【药物名称】KF-24705
化学结构式(Chemical Structure):
参考文献No.32872
标题:Phenylpiperidine derivs.
作者:Kumazawa, T.; Koshimura, H.; Aono, S.; Ichikawa, S.; Kitamura, S. (Kyowa Hakko Kogyo Co., Ltd.)
来源:EP 0974583; WO 9710213
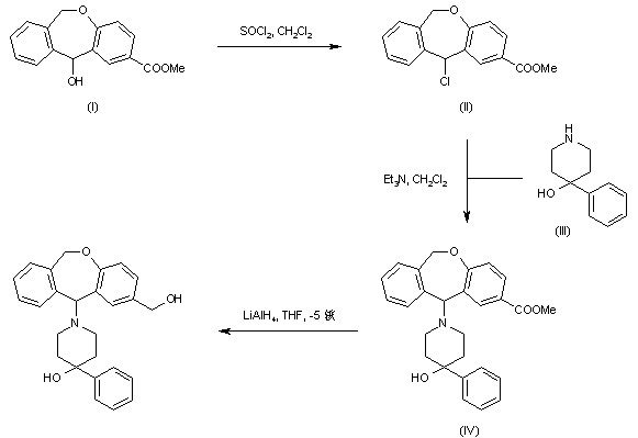
合成路线图解说明:

Hydroxy dibenzooxepine (I) was converted to the corresponding chloride (II) by treatment with SOCl2 in CH2Cl2. Condensation of (II) with 4-hydroxy-4-phenylpiperidine (III) produced adduct (IV). The carboxylate group of (IV) was then reduced by means of LiAlH4 in cold THF to furnish the title alcohol.

Drug Information Express,Drug R&D,Chemical Database,Patent Search.
Copyright © 2006-2026 Drug Future. All rights reserved.Contact Us