【药物名称】Erlotinib hydrochloride, Ro-50-8231, R-1415, NSC-718781, OSI-774, CP-358774, Tarceva
化学结构式(Chemical Structure):
参考文献No.31194
标题:Quinazoline derivs.
作者:Schnur, R.C.; Arnold, L.D. (Pfizer Inc.)
来源:EP 0817775; EP 1110953; JP 1998506633; WO 9630347
合成路线图解说明:

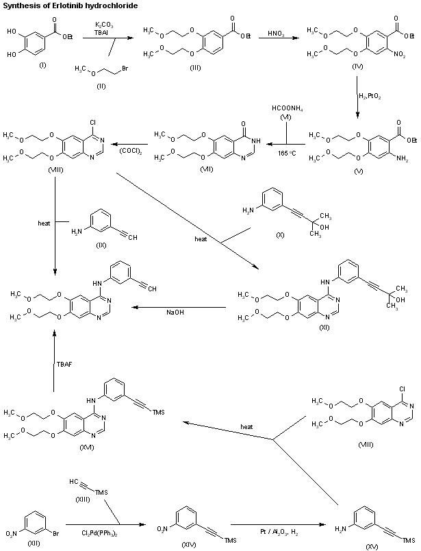
Erlotinib can be obtained by three related ways: 1) Alkylation of 3,4-dihydroxybenzoic acid ethyl ester (I) with 2-bromoethyl methyl ether (II) by means of K2CO3 and tetrabutylammonium iodide (TBAI) in refluxing acetone gives 3,4-bis(2-methoxyethoxy)benzoic acid ethyl ester (III), which is nitrated with HNO3 in acetic acid to yield 4,5-bis(2-methoxyethoxy)-2-nitrobenzoic acid ethyl ester (IV). Reduction of ester (IV) with H2 over PtO2 in ethanol/HCl affords the corresponding aniline derivative (V), which is cyclized with ammonium formate (VI) in formamide at 165 C to provide 6,7-bis(2-methoxyethoxy)-quinazolin-4(3H)-one (VII). Reaction of quinazoline (VII) with oxalyl chloride in refluxing chloroform gives the expected 4-chloroquinazoline derivative (VIII), which is finally condensed with 3-ethynylaniline (IX) in refluxing isopropanol containing pyridine. 2) Reaction of the 4-chloroquinazoline derivative (VIII) with 4-(3-aminophenyl)-2-methyl-3-butyn-2-ol (X) in refluxing acetonitrile gives the secondary amine (XI), which is finally treated with anhydrous solid NaOH in refluxing either 1-butanol, 2-butanol, isopropanol or 2-methoxyethanol. 3) Reaction of 3-bromonitrobenzene (XII) with trimethylsilylacetylene (XIII) by means of a Pd catalyst and Cu2I in hot TEA gives 3-(trimethylsilylethynyl)nitrobenzene (XIV), which is reduced with H2 over Pt/Al2O3 in isopropanol to provide 3-(trimethylsilylethynyl)aniline (XV). Condensation of the aniline (XV) with the quinazoline derivative (VIII) in refluxing isopropanol affords the silylated quinazoline derivative (XVI), which is finally deprotected with TBAF in THF.

参考文献No.35895
标题:Alkynyl and azido-substd. 4-anilinoquinazolines
作者:Schnur, R.C.; Arnold, L.D. (Pfizer Inc.)
来源:US 5747498
合成路线图解说明:

Erlotinib can be obtained by three related ways: 1) Alkylation of 3,4-dihydroxybenzoic acid ethyl ester (I) with 2-bromoethyl methyl ether (II) by means of K2CO3 and tetrabutylammonium iodide (TBAI) in refluxing acetone gives 3,4-bis(2-methoxyethoxy)benzoic acid ethyl ester (III), which is nitrated with HNO3 in acetic acid to yield 4,5-bis(2-methoxyethoxy)-2-nitrobenzoic acid ethyl ester (IV). Reduction of ester (IV) with H2 over PtO2 in ethanol/HCl affords the corresponding aniline derivative (V), which is cyclized with ammonium formate (VI) in formamide at 165 C to provide 6,7-bis(2-methoxyethoxy)-quinazolin-4(3H)-one (VII). Reaction of quinazoline (VII) with oxalyl chloride in refluxing chloroform gives the expected 4-chloroquinazoline derivative (VIII), which is finally condensed with 3-ethynylaniline (IX) in refluxing isopropanol containing pyridine. 2) Reaction of the 4-chloroquinazoline derivative (VIII) with 4-(3-aminophenyl)-2-methyl-3-butyn-2-ol (X) in refluxing acetonitrile gives the secondary amine (XI), which is finally treated with anhydrous solid NaOH in refluxing either 1-butanol, 2-butanol, isopropanol or 2-methoxyethanol. 3) Reaction of 3-bromonitrobenzene (XII) with trimethylsilylacetylene (XIII) by means of a Pd catalyst and Cu2I in hot TEA gives 3-(trimethylsilylethynyl)nitrobenzene (XIV), which is reduced with H2 over Pt/Al2O3 in isopropanol to provide 3-(trimethylsilylethynyl)aniline (XV). Condensation of the aniline (XV) with the quinazoline derivative (VIII) in refluxing isopropanol affords the silylated quinazoline derivative (XVI), which is finally deprotected with TBAF in THF.

