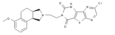
【药物名称】
化学结构式(Chemical Structure):
参考文献No.30606
标题:Tricyclic substd. hexahydrobenz[e]isoindole alpha-1 adrenergic antagonists
作者:Meyer, M.D.; Altenbach, R.J.; Basha, F.Z.; Carroll, W.A.; Drizin, I.; Kerwin, J.F. Jr.; Lebold, S.A.; Lee, E.L.; Elmore, S.W.; Sippy, K.B.; Tietje, K.R.; Wendt, M.D.; Yamamoto, D.M. (Abbott Laboratories Inc.)
来源:EP 0808318; US 5597823; WO 9622992
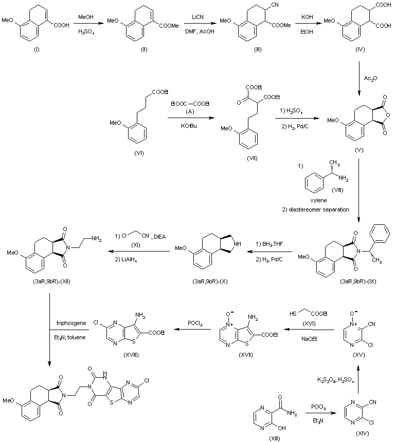
合成路线图解说明:

Treatment of carboxylic acid (I) with MeOH and H2SO4 yields methyl ester (II), which is then converted into cyano derivative (III) by reaction with LiCN in DMF and AcOH. Hydrolysis of (III) with aqueous KOH in EtOH provides dicarboxylic acid (IV), which is cyclized by means of Ac2O to give the dicarboxylic anhydride (V). Alternatively, (V) can be obtained by condensation of ester (VI) with diethyl oxalate (A) in Et2O in the presence of t-BuOK to afford (VII), which is cyclized with H2SO4 and submitted to catalytic hydrogenation over Pd/C. Condensation of anhydride (V) with (S)-alpha-methylbenzylamine yields a mixture of imides, from which (3aR,9bR)-(IX) is obtained by crystallization. Reduction of (3aR,9bR)-(IX) with BH3稵HF followed by hydrogenation over Pd/C affords isoindole derivative (X), which is then alkylated with chloroacetonitrile (XI) in acetonitrile in the presence of DIEA and reduced with LiAlH4 to give the primary amine (XII). Treatment of (XIII) with POCl3 and Et3N yields 2-chloro-3-cyanopyrazine (XIV), which is oxidized to provide (XV) by means of K2S2O8 in H2SO4. Treatment of N-oxide (XV) with ethyl thioglycolate (XVI) and NaOEt in DMF affords pyrazinothiophene (XVII), which is then chlorinated with POCl3 to give (XVIII). Finally, reaction of amine (XII) with (XVIII) and triphosgene in toluene and Et3N affords the desired product.

参考文献No.574793
标题:Structure-activity studies for a novel series of tricycic substituted hexahydrobenz[e]isoindole alpha1A adrenoceptor antagonists as potential agents for the symptomatic treatment of bening prostatic hyperplasia (BPH)
作者:Meyer, M.D.; Altenbach, R.J.; Basha, F.Z.; Carroll, W.A.; Condon, S.; Elmore, S.W.; Kerwin, J.F. Jr.; Sippy, K.B.; Tietje, K.; Wendt, M.D.; Hancock, A.A.; Brune, M.E.; Buckner, S.A.; Drizin, I.
来源:J Med Chem 2000,43(8),1586
合成路线图解说明:

Treatment of carboxylic acid (I) with MeOH and H2SO4 yields methyl ester (II), which is then converted into cyano derivative (III) by reaction with LiCN in DMF and AcOH. Hydrolysis of (III) with aqueous KOH in EtOH provides dicarboxylic acid (IV), which is cyclized by means of Ac2O to give the dicarboxylic anhydride (V). Alternatively, (V) can be obtained by condensation of ester (VI) with diethyl oxalate (A) in Et2O in the presence of t-BuOK to afford (VII), which is cyclized with H2SO4 and submitted to catalytic hydrogenation over Pd/C. Condensation of anhydride (V) with (S)-alpha-methylbenzylamine yields a mixture of imides, from which (3aR,9bR)-(IX) is obtained by crystallization. Reduction of (3aR,9bR)-(IX) with BH3稵HF followed by hydrogenation over Pd/C affords isoindole derivative (X), which is then alkylated with chloroacetonitrile (XI) in acetonitrile in the presence of DIEA and reduced with LiAlH4 to give the primary amine (XII). Treatment of (XIII) with POCl3 and Et3N yields 2-chloro-3-cyanopyrazine (XIV), which is oxidized to provide (XV) by means of K2S2O8 in H2SO4. Treatment of N-oxide (XV) with ethyl thioglycolate (XVI) and NaOEt in DMF affords pyrazinothiophene (XVII), which is then chlorinated with POCl3 to give (XVIII). Finally, reaction of amine (XII) with (XVIII) and triphosgene in toluene and Et3N affords the desired product.

Drug Information Express,Drug R&D,Chemical Database,Patent Search.
Copyright © 2006-2026 Drug Future. All rights reserved.Contact Us