【药物名称】WAY-141839, GMA-839, Co-2-6749
化学结构式(Chemical Structure):
参考文献No.45643
标题:Methods and compsns. for inducing sleep
作者:Lan, N.T.-Y.; Gee, K.W. (CoCensys, Inc.)
来源:CA 2163748; WO 9427608
合成路线图解说明:

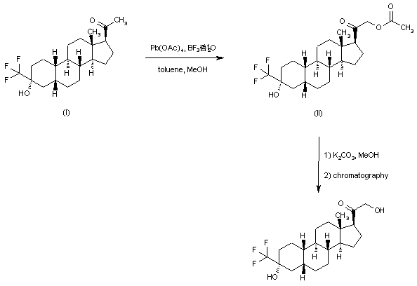
Oxidation of the known 3-alpha-hydroxy-3-beta-trifluoromethyl-5-beta-19-norpregnan-20-one (I) with lead tetraacetate gave the 21-acetoxy derivative (II). Subsequent hydrolysis of the acetate ester group of (II) using K2CO3 in MeOH furnished the desired alcohol along with some 21-methoxy byproduct, which were chromatographically separated.

Drug Information Express,Drug R&D,Chemical Database,Patent Search.
Copyright © 2006-2026 Drug Future. All rights reserved.Contact Us