【药物名称】EC-665, SDZ-249-665
化学结构式(Chemical Structure):
参考文献No.32922
标题:Urea derivs. and their use as analgesics and antiinflammatory agents
作者:Campbell, E.A.; Walpole, C.S.J. (Novartis AG; Novartis Deutschland GmbH)
来源:WO 9711052
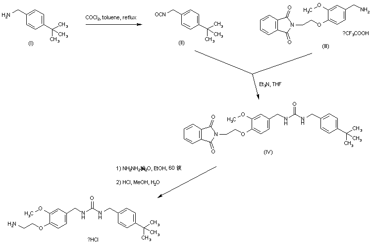
合成路线图解说明:

Isocyanate (II) was prepared by treatment of 4-tert-butylbenzylamine (I) with phosgene in refluxing toluene. Subsequent coupling of isocyanate (II) with 4-(2-phthalimidoethoxy)-3-methoxybenzylamine (III) furnished urea (IV). The phthaloyl protecting group was then removed by hydrazinolysis. The resulting amine was finally converted to the corresponding hydrochloride salt.

Drug Information Express,Drug R&D,Chemical Database,Patent Search.
Copyright © 2006-2026 Drug Future. All rights reserved.Contact Us