【药物名称】L-758298
化学结构式(Chemical Structure):
参考文献No.27883
标题:Prodrugs of morpholine tachykinin receptor antagonists
作者:Dorn, C.P.; Hale, J.J.; Maccoss, M.; Mills, S.G. (Merck & Co., Inc.)
来源:EP 0748320; JP 1997509935; US 5691336; WO 9523798
合成路线图解说明:

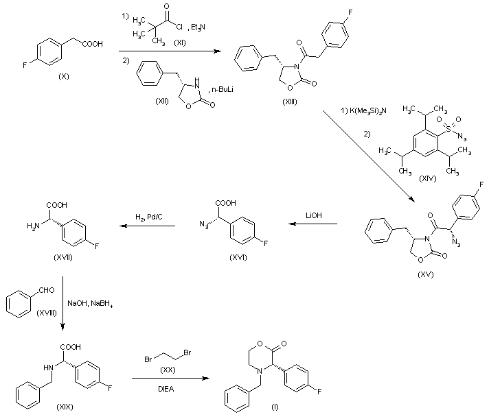
Reduction of morpholinone (I) with L-Selectride in THF at -78 C produced the intermediate lactol (II), which was condensed at low temperature with 3,5-bis(trifluoromethyl)benzoyl chloride (III) to afford acyl acetal (IV). Further reaction with dimethyl titanocene in THF-toluene at 80 C provided enol ether (V). Catalytic hydrogenation of the double bond, with concomitant N-benzyl group hydrogenolysis, yielded a 8:1 mixture of diastereomers, from which the major isomer (VI) was isolated by column chromatography. Alkylation of morpholine (VI) with N-methoxycarbonyl-2-chloroacetamidrazone (VII) (obtained by reaction of chloroacetonitrile (IX) with NaOMe and methyl carbazate in MeOH) in the presence of N-ethyl diisopropylamine (DIEA) in acetonitrile gave the intermediate (VIII), which was finally cyclized to the desired triazolone in refluxing xylene.

合成路线图解说明:

Synthesis of morpholine intermediate (I): Treatment of 4-fluorophenyl acetic acid (X) with trimethylacetyl chloride (XI) and Et3N in Et2O followed by reaction with 4-(S)-benzyl-2-oxazolidinone (XII) in THF and n-BuLi in hexane affords oxazolidinone derivative (XIII). Conversion of (XIII) into azido derivative (XV) is achieved by first treatment of (XIII) in THF with a potassium bis(trimethylsilyl)amide solution in toluene followed by treatment with 2,4,6-triisopropylphenylsulfonyl azide (XIV) in THF. Hydrolysis of azido-oxazolidinone derivative (XV) by means of LiOH in THF/H2O yields azido acetic acid derivative (XVI), which is then hydrogenated over Pd/C in H2O/HOAc to afford (S)-(4-fluorophenyl)glycine (XVII). Treatment of (S)-(4-fluorophenyl)glycine (XVII) with benzaldehyde (XVIII), NaOH and NaBH4 in MeOH yields N-benzyl (S)-(4-fluorophenyl)glycine (XIX), which is then cyclized with 1,2-dibromoethane (XX) in the presence of DIEA in DMF to furnish morpholine intermediate (I).

合成路线图解说明:

Alternatively (XVII) can be obtained as follows: Reaction of 4-fluorophenyl acetic (X) with thionyl chloride in toluene in the presence of DMF provides 4-fluorophenyl acetyl chloride (XXII), which is treated with bromine and light irradiation followed by reaction with methanol to furnish methyl bromoacetate derivative (XXIII). Treatment of (XXIII) with benzyl triethylammonium chloride (XXIV) and NaN3 in MeOH followed by hydrogenation over Pd/C in MeOH gives methyl glycine derivative (XXV) in a racemic mixture, from which (XVII) is obtained by crystallization of the corresponding dibenzoyl tartaric (DBT) salts followed by salt hydrolysis by means of refluxing HCl.

