【药物名称】PD-138387
化学结构式(Chemical Structure):
参考文献No.16002
标题:3,5-Di-tertiary-butyl-4-hydroxyphenyl-methylene derivs. of 2-substd. thiazolidinones, oxazolidinones, and imidazolidinones as antiinflammatory agents
作者:Cetenko, W.A.; Connor, D.T.; Sircar, J.C.; Sorenson, R.J.; Unangst, P.C. (Pfizer Inc.)
来源:EP 0449216; JP 1992221371; US 5143928
合成路线图解说明:

The condensation of 3,5-bis(tert-butyl)-4-hydroxybenzaldehyde (I) with 2-iminothiazolidin-4-one (II) in refluxing acetic acid gives darbufelone (III), which is then treated with methanesulfonic acid in THF.

合成路线图解说明:

Knoevenagel condensation of benzaldehyde (I) with rhodanine (II) by means of sodium acetate in acetic acid afforded benzylidenethione (III). Alkylation with iodomethane in the presence of triethylamine gave methylthioether (IV), which was finally condensed with methoxamine hydrochloride and potassium tert--butoxide in refluxing ethanol to yield the title compound.

参考文献No.245779
标题:Synthesis and biological evaluation of 5-[[3,5-bis(1, 1-dimethylethyl)-4-hydroxyphenyl]methylene]oxazoles, -thiazoles, and -imidazoles: Novel dual 5-lipoxygenase and cyclooxygenase inhibitors with antiinflammatory activity
作者:Unangst, P.C.; Connor, D.T.; Cetenko, W.A.; Sorenson, R.J.; Kostlan, C.R.; Sircar, J.C.; Wright, C.D.; Schrier, D.J.; Dyer, R.D.
来源:J Med Chem 1994,37(2),322
合成路线图解说明:

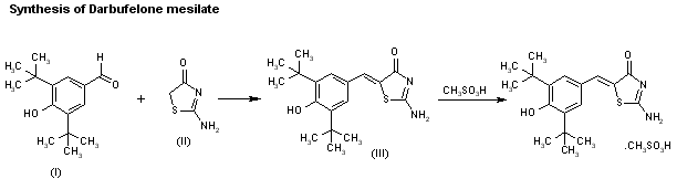
The condensation of 3,5-bis(tert-butyl)-4-hydroxybenzaldehyde (I) with 2-iminothiazolidin-4-one (II) in refluxing acetic acid gives darbufelone (III), which is then treated with methanesulfonic acid in THF.

合成路线图解说明:

Knoevenagel condensation of benzaldehyde (I) with rhodanine (II) by means of sodium acetate in acetic acid afforded benzylidenethione (III). Alkylation with iodomethane in the presence of triethylamine gave methylthioether (IV), which was finally condensed with methoxamine hydrochloride and potassium tert--butoxide in refluxing ethanol to yield the title compound.

参考文献No.537443
标题:Synthesis, structure-activity relationships, and in Vivo Evaluations of Substituted Di-tert-butylphenols as a novel class of potent, selective, and orally active cyclooxygenase-2-inhibitors. 1. Thiazolone and oxazolone series
作者:Connor, D.T.; Song, Y.; Doubleday, R.; Sercel, A.D.; Unangst, P.C.; Roth, B.D.; Gilbertsen, R.B.; Chan, K.; Schrier, D.J.; Guglietta, A.; Bornemeier, D.A.; Dyer, R.D.
来源:J Med Chem 1999,42(7),1151-1160
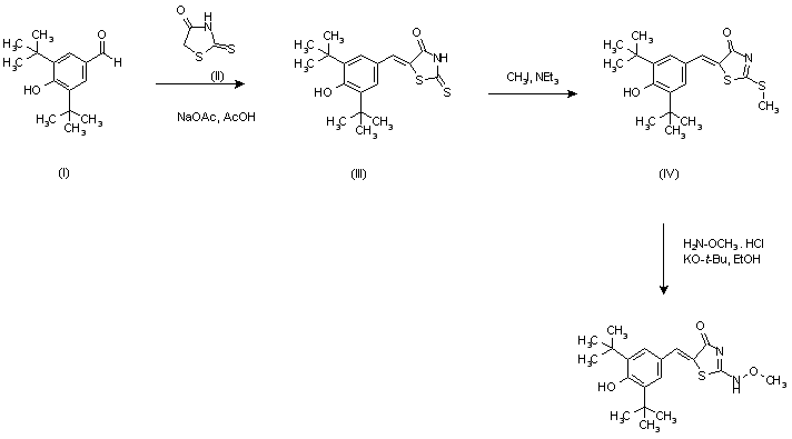
合成路线图解说明:

Knoevenagel condensation of benzaldehyde (I) with rhodanine (II) by means of sodium acetate in acetic acid afforded benzylidenethione (III). Alkylation with iodomethane in the presence of triethylamine gave methylthioether (IV), which was finally condensed with methoxamine hydrochloride and potassium tert--butoxide in refluxing ethanol to yield the title compound.

Drug Information Express,Drug R&D,Chemical Database,Patent Search.
Copyright © 2006-2026 Drug Future. All rights reserved.Contact Us