【药物名称】Sch-59948
化学结构式(Chemical Structure):
参考文献No.409779
标题:Benzocycloheptapyridine farnesyl protein transferase inhibitors: Effects of substitution at position 5 and 6 on enzyme inhibition
作者:del Rosario, J.D.; et al.
来源:213th ACS Natl Meet (April 13-17, San Francisco) 1997,Abst MEDI 198
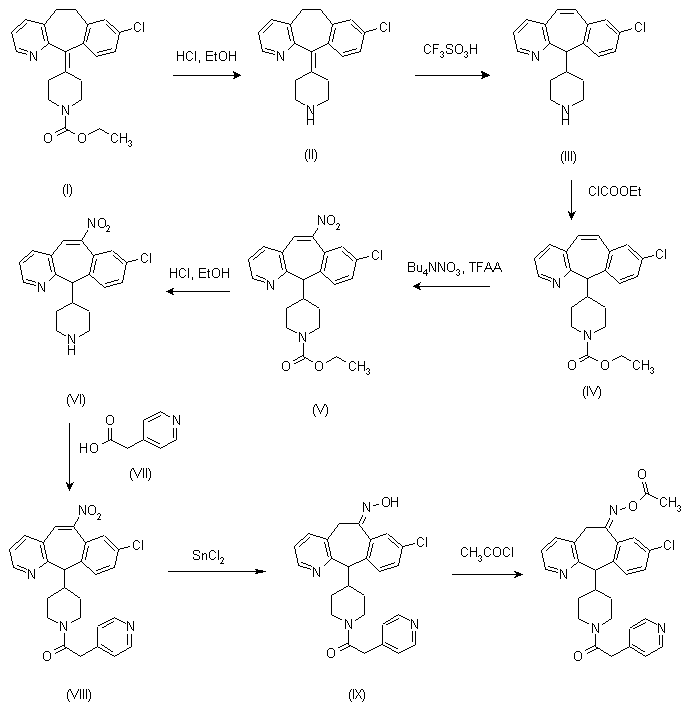
合成路线图解说明:

Carbamate (I) was hydrolyzed to amine (II) by treatment with an ethanolic solution of HCl, which was then isomerized to the endocyclic compound (III) on heating with trifluoromethanesulfonic acid. Compound III was protected as the carbamate (IV) by reaction with ethyl chloroformate, and further nitration was effected with tetra-n-butylammonium nitrate - trifluoroacetic anhydride (TFAA) reagent to afford nitro compound (V). Subsequent deprotection of carbamate was effected with ethanolic HCl, to give amine (VI), which was then condensed with 4-pyridylacetic acid (VII) to the amide (VIII). Reduction of the nitro group of (VIII) with tin (II) chloride yielded oxime (IX) (SCH 59948), and reaction of this compound with acetyl chloride gave the corresponding oxime acetate (SCH 60102).

Drug Information Express,Drug R&D,Chemical Database,Patent Search.
Copyright © 2006-2026 Drug Future. All rights reserved.Contact Us