【药物名称】
化学结构式(Chemical Structure):
参考文献No.477822
标题:Thieno[2,3-d]pyrimidine-3-acetic acids a new class of nonpeptide endothelin receptor antagonists
作者:Cho, N.; Nara, Y.; Harada, M.; Sugo, T.; Masuda, Y.; Abe, A.; Kusumoto, K.; Itoh, Y.; Ohtaki, T.; Watanabe, T.; Furuya, S.
来源:Chem Pharm Bull 1998,46(11),1724
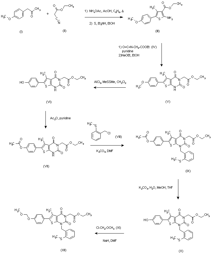
合成路线图解说明:

Thiophene (III) was obtained by condensation of (4-methoxyphenyl)acetone (I) with ethyl cyanoacetate (II) in the presence of NH4OAc and AcOH, followed by treatment with sulfur and diethylamine. Subsequent reaction of (III) with ethyl isocyanato-acetate (IV) in pyridine at 45 C and further cyclization with ethanolic NaOEt provided the thienopyrimidine (V). Cleavage of the methyl ether was performed by treatment with AlCl3 and dimethyl disulfide in CH2Cl2 at r.t. to afford phenol (VI), which was then acetylated with Ac2O in pyridine to give ester (VII). N-Alkylation with 2-(methylsulfanyl)benzyl chloride (VIII) in the presence of K2CO3 in DMF yielded (IX), and then the acetate ester was hydrolyzed with K2CO3 in a mixture of H2O/MeOH/THF. The resulting phenol (X) was alkylated with chloromethyl methyl ether (XI) in the presence of NaH to provide (XII).

合成路线图解说明:

After bromination of the methyl group of (XII) with N-bromosuccinimide in the presence of 2,2'-azobis(isobutyro-nitrile) to give (XIII), the aminomethyl derivative (XVI) was obtained by condensation with potassium phthalimide (XIV) in DMF and subsequent hydrazinolysis of the resulting (XV). Treatment with methanesulfonyl chloride and triethylamine then provided sulfonamide (XVII), and the ester function was finally hydrolyzed to the target carboxylic acid with NaOH in a mixture of H2O/MeOH/THF.

Drug Information Express,Drug R&D,Chemical Database,Patent Search.
Copyright © 2006-2026 Drug Future. All rights reserved.Contact Us