【药物名称】Paclitaxel ceribate, Protaxel, BP-179
化学结构式(Chemical Structure):
参考文献No.33606
标题:Novel taxoids
作者:Sovak, M.; Douglass, J.G.; Bressi, J.C.; Seligson, A. (Biophysica Foundation)
来源:JP 1998509461; US 5801191; WO 9638138
合成路线图解说明:

Acylation of paclitaxel (I) with 2,3-O-isopropylideneglyceryl chloroformate (II) produced the 2',7-bis-carbonate (III). Subsequent acid hydrolysis of the acetonide groups of (III) furnished the corresponding bis-(dihydroxypropyl)carbonate (IV). The 2'-ester of (IV) was then selectively hydrolyzed using a phosphate buffer at pH 6.5.

参考文献No.619905
标题:A new prodrug of paclitaxel: Synthesis of Protaxel
作者:Seligson, A.L.; Terry, R.C.; Bressi, J.C.; Douglass, J.G. III; Sovak, M.
来源:Anti-Cancer Drugs 2001,12(4),305
合成路线图解说明:

Acylation of paclitaxel (I) with 2,3-O-isopropylideneglyceryl chloroformate (II) produced the 2',7-bis-carbonate (III). Subsequent acid hydrolysis of the acetonide groups of (III) furnished the corresponding bis-(dihydroxypropyl)carbonate (IV). The 2'-ester of (IV) was then selectively hydrolyzed using a phosphate buffer at pH 6.5.

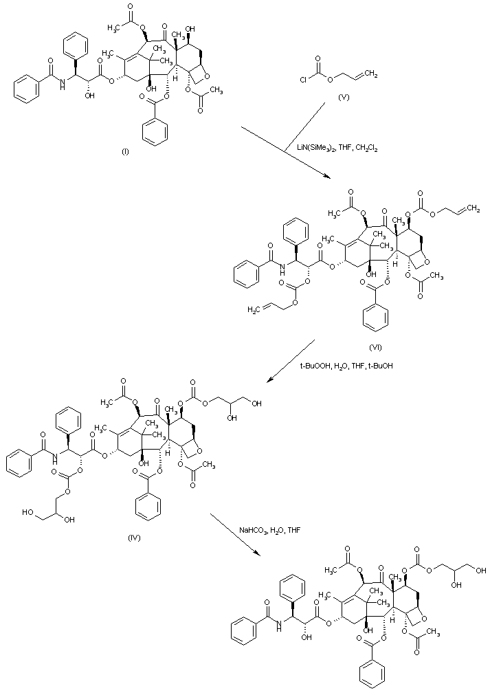
合成路线图解说明:

In an alternative method, paclitaxel (I) was acylated with allyl chloroformate (V) to afford the bis-carbonate (VI). Dihydroxylation of both allyl groups of (VI) was accomplished by treatment with tert-butyl hydroperoxide producing (IV). The 2'-ester of (IV) was finally removed upon stirring in a NaHCO3-neutralized solution at room temperature.

Drug Information Express,Drug R&D,Chemical Database,Patent Search.
Copyright © 2006-2026 Drug Future. All rights reserved.Contact Us