【药物名称】AR-C89855AA
化学结构式(Chemical Structure):
参考文献No.32881
标题:Benzothiazolone derivs.
作者:Bonnert, R.V.; Brown, R.C.; Cage, P.A.; Ince, F.; Pairaudeau, G. (AstraZeneca plc)
来源:JP 1999512422; US 5846989; WO 9710227
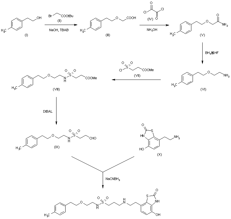
合成路线图解说明:

Condensation of 2-(4-methylphenyl)ethanol (I) with t-Bu-bromoacetate (II) in toluene in the presence of NaOH and tetrabutylammonium bromide (TBAB) provides ethoxyacetic acid derivative (III), which is converted into acetamide (V) by reaction with oxalyl chloride (IV) in toluene/DMF followed by treatment with NH4OH. Reduction of (V) by reaction with borane-tetrahydrofuran (BH3稵HF) in THF yields ethanamine (VI), which is then coupled to chlorosulfonyl derivative (VII) in CH2Cl2 in the presence of TEA to afford compound (VIII). Reduction of the ester group of (VIII) by treatment with diisobutylaluminium hydride (DIBAL) in toluene furnishes aldehyde (IX), which is finally subjected to a reductive amination with benzothiazol derivative (X) by means of NaCNBH3 in MeOH/HOAc.

参考文献No.593829
标题:The discovery of dual D2-receptor and beta2-adrenoceptor agonists for the treatment of airway diseases
作者:Bonnert, R.; et al.
来源:16th Int Symp Med Chem (Sept 18 2000, Bologna) 2000,Poster PC161
合成路线图解说明:

Condensation of 2-(4-methylphenyl)ethanol (I) with t-Bu-bromoacetate (II) in toluene in the presence of NaOH and tetrabutylammonium bromide (TBAB) provides ethoxyacetic acid derivative (III), which is converted into acetamide (V) by reaction with oxalyl chloride (IV) in toluene/DMF followed by treatment with NH4OH. Reduction of (V) by reaction with borane-tetrahydrofuran (BH3稵HF) in THF yields ethanamine (VI), which is then coupled to chlorosulfonyl derivative (VII) in CH2Cl2 in the presence of TEA to afford compound (VIII). Reduction of the ester group of (VIII) by treatment with diisobutylaluminium hydride (DIBAL) in toluene furnishes aldehyde (IX), which is finally subjected to a reductive amination with benzothiazol derivative (X) by means of NaCNBH3 in MeOH/HOAc.

Drug Information Express,Drug R&D,Chemical Database,Patent Search.
Copyright © 2006-2026 Drug Future. All rights reserved.Contact Us