【药物名称】ADD-233089, AWD-131-138
化学结构式(Chemical Structure):
参考文献No.450427
标题:AWD-131-138
作者:Tober, C.; Unverferth, K.; Stark, B.; Rostock, A.; Dost, R.; Kronbach, T.; Schupke, H.; Bartsch, R.; Egerland, U.; Lankau, H-J.; Rundfeldt, C.
来源:Drugs Fut 1998,23(3),253
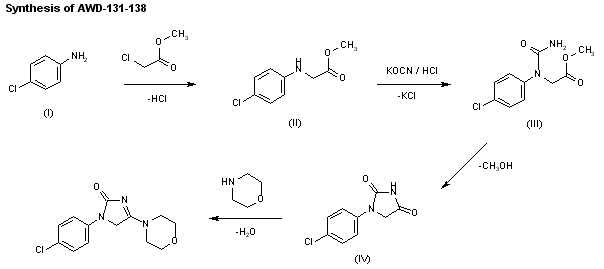
合成路线图解说明:

The synthesis of AWD 131-138 is obtained as illustrated in Scheme 25002101a: The alkylation of 4-chloroaniline (I) with chloroacetic acid methyl ester in ethanol gives N-(4-chlorophenyl)glycine methyl ester (II), which is added to cyanate by means of hydrochloric acid in glacial acetic acid to yield 3-(4-chlorophenyl)hydantoic acid methyl ester (III). The cyclization in hydrochloric acid yields 1-(4-chlorophenyl)hydantoin (IV), which is finally condensed with morpholine.

Drug Information Express,Drug R&D,Chemical Database,Patent Search.
Copyright © 2006-2026 Drug Future. All rights reserved.Contact Us