【药物名称】VB-19026
化学结构式(Chemical Structure):
参考文献No.483533
标题:Design and synthesis of novel conformationally restricted HIV protease inhibitors
作者:Salituro, F.G.; Baker, C.T.; Court, J.J.; Deininger, D.D.; Kim, E.E.; Li, B.; Novak, P.M.; Rao, B.G.; Pazhanisamy, S.; Porter, M.D.; Schairer, W.C.; Tung, R.D.
来源:Bioorg Med Chem Lett 1998,8(24),3637
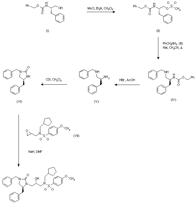
合成路线图解说明:

N-Cbz-L-Phenylalaninol (I) was converted to mesylate (II) on treatment with methanesulfonyl chloride and Et3N, and then treated with benzylamine (III) in the presence of NaI to give (IV). Subsequent deprotection of the Cbz group of (IV) with HBr in AcOH afforded diamine (V), which was treated with carbonyl diimidazole to produce the cyclic urea (VI). Finally, condensation with the epoxisulfonamide (VII) in the presence of NaH in DMF provided the target compound.

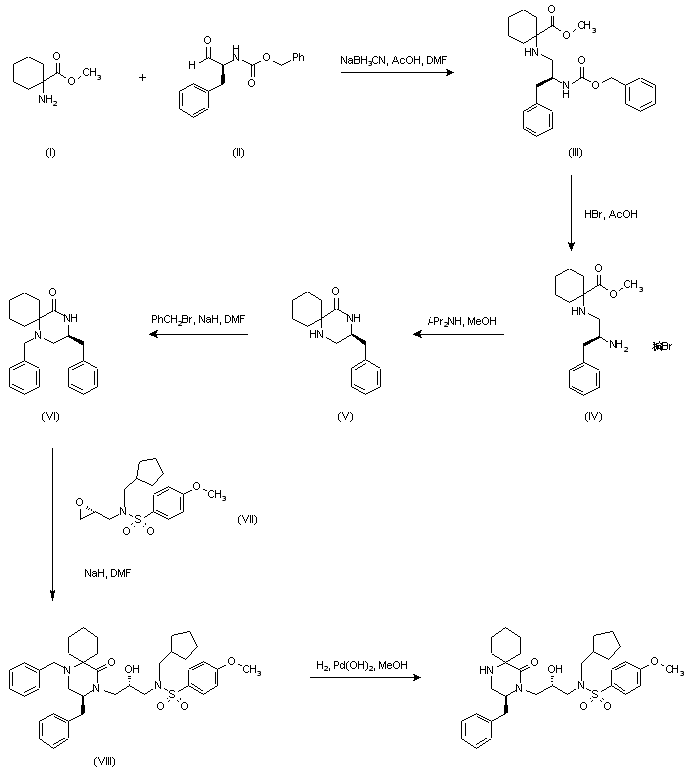
合成路线图解说明:

Reductive alkylation of aminoester (I) with N-Cbz-L-phenylalaninal (II) using NaBH3CN and AcOH in DMF provided compound (III). Subsequent deprotection of the Cbz group of (III) with HBr in AcOH afforded the diamine salt (IV), which upon basification with diisopropylamine resulted in lactamization to produce piperazinone (V). The secondary amine of (V) was then protected by alkylation with benzyl bromide to give (VI), which was condensed with the epoxisulfonamide (VII) in the presence of NaH in DMF to furnish (VIII). Finally, hydrogenolysis of the N-benzyl group in the presence of Pd(OH)2 yielded the target compound.

Drug Information Express,Drug R&D,Chemical Database,Patent Search.
Copyright © 2006-2026 Drug Future. All rights reserved.Contact Us