【药物名称】HX-531
化学结构式(Chemical Structure):
参考文献No.32926
标题:Cpds. potentiating retinoid
作者:Shudo, K. (Nikken Chemicals Co., Ltd.)
来源:JP 1998059951; US 5929069; US 6121256; WO 9711061
合成路线图解说明:

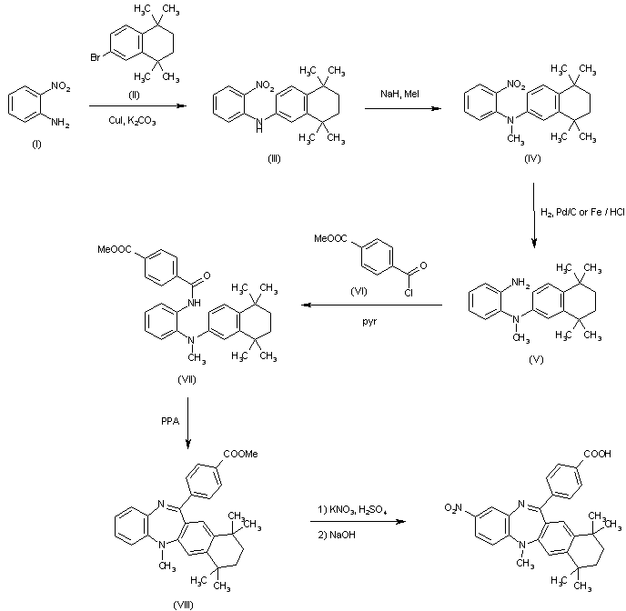
Treatment of o-nitroaniline (I) with 6-bromo-1,2,3,4-tetrahydro-1,1,4,4-tetramethylnaphtalene (II), K2CO3 and CuI in xylene yields diphenylamine derivative (III), which is then N-methylated by means of NaH and MeI in DMF to provide (IV). Reduction of the nitro group of (IV) by hydrogenation over Pd/C in ethanol or by treatment with Fe and HCl in H2O/EtOH affords the corresponding amine derivative (V), which is then condensed with terephthalic acid monomethyl ester chloride (VI) in benzene/pyridine to furnish compound (VII). Cyclization of (VII) by means of polyphosphoric acid (PPA) in CH2Cl2 gives diazepin derivative (VIII), which is finally converted in the target product by first nitration with KNO3 in H2SO4 followed by hydrolysis with NaOH in EtOH.

参考文献No.563172
标题:Retinoid X receptor-antagonistic diazepinylbenzoic acids
作者:Ebisawa, M.; Umemiya, H.; Ohta, K.; Fukasawa, H.; Kawachi, E.; Christoffel, G.; Gronemeyer, H.; Tsuji, M.; Hashimoto, Y.; Shudo, K.; Kagechika, H.
来源:Chem Pharm Bull 1999,47(12),1778
合成路线图解说明:

Treatment of o-nitroaniline (I) with 6-bromo-1,2,3,4-tetrahydro-1,1,4,4-tetramethylnaphtalene (II), K2CO3 and CuI in xylene yields diphenylamine derivative (III), which is then N-methylated by means of NaH and MeI in DMF to provide (IV). Reduction of the nitro group of (IV) by hydrogenation over Pd/C in ethanol or by treatment with Fe and HCl in H2O/EtOH affords the corresponding amine derivative (V), which is then condensed with terephthalic acid monomethyl ester chloride (VI) in benzene/pyridine to furnish compound (VII). Cyclization of (VII) by means of polyphosphoric acid (PPA) in CH2Cl2 gives diazepin derivative (VIII), which is finally converted in the target product by first nitration with KNO3 in H2SO4 followed by hydrolysis with NaOH in EtOH.

Drug Information Express,Drug R&D,Chemical Database,Patent Search.
Copyright © 2006-2026 Drug Future. All rights reserved.Contact Us