参考文献No.55306
标题:Processes and intermediates for preparing anti-cancer cpds.
作者:Santafianos, D.P.; Norris, T.; Lehner, R.S. (Pfizer Inc.)
来源:EP 1044969; JP 2000290262; US 6476040
合成路线图解说明:

Erlotinib can be obtained by three related ways: 1) Alkylation of 3,4-dihydroxybenzoic acid ethyl ester (I) with 2-bromoethyl methyl ether (II) by means of K2CO3 and tetrabutylammonium iodide (TBAI) in refluxing acetone gives 3,4-bis(2-methoxyethoxy)benzoic acid ethyl ester (III), which is nitrated with HNO3 in acetic acid to yield 4,5-bis(2-methoxyethoxy)-2-nitrobenzoic acid ethyl ester (IV). Reduction of ester (IV) with H2 over PtO2 in ethanol/HCl affords the corresponding aniline derivative (V), which is cyclized with ammonium formate (VI) in formamide at 165 C to provide 6,7-bis(2-methoxyethoxy)-quinazolin-4(3H)-one (VII). Reaction of quinazoline (VII) with oxalyl chloride in refluxing chloroform gives the expected 4-chloroquinazoline derivative (VIII), which is finally condensed with 3-ethynylaniline (IX) in refluxing isopropanol containing pyridine. 2) Reaction of the 4-chloroquinazoline derivative (VIII) with 4-(3-aminophenyl)-2-methyl-3-butyn-2-ol (X) in refluxing acetonitrile gives the secondary amine (XI), which is finally treated with anhydrous solid NaOH in refluxing either 1-butanol, 2-butanol, isopropanol or 2-methoxyethanol. 3) Reaction of 3-bromonitrobenzene (XII) with trimethylsilylacetylene (XIII) by means of a Pd catalyst and Cu2I in hot TEA gives 3-(trimethylsilylethynyl)nitrobenzene (XIV), which is reduced with H2 over Pt/Al2O3 in isopropanol to provide 3-(trimethylsilylethynyl)aniline (XV). Condensation of the aniline (XV) with the quinazoline derivative (VIII) in refluxing isopropanol affords the silylated quinazoline derivative (XVI), which is finally deprotected with TBAF in THF.

参考文献No.697002
标题:Erlotinib Hydrochloride
作者:Bay閟, M.; Casta馿r, J.; Sorbera, L.A.; Silvestre, J.S.
来源:Drugs Fut 2002,27(10),923
合成路线图解说明:

Erlotinib can be obtained by three related ways: 1) Alkylation of 3,4-dihydroxybenzoic acid ethyl ester (I) with 2-bromoethyl methyl ether (II) by means of K2CO3 and tetrabutylammonium iodide (TBAI) in refluxing acetone gives 3,4-bis(2-methoxyethoxy)benzoic acid ethyl ester (III), which is nitrated with HNO3 in acetic acid to yield 4,5-bis(2-methoxyethoxy)-2-nitrobenzoic acid ethyl ester (IV). Reduction of ester (IV) with H2 over PtO2 in ethanol/HCl affords the corresponding aniline derivative (V), which is cyclized with ammonium formate (VI) in formamide at 165 C to provide 6,7-bis(2-methoxyethoxy)-quinazolin-4(3H)-one (VII). Reaction of quinazoline (VII) with oxalyl chloride in refluxing chloroform gives the expected 4-chloroquinazoline derivative (VIII), which is finally condensed with 3-ethynylaniline (IX) in refluxing isopropanol containing pyridine. 2) Reaction of the 4-chloroquinazoline derivative (VIII) with 4-(3-aminophenyl)-2-methyl-3-butyn-2-ol (X) in refluxing acetonitrile gives the secondary amine (XI), which is finally treated with anhydrous solid NaOH in refluxing either 1-butanol, 2-butanol, isopropanol or 2-methoxyethanol. 3) Reaction of 3-bromonitrobenzene (XII) with trimethylsilylacetylene (XIII) by means of a Pd catalyst and Cu2I in hot TEA gives 3-(trimethylsilylethynyl)nitrobenzene (XIV), which is reduced with H2 over Pt/Al2O3 in isopropanol to provide 3-(trimethylsilylethynyl)aniline (XV). Condensation of the aniline (XV) with the quinazoline derivative (VIII) in refluxing isopropanol affords the silylated quinazoline derivative (XVI), which is finally deprotected with TBAF in THF.

Drug Information Express,Drug R&D,Chemical Database,Patent Search.
Copyright © 2006-2026 Drug Future. All rights reserved.Contact Us