【药物名称】GW-577
化学结构式(Chemical Structure):
参考文献No.30125
标题:Hypolipidemic benzothiazepines
作者:Brieaddy, L.E.; Handlon, A.L.; Hodgson, G.L. Jr. (Glaxo Wellcome plc)
来源:EP 0792268; JP 1999500102; US 5998400; WO 9616051
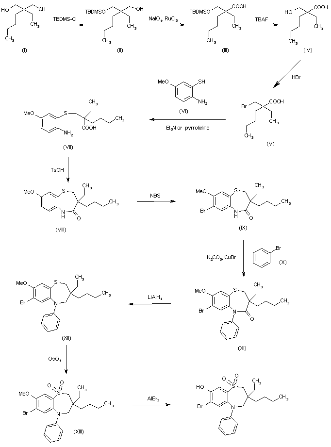
合成路线图解说明:

The monosilylation of 2-butyl-2-ethylpropane-1,3-diol (I) with TBDMS-Cl and NaH in THF gives silyl ether (II), which is oxidized with NaIO4 and RuCl3 in CCl4/acetonitrile/water yielding silylated hexanoic acid (III).Elimination of the silyl group of (III) with tetrabutylammonium fluoride (TBAF) affords the hydroxyacid (IV), which is treated with refluxing 48% HBr to give the 2-(bromomethyl)-2-ethylhexanoic acid (V). The condensation of (V) with 2-amino-methoxythiophenol (VI) by means of triethylamine or pyrrolidine in DMF provides intermediate (VII), which is cyclized by means of p-toluenesulfonic acid in refluxing tetradecane to give the 1,5-benzothiazepinone (VIII). The reaction of (VIII) with N-bromosuccinimide (NBS) in dichloromethane yields the 7-bromo derivative (IX), which is treated with bromobenzene (X), K2CO3 and CuBr to afford the 5-phenylbenzothiazepinone (XI). The reduction of the carbonyl group of (XI) with LiAlH4 in ethyl ether gives the benzothiazepine (XII), which is then oxidized with OsO4 in THF/ tert-butanol yielding the S,S-dioxide (XIII). Finally, this compound is demethylated with AlBr3 and ethanethiol in dichloromethane.

Drug Information Express,Drug R&D,Chemical Database,Patent Search.
Copyright © 2006-2026 Drug Future. All rights reserved.Contact Us