【药物名称】RS-100975, Ro-70-0004
化学结构式(Chemical Structure):
参考文献No.31773
标题:Pyrimidinedione, pyrimidinetrione, triazinedione, tetrahydroquinazolinedione derivs. as alpha1-adrenergic receptor antagonists
作者:Bantle, G.W.; Elworthy, T.R.; Guzman, A.; Jaime-Figueroa, S.; Lopez-Tapia, F.J.; Morgans, D.J. Jr.; Perez-Medrano, A.; Pfister, J.R.; Sjogren, E.B.; Talamas, F.X. (F. Hoffmann-La Roche AG)
来源:EP 0748800; JP 1997100269
合成路线图解说明:

The condensation of 2-nitrophenol (I) with 2,2,2-trrifluoroethyl p-toluenesulfonate (II) by means of K2CO3 in DMF gives 2-(2,2,2-trifluoroethoxy) nitrobenzene (III), which isreduced with H2 over PtO2 in ethanol yiedling the aniline (IV). The cyclization of (IV) with bis (2-chloroethyl)amine (V) and K2CO3 affords the piperazine (VI), which is condensed with 1-benzyl-3-(3-chloro-propyl)-5-methylpyrimidine-2,4(1H,3H)-dione (VII) by means of K2CO3 in refluxing acetonitrile to give the benzylated target compound (VIII). Finally, this compound is deprotected by hydrogenation with ammonium formate and Pd/C. The intermediate pyrimidine (VII) has been obtained by benzylation of thymine (IX) with benzyl bromide and K2CO3 to give the 1-benzylthymine (X), which is alkylated with 1-bromo-3-chloropropane and K2CO3 to the target intemediate (VII).

合成路线图解说明:

The intermediate arylpiperazine (VI) was prepared as follows: Reaction of 2,4-difluoronitrobenzene (I) with trifluoroethanol (II) in the presence of potassium tert-butoxide yielded the trifluoroethyl ether (III). After catalytic hydrogenation of the nitro group of (III), the resultant aniline (IV) was cyclized with bis(2-chloroethyl) amine hydrochloride (V) in a refluxing mixture of o-dichlorobenzene and n-hexanol to afford the target piperazine (VI).

合成路线图解说明:

5-Methyluracil (VII) was protected with SEM-Cl (VIII) to yield the 1-SEM derivative (IX), which was subsequently alkylated with 1-bromo-3-chloropropane (X) under phase-transfer conditions to provide chloride (XI). Alkylation of piperazine (VI) with chloride (XI) in the presence of NaI and K2CO3 furnished adduct (XII). The title compound was then obtained by deprotection of (XII) upon treatment with tetrabutylammonium fluoride in THF.

参考文献No.40843
标题:Process for manufacturing alpha1L-adrenoceptor antagonists
作者:Chapman, R.C.; Perkins, J. (F. Hoffmann-La Roche AG)
来源:EP 0949250
合成路线图解说明:

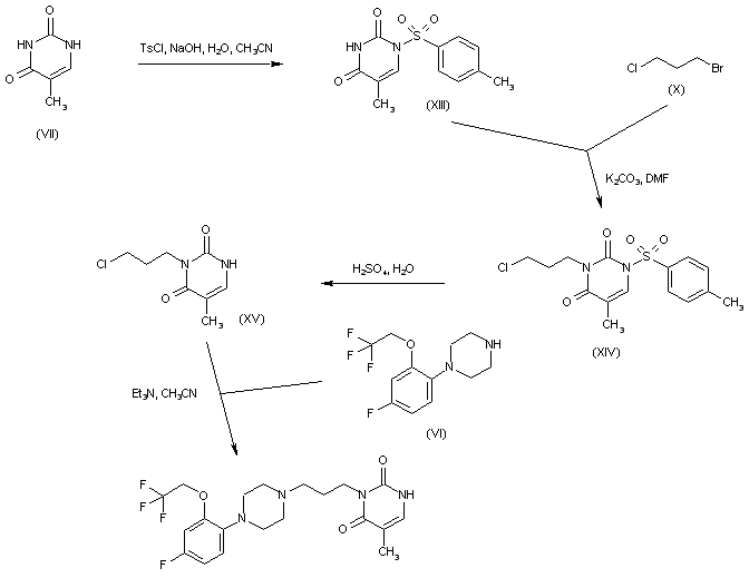
In a different protection strategy, sulfonylation of 5-methyluracil (VII) by means of p-toluenesulfonyl chloride under Schotten-Baumann conditions furnished the 1-tosyl derivative (XIII). This was condensed with 1-bromo-3-chloropropane (X), yielding chloride (XIV). Removal of the tosyl protecting group of (XIV) by hydrolysis with H2SO4 afforded 3-(3-chloropropyl)-5-methyluracil (XV). Finally, alkylation of piperazine (VI) with chloride (XV) led to the title compound.

Drug Information Express,Drug R&D,Chemical Database,Patent Search.
Copyright © 2006-2026 Drug Future. All rights reserved.Contact Us