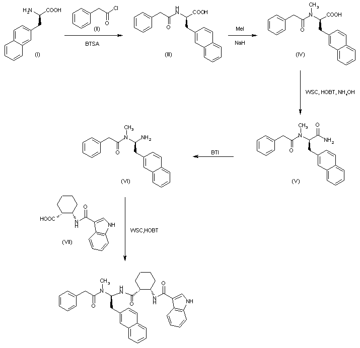
合成路线图解说明:

The acylation of 3-(2-naphthyl)-D-alanine (I) with phenylacetyl chloride (II) and bis(trimethylsilyl)acetamide in THF gives the expected N-phenylacetyl derivative (III), which is methylated with NaH and methyl iodide in THF yielding the N-methyl derivative (IV). The reaction of (IV) with 1-ethyl-3-[3-(dimethylamino)propyl]carbodiimide (WSC), HOBT and ammonium hydroxide affords the corresponding alaninamide (V), which by reaction with bis(trifluoroacetoxy)iodobenzene (BTI) in acetonitrile is converted into the monoacylated gemdiamine (VI). The condensation of (VI) with cis-2-(1H-indol-3-ylcarboxamido)cyclohexanecarboxylic acid (VII) by means of WSC and HOBT in DMF affords the target compound as a diastereomeric mixture that is separated by preparative RP-HPLC.

Drug Information Express,Drug R&D,Chemical Database,Patent Search.
Copyright © 2006-2026 Drug Future. All rights reserved.Contact Us