【药物名称】IRL-3630
化学结构式(Chemical Structure):
参考文献No.32969
标题:Antagonists of endothelin receptors
作者:Sakaki, J.; Murata, T.; Yuumoto, Y.; Nakamura, I.; Okada, T. (Novartis Japan KK)
来源:JP 1999512702; WO 9711960
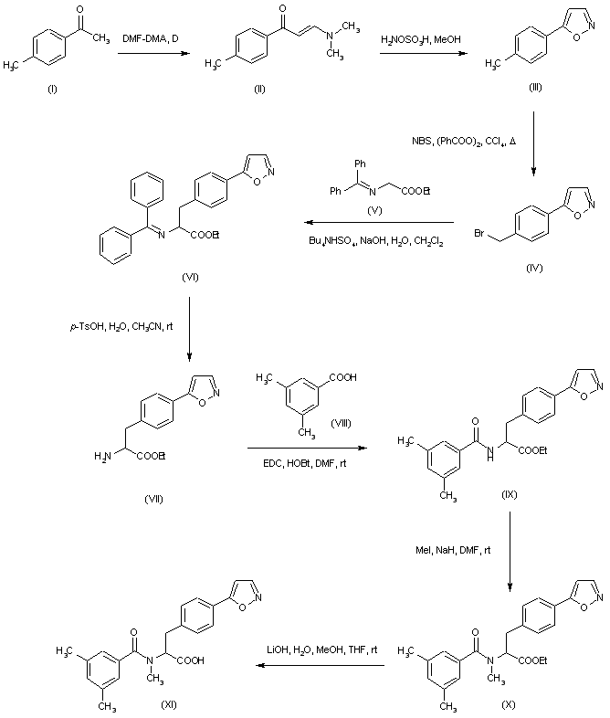
合成路线图解说明:

4'-Methylacetophenone (I) was condensed with boiling dimethylformamide dimethylacetal, and the resulting enaminoketone (II) was cyclized to the isoxazole (III) with hydroxylamine O-sulfonic acid in MeOH. Benzylic bromination of (III) with N-bromosuccinimide in the presence of benzoyl peroxide gave bromomethyl compound (IV). Subsequent alkylation of diphenylmethylene glycine ethyl ester (V) with (IV) under phase-transfer conditions, followed by acid deprotection furnished isoxazolylphenylalanine ethyl ester (VII). This compound was condensed with 3,5-dimethyl benzoic acid (VIII) using EDC and HOBt to give amide (IX). Further N-methylation of (IX) with MeI and NaH yielded (X), which was hydrolyzed with LiOH to the carboxylic acid (XI).

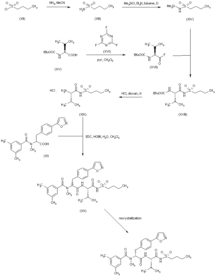
合成路线图解说明:

1-Butanesulfonyl chloride (XII) was reacted with ammonia in acetonitrile, and the resulting sulfonamide (XIII) was then converted to the N-trimethylsilyl derivative (XIV). This compound was coupled with acid fluoride (XVII), (obtained from Boc-valine (XV) and cyanuric fluoride (XVI)), to provide Boc-valinesulfonamide (XVIII). The Boc group of (XVIII) was then removed by acid treatment to give (XIX). Coupling of this chiral intermediate (XIX) with racemic acid (XI) in a biphasic solvent system, with partial isomerization of acid (XI), furnished the amide (XX) as a 12:1 diastereomeric mixture. The major D,L diastereoisomer was then isolated either by preparative HPLC or by recrystallization from isopropanol.

参考文献No.531411
标题:Stereoselective synthesis of a novel and bifunctional endothelin antagonist, IRL 3630
作者:Sakaki, J.; Murata, T.; Yuumoto, Y.; Nakamura, I.; Hayakawa, K.
来源:Bioorg Med Chem Lett 1998,8(16),2247
合成路线图解说明:

4'-Methylacetophenone (I) was condensed with boiling dimethylformamide dimethylacetal, and the resulting enaminoketone (II) was cyclized to the isoxazole (III) with hydroxylamine O-sulfonic acid in MeOH. Benzylic bromination of (III) with N-bromosuccinimide in the presence of benzoyl peroxide gave bromomethyl compound (IV). Subsequent alkylation of diphenylmethylene glycine ethyl ester (V) with (IV) under phase-transfer conditions, followed by acid deprotection furnished isoxazolylphenylalanine ethyl ester (VII). This compound was condensed with 3,5-dimethyl benzoic acid (VIII) using EDC and HOBt to give amide (IX). Further N-methylation of (IX) with MeI and NaH yielded (X), which was hydrolyzed with LiOH to the carboxylic acid (XI).

合成路线图解说明:

1-Butanesulfonyl chloride (XII) was reacted with ammonia in acetonitrile, and the resulting sulfonamide (XIII) was then converted to the N-trimethylsilyl derivative (XIV). This compound was coupled with acid fluoride (XVII), (obtained from Boc-valine (XV) and cyanuric fluoride (XVI)), to provide Boc-valinesulfonamide (XVIII). The Boc group of (XVIII) was then removed by acid treatment to give (XIX). Coupling of this chiral intermediate (XIX) with racemic acid (XI) in a biphasic solvent system, with partial isomerization of acid (XI), furnished the amide (XX) as a 12:1 diastereomeric mixture. The major D,L diastereoisomer was then isolated either by preparative HPLC or by recrystallization from isopropanol.

Drug Information Express,Drug R&D,Chemical Database,Patent Search.
Copyright © 2006-2026 Drug Future. All rights reserved.Contact Us