【药物名称】Solifenacin succinate, YM-53705(monoHCl), YM-905, Vesicare
化学结构式(Chemical Structure):
参考文献No.30498
标题:Novel quinuclidine derivs. and medicinal compsn. thereof
作者:Takeuchi, M.; Naito, R.; Hayakawa, M.; Okamoto, Y.; Yonetoku, Y.; Ikeda, K.; Isomura, Y. (Yamanouchi Pharmaceutical Co., Ltd.)
来源:EP 0801067; US 6017927; WO 9620194
合成路线图解说明:

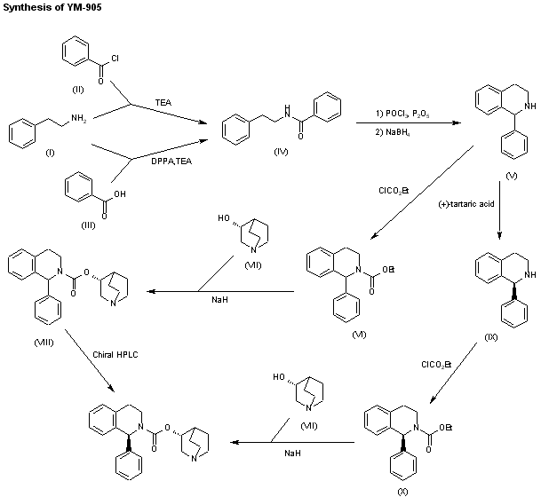
YM-905 has been obtained by two related ways: 1) The benzoylation of 2-phenylethylamine (I) with benzoyl chloride (II) and triethylamine in chloroform, or with benzoic acid (III), DPPA and triethylamine in DMF, gives the corresponding benzamide (IV), which is cyclized by means of POCl3 and P2O5 in refluxing xylene and reduced with NaBH4 in ethanol, yielding racemic 1-phenyl-1,2,3,4-tetrahydroisoquinoline (V). The reaction of (V) with ethyl chloroformate by means of K2CO3 in chloroform affords racemic 1-phenyl-1,2,3,4-tetrahydroisoquinoline-2-carboxylic acid ethyl ester (VI), which is transesterified with quinuclidine-3(R)-ol (VII) by means of NaH in refluxing toluene to provide the quinuclidinyl ester (VIII) as a diastereomeric mixture. This mixture is resolved by chiral HPLC, giving the target compound as a pure enantiomer. 2) The racemic 1-phenyl-1,2,3,4-tetrahydroisoquinoline (V) can also be submitted to optical resolution with (+)-tartaric acid to give 1(S)-phenyl-1,2,3,4-tetrahydroisoquinoline (IX), which is condensed with ethyl chloroformate by means of K2CO3 in chloroform to afford 1(S)-phenyl-1,2,3,4-tetrahydroisoquinoline-2-carboxylic acid ethyl ester (VI). This compound is transesterified with quinuclidine-3(R)-ol (VII) by means of NaH in refluxing toluene to directly provide the pure enantiomer.

参考文献No.534524
标题:YM-905
作者:Mealy, N.; Casta馿r, J.
来源:Drugs Fut 1999,24(8),871
合成路线图解说明:

YM-905 has been obtained by two related ways: 1) The benzoylation of 2-phenylethylamine (I) with benzoyl chloride (II) and triethylamine in chloroform, or with benzoic acid (III), DPPA and triethylamine in DMF, gives the corresponding benzamide (IV), which is cyclized by means of POCl3 and P2O5 in refluxing xylene and reduced with NaBH4 in ethanol, yielding racemic 1-phenyl-1,2,3,4-tetrahydroisoquinoline (V). The reaction of (V) with ethyl chloroformate by means of K2CO3 in chloroform affords racemic 1-phenyl-1,2,3,4-tetrahydroisoquinoline-2-carboxylic acid ethyl ester (VI), which is transesterified with quinuclidine-3(R)-ol (VII) by means of NaH in refluxing toluene to provide the quinuclidinyl ester (VIII) as a diastereomeric mixture. This mixture is resolved by chiral HPLC, giving the target compound as a pure enantiomer. 2) The racemic 1-phenyl-1,2,3,4-tetrahydroisoquinoline (V) can also be submitted to optical resolution with (+)-tartaric acid to give 1(S)-phenyl-1,2,3,4-tetrahydroisoquinoline (IX), which is condensed with ethyl chloroformate by means of K2CO3 in chloroform to afford 1(S)-phenyl-1,2,3,4-tetrahydroisoquinoline-2-carboxylic acid ethyl ester (VI). This compound is transesterified with quinuclidine-3(R)-ol (VII) by means of NaH in refluxing toluene to directly provide the pure enantiomer.

Drug Information Express,Drug R&D,Chemical Database,Patent Search.
Copyright © 2006-2026 Drug Future. All rights reserved.Contact Us