【药物名称】PNU-157706
化学结构式(Chemical Structure):
参考文献No.32898
标题:Phenylsubstd. 4-azasteroid fluoroderivs.
作者:Panzeri, A.; Nesi, M.; Di Salle, E. (Pharmacia & Upjohn AB)
来源:EP 0793671; JP 1998509188; US 5922728; WO 9710257
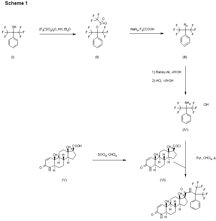
合成路线图解说明:

Title compound was prepared by two synthetic ways: 1) Treatment of hexafluorophenylpropanol (I) with KH and then with trifluoromethane- sulfonic anhydride gave triflate (II), which was converted into azide (III) by reaction with NaN3 in trifluoroacetic acid. Reduction of azide (III) with Raney-nickel in isopropanol afforded the corresponding amine, which was isolated as the hydrochloride salt (IV). Acid chloride (VI) was prepared from acid (V) by treatment with SOCl2. Then, condensation of (VI) with amine (IV) in the presence of pyridine provided the target amide.

合成路线图解说明:

2) Alternatively, oxoandrostenecarboxylic acid (VII) was converted into acid chloride (VIII) by treatment with oxalyl chloride and a trace of DMF in CH2Cl2. Subsequent condensation of (VIII) with amine (IV), prepared as before, yielded the corresponding amide (IX). The oxidative cleavage of (IX) with NaIO4 and KmnO4 afforded ketoacid (X), which was cyclized with ammonia in ethylene glycol at 180 C providing the azasteroid (XI). Catalytic hydrogenation of the double bond over PtO2 gave (XII), which was finally oxidized with phenylseleninic anhydride (XIII) in boiling chlorobenzene to furnish the 1,2-unsaturated compound.

Drug Information Express,Drug R&D,Chemical Database,Patent Search.
Copyright © 2006-2026 Drug Future. All rights reserved.Contact Us