【药物名称】L-755507
化学结构式(Chemical Structure):
参考文献No.24485
标题:Substd. phenyl sulfonamides as selective beta3 agonists for the treatment of diabetes and obesity
作者:Fisher, M.H.; Mathvink, R.J.; Ok, H.O.; Parmee, E.R.; Weber, A.E. (Merck & Co., Inc.)
来源:CA 2114712; EP 0611003; JP 1995010827; US 5451677; WO 9418161
合成路线图解说明:

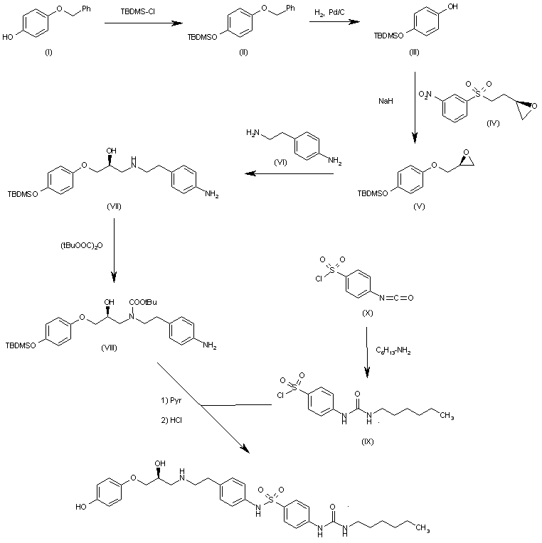
The silylation of 4-benzyloxyphenol (I) with tert-butyldimethylsilyl chloride (TBDMS-Cl) and imidazole in DMF gives the silyl ether (II), which is debenzylated by hydrogenation with H2 over Pd/C in ethyl acetate yielding the silylated phenol (III). The condensation of (III) with 2(S)-glycidyl 3-nitrobenzenesulfonate (IV) by means of NaH in DMF affords the glycicyl ether (V), which is treated with 2-(4-aminophenyl)ethylamine (VI) in refluxing methanol to give the addition compound (VII). The reaction of (VII) with di-tert-butyl dicarbonate in THF affords compound (VIII) with the secondary aliphatic amine protected as carbamate. Finally, the reaction of (VIII) with N-[4-(chlorosulfonyl)phenyl]-N'-hexylurea (IX) (obtained by reaction of the isocyanate (X) with hexylamine) by means of pyridine in dichloromethane, followed by deprotection with HCl provides the target product.

合成路线图解说明:

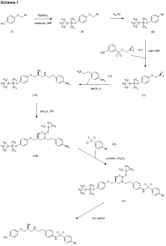
1) 4-(Benzyloxy)phenol (I) was protected as the silyl ether (II) by treatment with tert-butyldimethylsilyl chloride (TBDMS-Cl) in the presence of imidazole in DMF. Then, the benzyl group of (II) was removed by hydrogenolysis on Pd(OH)2/C to give 4-(tert-butyldimethylsilyloxy)phenol (III). This phenol was treated with NaH in DMF, and the resulting sodium phenoxide was alkylated with (S)-glycidyl 3-nitrobenzenesulfonate (IV) to provide epoxide (V) (1,2). Subsequent reaction of (V) with 4-aminophenethyl amine (VI) in refluxing MeOH gave the chiral phenoxypropanolamine (VII). Selective protection of the resultant secondary aliphatic amine with one equivalent of di-tert-butyl dicarbonate in THF afforded carbamate (VIII). Then, acylation of the aniline N atom with 4-bromobenzenesulfonyl chloride (IX) in the presence of pyridine gave sulfonamide (X). Finally, removal of both silyl ether and tert-butyl carbamate protecting groups using methanolic HCl provided the desired product.

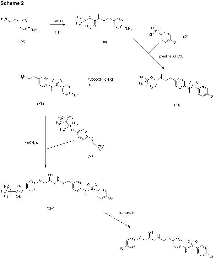
合成路线图解说明:

2) Alternatively, amine (VI) was selectively protected as the carbamate (XI) with di-tert-butyl dicarbonate. This compound was condensed with sulfonyl chloride (IX) and pyridine to afford sulfonamide (XII), and the Boc protecting group was then removed with trifluoroacetic acid to give the primary amine (XIII). Subsequent addition of (XIII) to epoxide (V) provided the phenoxypropanolamine (XIV), and the silyl group was finally eliminated with methanolic HCl.

