【药物名称】XQ-443, DMP-851
化学结构式(Chemical Structure):
参考文献No.473010
标题:Design and selection of DMP 850 and DMP 851: The next generation of cyclic urea HIV protease inhibitors
作者:Rodgers, J.D.; Lam, P.Y.S.; Johnson, B.L.; Wang, H.; Li, R.; Ru, Y.; Ko, S.S.; Seitz, S.P.; Trainor, G.L.; Anderson, P.S.; Klabe, R.M.; Bacheler, L.T.; Cordova, B.; Garber, S.; Reid, C.; Wright, M.R.; Chang, C.-H.; Erickson-Viitanen, S.
来源:Chem Biol 1998,5(10),597
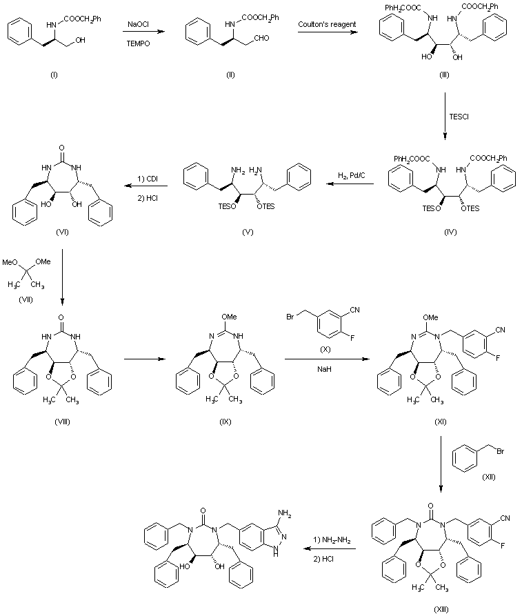
合成路线图解说明:

The synthesis of DMP-851 has been performed as follows: The oxidation of N-(benzyloxycarbonyl)-D-phenylalaninol (I) with NaOCl catalized by 2,2,6,6-tetramethyl-1-piperidinyloxyl free radical (TEMPO) and NaBr in water gives the corresponding aldehyde (II), which is dimerized by means of the Coulton's reagent (VCl3/Zn/THF) to the pinacol (III). The silylation of (III) with triethylsilyl chloride and imidazole in DMF yields the silylated diol (IV), which is submitted to hydrogenolysis with H2 over Pd/C in toluene affording the free diamine (V). The cyclization of (V) with carbonyldiimidazole (CDI) in toluene followed by desilylation with 1N HCl gives (4R,5S,6S,7R)-4,7-dibenzyl-5,6-dihydroxyperhydro-1,3-diazepin-2-one (VI), which is treated with 2,2-dimethoxypropane (VII) and p-toluenesulfonic acid in DMF yielding the corresponding acetonide (VIII) [Pierce, M.E. et al. J Org Chem 1996, 61(2): 444]. The methylation of (VIII) with methyl triflate in refluxing dichloroethane affords the cyclic isourea (IX), which is alkylated with butyl iodide/NaH in DMF giving the N-monobutyl derivative (X). A new alkylation of (X) with 3-cyano-4-fluorobenzyl bromide (XI) in refluxing acetonitrile yields the disubstituted cyclic urea (XII), which is finally treated with hydrazine in refluxing butanol to generate the indazole ring, and treated with HCl in methanol to eliminate the acetonide group.

合成路线图解说明:

The oxidation of N-(benzyloxycarbonyl)-D-phenylalaninol (I) with NaOCl catalized by 2,2,6,6-tetramethyl-1-piperidinyloxy free radical (TEMPO) and NaBr in water gives the corresponding aldehyde (II), which is dimerized by means of the Coulton's reagent (VCl3/Zn/THF) to the pinacol (III)(1). The silylation of (III) with triethylsilyl chloride and imidazole in DMF yields the silylated diol (IV), which is submitted to hydrogenolysis with H2 over Pd/C in toluene to afford the free diamine (V). The cyclization of (V) with carbonyldimidazole (CDI) in toluene followed by desilylation with 1N HCl gives (4R,5S,6S,7R)-4,7-dibenzyl-5,6-dihydroxyperhydro-1,3-diazepin-2-one (VI), which is treated with 2,2-dimethoxypropane (VII) and p-toluenesulfonic acid in DMF yielding the corresponding acetonide (VIII). The methylation of (VIII) with methyl triflate in refluxing dichloroethane affords the cyclic isourea (IX), which is alkylated with 3-cyano-4-fluorobenzyl bromide (X)/NaH in DMF giving the N-monobenzyl derivative (XI). A new alkylation of (XI) with benzyl bromide (XII) in refluxing acetonitrile yields the disubstituted cyclic urea (XIII), which is finally treated with hydrazine in refluxing butanol to generate the indazole ring and treated with HCl in methanol to eliminate the acetonide group.

Drug Information Express,Drug R&D,Chemical Database,Patent Search.
Copyright © 2006-2026 Drug Future. All rights reserved.Contact Us