合成路线图解说明:

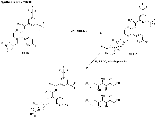
Treatment of aprepitant (XXXIII) with tetrabenzyl pyrophosphate (TBPP) and NaHMDS in THF provides the dibenzyl phosphorylated derivative (XXXIV), which is finally debenzylated by hydrogenation over Pd/C in the presence of N-methyl-D-glucamine in MeOH/H2O.

参考文献No.567457
标题:Phosphorylated morpholine acetal human neurokinin-1 receptor antagonists as water-soluble prodrugs
作者:Hale, J.J.; Mills, S.G.; MacCoss, M.; Dorn, C.P.; Finke, P.E.; Budhu, R.J.; Reamer, R.A.; Huskey, S.E.; Luffer-Atlas, D.; Dean, B.J.; McGowan, E.M.; Feeney, W.P.; Chiu, S.H.; Cascieri, M.A.; Chicchi, G.G.; Kurtz, M.M.; Sadowski, S.; Ber, E.; et al.
来源:J Med Chem 2000,43(6),1234
合成路线图解说明:

Reduction of morpholinone (I) with L-Selectride in THF at -78 C produced the intermediate lactol (II), which was condensed at low temperature with 3,5-bis(trifluoromethyl)benzoyl chloride (III) to afford acyl acetal (IV). Further reaction with dimethyl titanocene in THF-toluene at 80 C provided enol ether (V). Catalytic hydrogenation of the double bond, with concomitant N-benzyl group hydrogenolysis, yielded a 8:1 mixture of diastereomers, from which the major isomer (VI) was isolated by column chromatography. Alkylation of morpholine (VI) with N-methoxycarbonyl-2-chloroacetamidrazone (VII) (obtained by reaction of chloroacetonitrile (IX) with NaOMe and methyl carbazate in MeOH) in the presence of N-ethyl diisopropylamine (DIEA) in acetonitrile gave the intermediate (VIII), which was finally cyclized to the desired triazolone in refluxing xylene.

合成路线图解说明:

Treatment of aprepitant (XXXIII) with tetrabenzyl pyrophosphate (TBPP) and NaHMDS in THF provides the dibenzyl phosphorylated derivative (XXXIV), which is finally debenzylated by hydrogenation over Pd/C in the presence of N-methyl-D-glucamine in MeOH/H2O.

参考文献No.661047
标题:Aprepitant and L-758298
作者:Casta馿r, J.; Silvestre, J.S.; Bay閟, M.; Sorbera, L.A.
来源:Drugs Fut 2002,27(3),211
合成路线图解说明:

Reduction of morpholinone (I) with L-Selectride in THF at -78 C produced the intermediate lactol (II), which was condensed at low temperature with 3,5-bis(trifluoromethyl)benzoyl chloride (III) to afford acyl acetal (IV). Further reaction with dimethyl titanocene in THF-toluene at 80 C provided enol ether (V). Catalytic hydrogenation of the double bond, with concomitant N-benzyl group hydrogenolysis, yielded a 8:1 mixture of diastereomers, from which the major isomer (VI) was isolated by column chromatography. Alkylation of morpholine (VI) with N-methoxycarbonyl-2-chloroacetamidrazone (VII) (obtained by reaction of chloroacetonitrile (IX) with NaOMe and methyl carbazate in MeOH) in the presence of N-ethyl diisopropylamine (DIEA) in acetonitrile gave the intermediate (VIII), which was finally cyclized to the desired triazolone in refluxing xylene.

合成路线图解说明:

Synthesis of morpholine intermediate (I): Treatment of 4-fluorophenyl acetic acid (X) with trimethylacetyl chloride (XI) and Et3N in Et2O followed by reaction with 4-(S)-benzyl-2-oxazolidinone (XII) in THF and n-BuLi in hexane affords oxazolidinone derivative (XIII). Conversion of (XIII) into azido derivative (XV) is achieved by first treatment of (XIII) in THF with a potassium bis(trimethylsilyl)amide solution in toluene followed by treatment with 2,4,6-triisopropylphenylsulfonyl azide (XIV) in THF. Hydrolysis of azido-oxazolidinone derivative (XV) by means of LiOH in THF/H2O yields azido acetic acid derivative (XVI), which is then hydrogenated over Pd/C in H2O/HOAc to afford (S)-(4-fluorophenyl)glycine (XVII). Treatment of (S)-(4-fluorophenyl)glycine (XVII) with benzaldehyde (XVIII), NaOH and NaBH4 in MeOH yields N-benzyl (S)-(4-fluorophenyl)glycine (XIX), which is then cyclized with 1,2-dibromoethane (XX) in the presence of DIEA in DMF to furnish morpholine intermediate (I).

