【药物名称】
化学结构式(Chemical Structure):
参考文献No.32755
标题:Interleukin converting enzyme and apoptosis
作者:Levy, M.A.; Gleason, J.G. (SmithKline Beecham plc)
来源:EP 0851760; JP 1999514345; WO 9707805
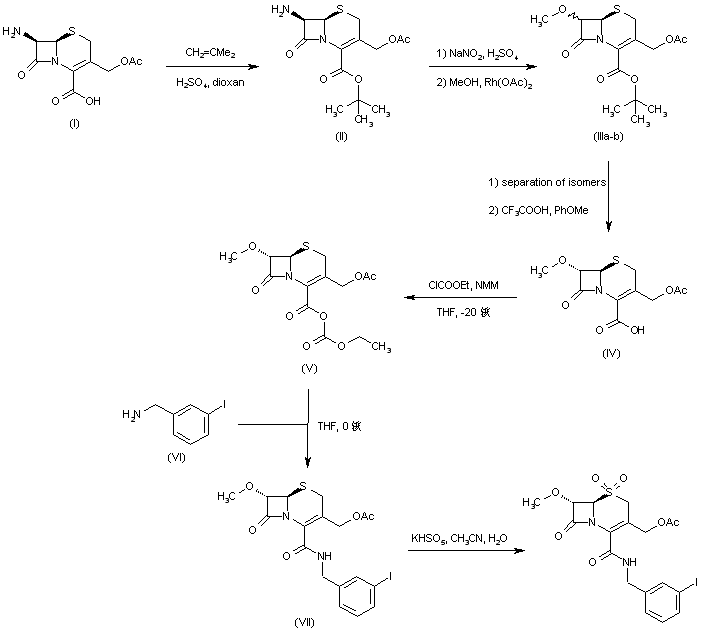
合成路线图解说明:

7-Aminocephalosporanic acid (I) was converted to tert-butyl ester (II) by treatment with isobutylene and sulfuric acid. Subsequent diazotization, followed by reaction with methanol and rhodium catalyst, provided the 7-methoxy derivative (IIIa-b) as a diastereomeric mixture. The desired 7S-isomer was then deprotected with trifluoroacetic acid in anisole, yielding carboxylic acid (IV). Coupling of acid (IV) with 3-iodobenzylamine (VI) via activation as the mixed anhydride (V) with ethyl chloroformate gave rise to amide (VII). The sulfide group of (VII) was finally converted into the title sulfone by oxidation with oxone.

参考文献No.561032
标题:Preparation of 3-125I-benzyl-(6R,7S9-7-methoxy-3-acetoxymethyl-3-cephem-4-carboxamide-1,1-dioxide
作者:Garnes, K.T.; et al.
来源:J Label Compd Radiopharm 1999,42(1),77
合成路线图解说明:

The synthesis of the 125I-labeled compound is shown in Scheme 2. Carboxylic acid (IV) was coupled with 3-(tri-n-butylstannyl)benzylamine (VIII) via the mixed anhydride (V) to produce amide (IX). Subsequent oxidation with oxone afforded the sulfone (X). Finally, iododestannylation of (X) employing Na125I and chloramine-T furnished the radiolabeled compound.

Drug Information Express,Drug R&D,Chemical Database,Patent Search.
Copyright © 2006-2026 Drug Future. All rights reserved.Contact Us