【药物名称】Traxoprodil mesylate, CP-101606-27
化学结构式(Chemical Structure):
参考文献No.22753
标题:2-Piperidino-1-alkanol derivs. as antiischemic agents
作者:Chenard, B.L. (Pfizer Inc.)
来源:US 5272160
合成路线图解说明:

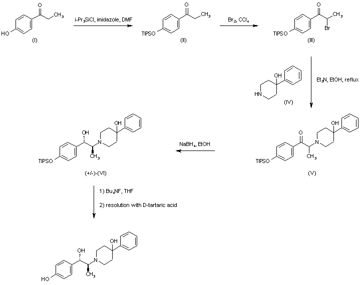
4-Hydroxypropiophenone (I) was protected as the triisopropylsilyl ether (II) and subsequently brominated with elemental bromine in CCl4 . The resultant bromo ketone (III) was subsequently coupled with 4-hydroxy-4-phenylpiperidine (IV) to afford the racemic amino ketone (V). This was stereoselectively reduced with NaBH4 in EtOH yielding the threo-amino alcohol (VI). Then, desilylation of (VI) with tetrabutylammonium fluoride furnished the racemic phenol compound. Resolution into the enantiomers has been reported by formation of the corresponding D-tartaric acid salts

合成路线图解说明:

4-Hydroxypropiophenone (I) was protected as the triisopropylsilyl ether (II) and subsequently brominated with elemental bromine in CCl4. The resultant bromo ketone (III) was subsequently coupled with 4-hydroxy-4-phenylpiperidine (IV) to afford the racemic amino ketone (V). This was stereoselectively reduced with NaBH4 in EtOH yielding the threo-amino alcohol (VI). Then, desilylation of (VI) with tetrabutylammonium fluoride furnished the racemic phenol compound. Resolution into the enantiomers has been reported by formation of the corresponding D-tartaric acid salts. Finally, the title product was obtained by dissolving D-(-)-tartaric salt (VII) in water in the presence of methanesulfonic acid

参考文献No.55736
标题:Process for the preparation of the mesylate salt trihydrate of 1-(4-hydroxyphenyl)-2-(4-hydroxy-4-phenylpiperidin-1-yl)-1-propanol and intermediates useful therefor
作者:Walinsky, S.W.; Rainville, J.P.; Sinay, T.G. Jr. (Pfizer Products Inc.)
来源:EP 1149831
合成路线图解说明:

In a related process, the racemic piperidinyl ketone (VII) was initially resolved employing D-tartaric acid. The target (2S)-piperidinyl propanone (VIII) was then diastereoselectively reduced to the (1S,2S)-alcohol (IX) employing LiBH4 in EtOH. Finally, debenzylation of (IX) by catalytic hydrogenolysis yielded the title compound

合成路线图解说明:

In a related process, the racemic piperidinyl ketone (VIII) was initially resolved employing D-tartaric acid and then subjected to a diastereoselective reduction to the (1S,2S)-alcohol (IX) employing LiBH4 in EtOH. Finally, debenzylation of (IX) by catalytic hydrogenolysis with Pd/C in EtOH and methanesulfonic acid, followed by addition of water, yielded the title compound

参考文献No.55737
标题:Process for the preparation of the mesylate salt trihydrate of 1-(4-hydroxyphenyl)-2-(4-hydroxy-4-phenylpiperidin-1-yl)-1-propanol
作者:Walinsky, S.W.; Rainville, J.P.; Sinay, T.G. Jr. (Pfizer Products Inc.)
来源:EP 1151995
合成路线图解说明:

4-Hydroxypropiophenone (I) was protected as the triisopropylsilyl ether (II) and subsequently brominated with elemental bromine in CCl4 . The resultant bromo ketone (III) was subsequently coupled with 4-hydroxy-4-phenylpiperidine (IV) to afford the racemic amino ketone (V). This was stereoselectively reduced with NaBH4 in EtOH yielding the threo-amino alcohol (VI). Then, desilylation of (VI) with tetrabutylammonium fluoride furnished the racemic phenol compound. Resolution into the enantiomers has been reported by formation of the corresponding D-tartaric acid salts

合成路线图解说明:

4-Hydroxypropiophenone (I) was protected as the triisopropylsilyl ether (II) and subsequently brominated with elemental bromine in CCl4. The resultant bromo ketone (III) was subsequently coupled with 4-hydroxy-4-phenylpiperidine (IV) to afford the racemic amino ketone (V). This was stereoselectively reduced with NaBH4 in EtOH yielding the threo-amino alcohol (VI). Then, desilylation of (VI) with tetrabutylammonium fluoride furnished the racemic phenol compound. Resolution into the enantiomers has been reported by formation of the corresponding D-tartaric acid salts. Finally, the title product was obtained by dissolving D-(-)-tartaric salt (VII) in water in the presence of methanesulfonic acid

参考文献No.348895
标题:(1S,2S)-1-(4-Hydroxyphenyl)-2-(4-hydroxy-4-phenylpiperidino)-1-propanol: A potent new neuroprotectant which blocks N-methyl-D-aspartate responses
作者:Chenard, B.L.; Bordner, J.; Butler, T.W.; Chambers, L.K.; Collins, M.A.; De Costa, D.L.; Ducat, M.F.; Dumont, M.L.; Fox, C.B.; Mena, E.E.; et al.
来源:J Med Chem 1995,38(16),3138
合成路线图解说明:

4-Hydroxypropiophenone (I) was protected as the triisopropylsilyl ether (II) and subsequently brominated with elemental bromine in CCl4 . The resultant bromo ketone (III) was subsequently coupled with 4-hydroxy-4-phenylpiperidine (IV) to afford the racemic amino ketone (V). This was stereoselectively reduced with NaBH4 in EtOH yielding the threo-amino alcohol (VI). Then, desilylation of (VI) with tetrabutylammonium fluoride furnished the racemic phenol compound. Resolution into the enantiomers has been reported by formation of the corresponding D-tartaric acid salts

合成路线图解说明:

4-Hydroxypropiophenone (I) was protected as the triisopropylsilyl ether (II) and subsequently brominated with elemental bromine in CCl4. The resultant bromo ketone (III) was subsequently coupled with 4-hydroxy-4-phenylpiperidine (IV) to afford the racemic amino ketone (V). This was stereoselectively reduced with NaBH4 in EtOH yielding the threo-amino alcohol (VI). Then, desilylation of (VI) with tetrabutylammonium fluoride furnished the racemic phenol compound. Resolution into the enantiomers has been reported by formation of the corresponding D-tartaric acid salts. Finally, the title product was obtained by dissolving D-(-)-tartaric salt (VII) in water in the presence of methanesulfonic acid

Drug Information Express,Drug R&D,Chemical Database,Patent Search.
Copyright © 2006-2026 Drug Future. All rights reserved.Contact Us