合成路线图解说明:

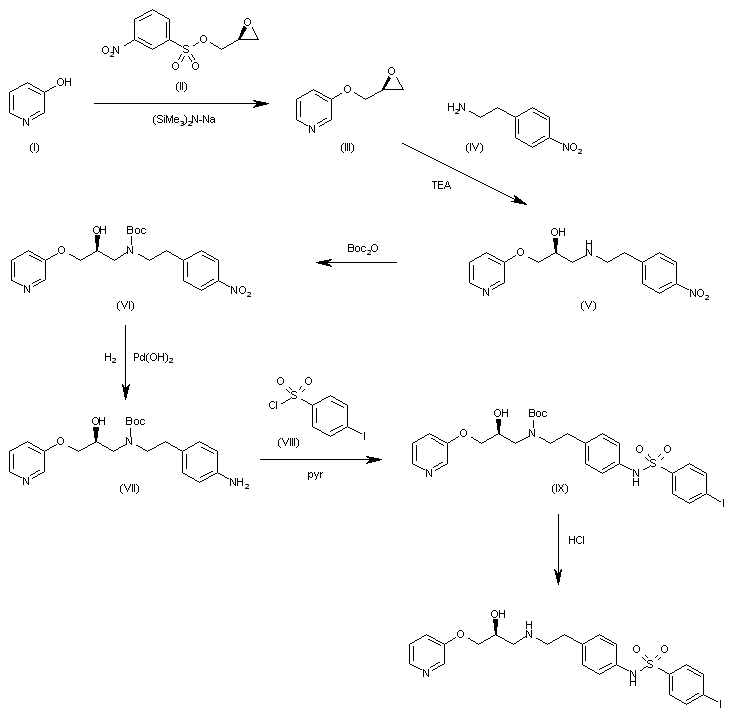
The reaction of 3-hydroxypyridine (I) with (S)-glycidol 3-nitrobenzenesulfonate (II) by means of sodium hexamethyldisylazide in DMSO gives 2(S)-(3-pyridyloxymethyl)oxirane (III), which is condensed with 2-(4-nitrophenyl)ethylamine (IV) by means of triethylamine in refluxing methanol yielding the chiral isopropanol (V). The protection of the secondary amino group of (V) with tert-butoxycarbonyl anhydride affords the carbamate (VI), which is submitted to reduction at the nitro group with H2 over palladium hydroxide in ethyl acetate providing the aniline derivative (VII). The acylation of (VII) with 4-iodobenzenesulfonyl chloride (VIII) and pyridine in dichloromethane affords the sulfonamide (IX), which is finally deprotected with 6N HCl in methanol.

合成路线图解说明:

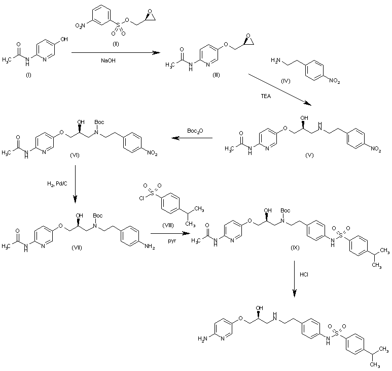
The reaction of 2-acetamido-5-hydroxypyridine (I) with (S)-glycidol 3-nitrobenzenesulfonate (II) by means of NaOH in DMF gives 2(S)-(6-acetamido-3-pyridyloxymethyl)oxirane (III), which is condensed with 2-(4-nitrophenyl)ethylamine (IV) by means of triethylamine in refluxing methanol yielding the chiral isopropanol (V). The protection of the secondary amino group of (V) with tert-butoxycarbonyl anhydride affords the carbamate (VI), which is submitted to reduction at the nitro group with H2 over Pd/C in ethyl acetate providing the aniline derivative (VII). The acylation of (VII) with 4-iodobenzenesulfonyl chloride (VIII) and pyridine in dichloromethane affords the sulfonamide (IX), which is finally deprotected with 2N HCl in refluxing methanol.

参考文献No.414447
标题:Synthesis and activity of conformationally restrained human beta3-adrenergic receptor agonists
作者:Parmee, E.R.; et al.
来源:213th ACS Natl Meet (April 13-17, San Francisco) 1997,Abst MEDI 031
合成路线图解说明:

The silylation of 4-benzyloxyphenol (I) with tert-butyldimethylsilyl chloride (TBDMS-Cl) and imidazole in DMF gives the silyl ether (II), which is debenzylated by hydrogenation with H2 over Pd/C in ethyl acetate yielding the silylated phenol (III). The condensation of (III) with 2(S)-glycidyl 3-nitrobenzenesulfonate (IV) by means of NaH in DMF affords the glycicyl ether (V), which is treated with 2-(4-aminophenyl)ethylamine (VI) in refluxing methanol to give the addition compound (VII). The reaction of (VII) with di-tert-butyl dicarbonate in THF affords compound (VIII) with the secondary aliphatic amine protected as carbamate. Finally, the reaction of (VIII) with N-[4-(chlorosulfonyl)phenyl]-N'-hexylurea (IX) (obtained by reaction of the isocyanate (X) with hexylamine) by means of pyridine in dichloromethane, followed by deprotection with HCl provides the target product.

Drug Information Express,Drug R&D,Chemical Database,Patent Search.
Copyright © 2006-2026 Drug Future. All rights reserved.Contact Us