【药物名称】PD-164387
化学结构式(Chemical Structure):
参考文献No.537444
标题:Synthesis, structure-activity relationships, and in vivo evaluations of substituted di-tert-butylphenols as a novel class of potent, selective, and orally active cyclooxygenase-2 inhibitors. 2. 1,3,4- and 1,2,4-thiadiazole series
作者:Song, Y.; Connor, D.T.; Sercel, A.D.; Sorenson, R.J.; Doubleday, R.; Unangst, P.C.; Roth, B.D.; Beylin, V.G.; Gilbertsen, R.B.; Chan, K.; Schrier, D.J.; Guglietta, A.; Bornemeier, D.A.; Dyer, R.D.
来源:J Med Chem 1999,42(7),1161
合成路线图解说明:

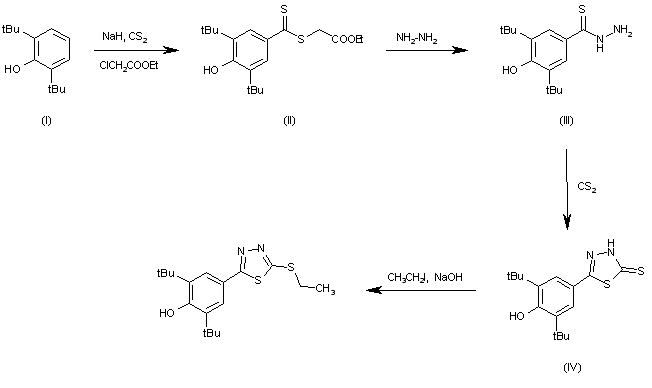
The reaction of 2,6-di(tert-butyl)phenol (I) with CS2 and ethyl chloroacetate gives the dithiobenzoate (II), which is treated with hydrazine in ethanol yielding the thiobenzoyl hydrazide (III). The cyclization of (III) with CS2 in refluxing ethanol affords the thiadiazolethione (IV), which is finally condensed with ethyl iodide and NaOH in THF.

Drug Information Express,Drug R&D,Chemical Database,Patent Search.
Copyright © 2006-2026 Drug Future. All rights reserved.Contact Us