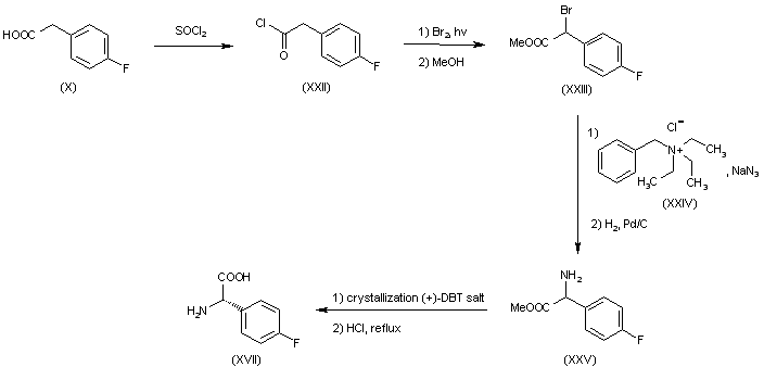
合成路线图解说明:

Alternatively (XVII) can be obtained as follows: Reaction of 4-fluorophenyl acetic (X) with thionyl chloride in toluene in the presence of DMF provides 4-fluorophenyl acetyl chloride (XXII), which is treated with bromine and light irradiation followed by reaction with methanol to furnish methyl bromoacetate derivative (XXIII). Treatment of (XXIII) with benzyl triethylammonium chloride (XXIV) and NaN3 in MeOH followed by hydrogenation over Pd/C in MeOH gives methyl glycine derivative (XXV) in a racemic mixture, from which (XVII) is obtained by crystallization of the corresponding dibenzoyl tartaric (DBT) salts followed by salt hydrolysis by means of refluxing HCl.

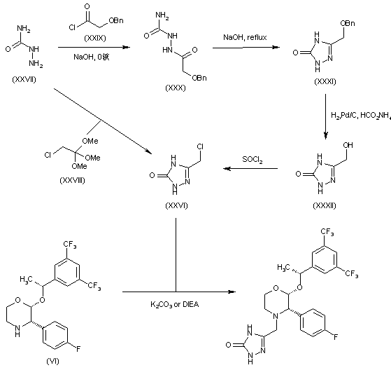
合成路线图解说明:

Synthesis of 250157: Alternatively, the final compound can be obtained by direct condensation of (VI) with chlorotriazolinone (XXVI) in DMF/H2O in the presence of K2CO3 or DIEA. For the obtention of (XXVI), two routes can be followed: 1. Reaction of semicarbazide (XXVII) with orthoester (XXVIII) in MeOH; and 2. Condensation of semicarbazide (XXVII) with benzyloxyacetyl chloride (XXIX) in THF/H2O in the presence of NaOH to provide adduct (XXX), which is then cyclized by means of refluxing NaOH to afford triazolinone (XXXI). Debenzylation of (XXXI) by hydrogenation over Pd/C in MeOH/H2O yields alcohol (XXXII), which is finally treated with thionyl chloride.

合成路线图解说明:

Treatment of aprepitant (XXXIII) with tetrabenzyl pyrophosphate (TBPP) and NaHMDS in THF provides the dibenzyl phosphorylated derivative (XXXIV), which is finally debenzylated by hydrogenation over Pd/C in the presence of N-methyl-D-glucamine in MeOH/H2O.

Drug Information Express,Drug R&D,Chemical Database,Patent Search.
Copyright © 2006-2026 Drug Future. All rights reserved.Contact Us