【药物名称】RPR-115135
化学结构式(Chemical Structure):
参考文献No.48797
标题:4,9-Ethano-benzo(f)isoindole derivs. as farnesyl transferase inhibitors
作者:Truchon, A.; Sounigo, F.; Peyronel, J.-F.; Zucco, M.; Mailliet, P.; Commer鏾n, A.; Lebrun, A. (Aventis Pharma SA)
来源:WO 9703050
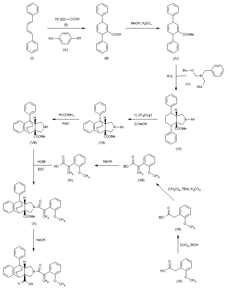
合成路线图解说明:

Diels-Alder reaction between (E,E)-1,4-diphenylbutadiene (I) and propiolic acid (II) in xylene in the presence of hydroxyquinone (A) yields cyclohexadiene carboxylic acid (III), which is then converted into its methyl ester derivative (IV) by treatment with MeOH in the presence of H2SO4. Condensation of methyl ester (IV) with N-trimethylsilylmethyl-N-butoxymethyl-benzylamine (V) in CH2Cl2 in the presence of TFA provides hexahydro isoindole derivative (VI), which is first treated with trifluoromethane sulfonic acid in CH2Cl2, followed by treatment with NaOH, to furnish benzo[f]isoindole derivative (VII). Debenzylation of (VII) by reaction with ammonium formate and Pd/C gives compound (VIII), which is then converted into derivative (X) by coupling with 2-(2-methoxyphenyl)acrylic acid (IX). The target product is finally obtained by hydrolysis of methyl ester (X) with NaOH in EtOH. Intermediate (IX) can be obtained as follows: Treatment of 2-methoxyphenylacetic acid (XI) with thionyl chloride in refluxing EtOH provides ethyl ester (XII), which then reacts with paraformaldehyde and tetrabutylammonium iodide (TBAI) and K2CO3 in refluxing toluene to afford acrylate (XIII). Finally, ethyl ester (XIII) is hydrolyzed by treatment with refluxing NaOH.

Drug Information Express,Drug R&D,Chemical Database,Patent Search.
Copyright © 2006-2026 Drug Future. All rights reserved.Contact Us