【药物名称】LY-335738
化学结构式(Chemical Structure):
参考文献No.482612
标题:The synthesis and biological activity of a series of 2,4-diaminopyrido[2,3-d]pyrimidine based antifolates as antineoplastic and antiarthritic agents
作者:Gossett, L.S.; Habeck, L.L.; Shackelford, K.A.; Mendelsohn, L.G.; Gates, S.B.; Worzalla, J.F.; Self, T.D.; Theobald, K.S.; Andis, S.L.; Schultz, R.M.; Shih, C.
来源:Bioorg Med Chem Lett 1999,9(1),75
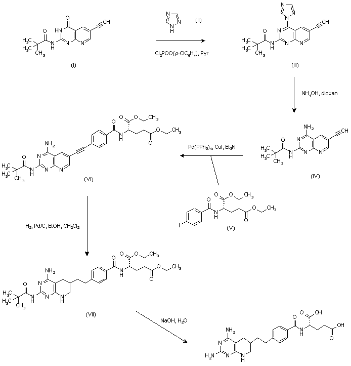
合成路线图解说明:

Pyridopyrimidinone (I) was condensed with triazole (II) in the presence of 4-chlorophenyl dichlorophosphate and pyridine to afford (III). Further reaction of (III) with ammonia in dioxan gave amino compound (IV), which was submitted to a Heck reaction with 4-iodobenzoyl-L-glutamic acid diethyl ester (V) in the presence of palladium catalyst and CuI to provide the disubstituted acetylene (VI). Hydrogenation of both acetylene group and pyridine ring of (VI) over Pd/C gave intermediate (VII). The amide and ester groups of (VII) were finally hydrolyzed with 1 N NaOH to furnish the title compound.

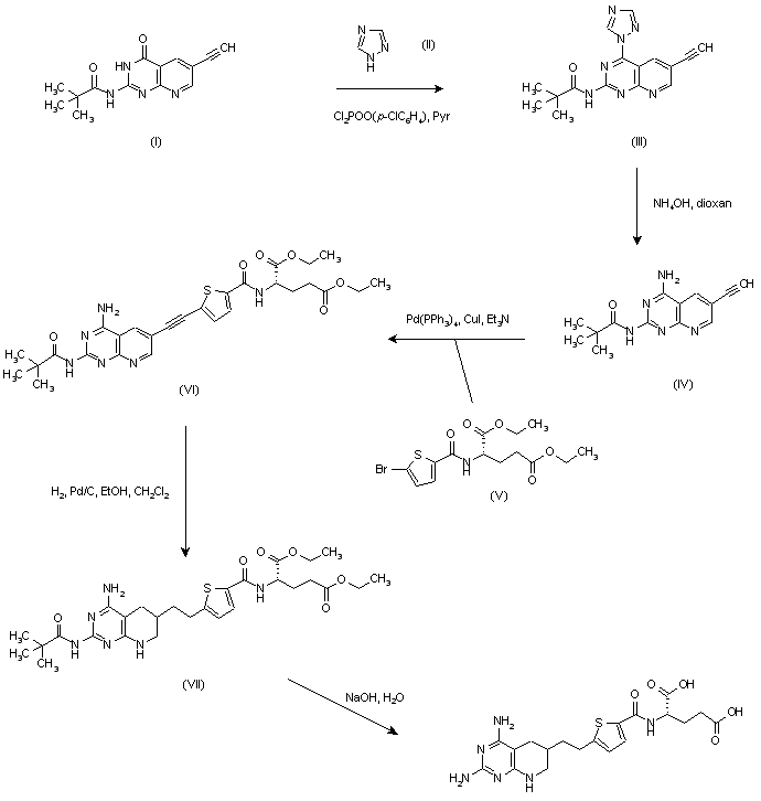
合成路线图解说明:

Pyridopyrimidinone (I) was condensed with triazole (II) in the presence of 4-chlorophenyl dichlorophosphate and pyridine to afford (III). Further reaction of (III) with ammonia in dioxan gave amino compound (IV), which was submitted to a Heck reaction with N-(2-bromothien-5-yl)-L-glutamic acid diethyl ester (V) in the presence of palladium catalyst and CuI to provide the disubstituted acetylene (VI). Hydrogenation of both acetylene group and pyridine ring of (VI) over Pd/C gave intermediate (VII). The amide and ester groups of (VII) were finally hydrolyzed with 1 N NaOH to furnish the title compound.

合成路线图解说明:

Pyridopyrimidinone (I) was condensed with triazole (II) in the presence of 4-chlorophenyl dichlorophosphate and pyridine to afford (III). Further reaction of (III) with ammonia in dioxan gave amino compound (IV), which was submitted to a Heck reaction with N-(2-bromofuran-5-yl)-L-glutamic acid diethyl ester (V) in the presence of palladium catalyst and CuI to provide the disubstituted acetylene (VI). Hydrogenation of both acetylene group and pyridine ring of (VI) over Pd/C gave intermediate (VII). The amide and ester groups of (VII) were finally hydrolyzed with 1 N NaOH to furnish the title compound.

Drug Information Express,Drug R&D,Chemical Database,Patent Search.
Copyright © 2006-2026 Drug Future. All rights reserved.Contact Us