【药物名称】Dersalazine, UR-12746S(sodium salt), UR-12746
化学结构式(Chemical Structure):
参考文献No.32848
标题:Azo derivs. of 5-aminosalicylic acid for treatment of inflammatory bowel disease
作者:Carceller, E.; Jimenez, P.J.; Salas, J.; Almansa, C.; Bartroli, J.; Merlos, M.; Giral, M.; Balsa, D.; Ferrando, R.; Garcia-Rafanell, J.; Forn, J. (J. Uriach & C韆., SA)
来源:EP 0790998; ES 2104513; ES 2106682; JP 1999501939; US 5747477; WO 9709329
合成路线图解说明:

4-(Aminomethyl)piperidine (I) was selectively protected at the piperidine N by means of Boc2O. The resultant 1-Boc-4-(aminomethyl)piperidine (II) was condensed with 4-chloro-3-nitropyridine (III) to afford the amino pyridine compound (IV). Catalytic hydrogenation of the nitro group of (IV) furnished the 3,4-diaminopyridine (V), which was cyclized with ethyl acetimidate hydrochloride (VI) to produce the imidazopyridine (VII). Subsequent acid cleavage of the Boc protecting group of (VII) provided the intermediate piperidine (VIII).

合成路线图解说明:

Horner-Emmons condensation of 4-nitrobenzophenone (IX) with triethyl phosphonoacetate produced a 2:1 mixture of Z and E nitrophenylcinnamic esters (XI) and (X). Alternatively, the desired Z isomer was obtained in a more favorable 8:1 ratio by condensation of (IX) with ethyl (trimethylsilyl)acetate under Peterson reaction conditions. Ester hydrolysis in the mixture (X) + (XI) with K2CO3 in aqueous methanol gave the corresponding mixture of carboxylic acids (XII). Optionally, the pure Z isomer could be isolated by recrystallization from EtOAc. DCC coupling of piperidine (VIII) with either the pure Z-isomer or the Z/E-mixture of carboxylic acids (XIIa-b) gave rise to the respective Z/E isomeric amides (XIIIa-b). After catalytic hydrogenation of the nitro group of (XIII), the required Z-(4-aminophenyl)cinnamamide isomer (XIV) was isolated by column chromatography. Finally, diazotization of (XIV), followed by coupling of the resultant diazonium salt (XV) to salicylic acid, furnished the title diazo compound.

合成路线图解说明:

4-(Aminomethyl)piperidine (I) was selectively protected at the piperidine N by means of Boc2O. The resultant 1-Boc-4-(aminomethyl)piperidine (II) was condensed with 4-chloro-3-nitropyridine (III) to afford the amino pyridine compound (IV). Catalytic hydrogenation of the nitro group of (IV) furnished the 3,4-diaminopyridine (V), which was cyclized with ethyl acetimidate hydrochloride (VI), to produce the imidazopyridine (VII). Subsequent acid cleavage of the Boc protecting group of (VII) provided the intermediate piperidine (VIII).

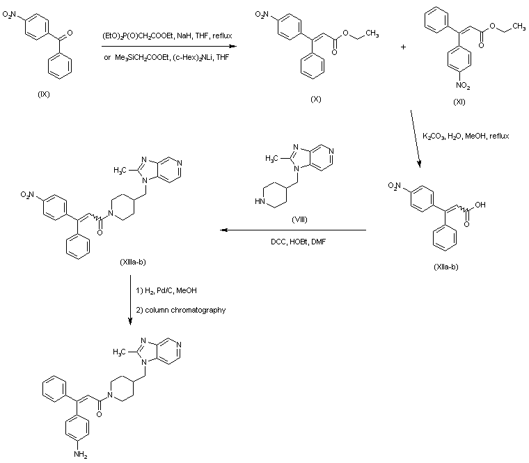
合成路线图解说明:

Horner-Emmons condensation of 4-nitrobenzophenone (IX) with triethyl phosphonoacetate produced a 2:1 mixture of Z and E nitrophenylcinnamic esters (XI) and (X). Alternatively, the desired Z isomer was obtained in a more favorable 8:1 ratio by condensation of (IX) with ethyl (trimethylsilyl)acetate under Peterson reaction conditions. Ester hydrolysis in the mixture (X)+(XI) with K2CO3 in aqueous methanol gave the corresponding mixture of carboxylic acids (XII). Optionally, the pure Z isomer could be isolated by recrystallization from EtOAc. DCC coupling of piperidine (VIII) with either the pure Z-isomer or the Z/E-mixture of carboxylic acids (XII) gave rise to the respective Z/E isomeric amides (XIII). The title Z-(4-aminophenyl)cinnamamide derivative was isolated by column chromatography after catalytic hydrogenation of the nitro group.

参考文献No.629926
标题:Novel azo derivatives prodrugs of 5-aminosalicylic acid and amino derivatives with potent platelet activating factor antagonist activity
作者:Carceller, E.; Salas, J.; Merlos, M.; Giral, M.; Ferrando, R.; Escamilla, I.; Ramis, J.; Garc韆-Rafanell, J.; Forn, J.
来源:J Med Chem 2001,44(18),3001
合成路线图解说明:

Horner-Emmons condensation of 4-nitrobenzophenone (IX) with triethyl phosphonoacetate produced a 2:1 mixture of Z and E nitrophenylcinnamic esters (XI) and (X). Alternatively, the desired Z isomer was obtained in a more favorable 8:1 ratio by condensation of (IX) with ethyl (trimethylsilyl)acetate under Peterson reaction conditions. Ester hydrolysis in the mixture (X) + (XI) with K2CO3 in aqueous methanol gave the corresponding mixture of carboxylic acids (XII). Optionally, the pure Z isomer could be isolated by recrystallization from EtOAc. DCC coupling of piperidine (VIII) with either the pure Z-isomer or the Z/E-mixture of carboxylic acids (XIIa-b) gave rise to the respective Z/E isomeric amides (XIIIa-b). After catalytic hydrogenation of the nitro group of (XIII), the required Z-(4-aminophenyl)cinnamamide isomer (XIV) was isolated by column chromatography. Finally, diazotization of (XIV), followed by coupling of the resultant diazonium salt (XV) to salicylic acid, furnished the title diazo compound.

合成路线图解说明:

Horner-Emmons condensation of 4-nitrobenzophenone (IX) with triethyl phosphonoacetate produced a 2:1 mixture of Z and E nitrophenylcinnamic esters (XI) and (X). Alternatively, the desired Z isomer was obtained in a more favorable 8:1 ratio by condensation of (IX) with ethyl (trimethylsilyl)acetate under Peterson reaction conditions. Ester hydrolysis in the mixture (X)+(XI) with K2CO3 in aqueous methanol gave the corresponding mixture of carboxylic acids (XII). Optionally, the pure Z isomer could be isolated by recrystallization from EtOAc. DCC coupling of piperidine (VIII) with either the pure Z-isomer or the Z/E-mixture of carboxylic acids (XII) gave rise to the respective Z/E isomeric amides (XIII). The title Z-(4-aminophenyl)cinnamamide derivative was isolated by column chromatography after catalytic hydrogenation of the nitro group.

Drug Information Express,Drug R&D,Chemical Database,Patent Search.
Copyright © 2006-2026 Drug Future. All rights reserved.Contact Us