【药物名称】
化学结构式(Chemical Structure):
参考文献No.627512
标题:Photochemical synthesis of N-arylbenzophenanthridine selective estrogen receptor modulators (SERMs)
作者:Grese, T.A.; Adrian, M.D.; Phillips, D.L.; Shetler, P.K.; Short, L.L.; Glasebrook, A.L.; Bryant, H.U.
来源:J Med Chem 2001,44(17),2857
合成路线图解说明:

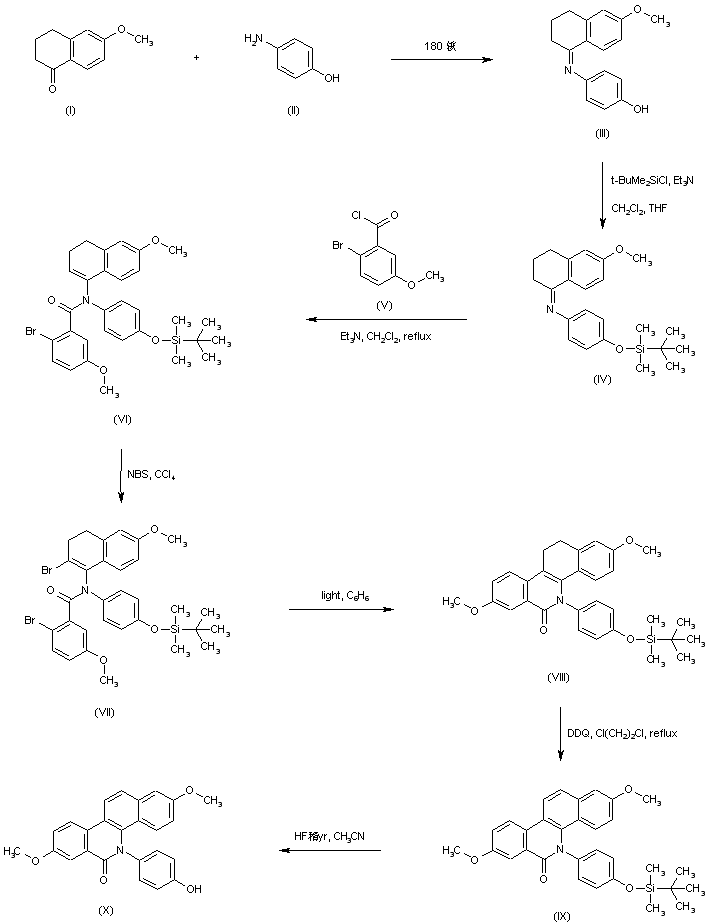
Imine (III) was prepared by condensation of 6-methoxy-1-tetralone (I) with p-aminophenol (II) at 180 C. After silylation of the hydroxyl group of (III) with tert-butyldimethylsilyl chloride to give (IV), acylation of the enamine function with 2-bromo-5-methoxybenzoyl chloride (V) yielded enamide (VI). Halogenation of (VI) with N-bromosuccinimide gave the beta-bromo enamide (VII). Photocyclization of (VII) produced the benzophenanthridine (VIII), which was further dehydrogenated with DDQ providing (IX). Desilylation of (IX) to afford phenol (X) was achieved by treatment with hydrogen fluoride-pyridine.

合成路线图解说明:

Condensation of phenol (X) with N-(2-hydroxyethyl)piperidine (XI) under Mitsunobu conditions furnished ether (XII). The lactam function of (XII) was then reduced with LiAlH4 to produce (XIII). Finally, methyl ether cleavage in (XIII) was carried out by treatment with AlCl3 in the presence of EtSH.

Drug Information Express,Drug R&D,Chemical Database,Patent Search.
Copyright © 2006-2026 Drug Future. All rights reserved.Contact Us