【药物名称】18-Methoxycoronaridine, 18-MC
化学结构式(Chemical Structure):
参考文献No.32689
标题:Ibogamine congeners
作者:Glick, S.D.; Kuehne, M.E. (Albany Medical College; University of Vermont)
来源:US 6211360; WO 9705869
合成路线图解说明:

The condensation of allylmalonic acid diethyl ester (I) with 2-methoxyethyl bromide (II) by means of NaOEt in ethanol gives 2-allyl-2-(2-methoxyethyl)malonic acid diethyl ester (III), which is monodecarboxylated with LiCl in DMSO/DMF at 170 C to yield the pentenoic ester (IV). The reduction of the ester group of (IV) with LiAlH4 in dry ether affords the alcohol (V), which is oxidized to the corresponding aldehyde (VI) with (COCl)2 in dichloromethane. The protection of the aldehyde group of (VI) with ethyleneglycol (VII) and Ts-OH affords the cyclic ketal (VIII), which is treated with BH3/Me2S in dichloromethane to provide the primary alcohol (IX). The oxidation of (IX) with (COCl)2 as before gives the corresponding aldehyde (X), which is condensed with the indoloazepine (XI) in refluxing toluene, yielding the pyrrolocarbazole derivative (XII). The reductive ring opening of (XII) with NaBH4 in hot acetic acid affords the tricyclic intermediate (XIII), which is debenzylated with H2 over Pd/C in acetic acid to provide the secondary amine (XIV). The deprotection of the cyclic ketal group of (XIV) with HCl and HOAc, followed by treatment with NaOH, induces cyclization to the tetracyclic compound (XV), which is finally cyclized to the target compound in refluxing toluene.

参考文献No.546927
标题:Total syntheses of racemic albifloranine and its anti-addictive congeners, including 18-methoxycoronaridine
作者:Bandarage, U.K.; et al.
来源:Tetrahedron 1999,55(31),9405
合成路线图解说明:

The condensation of allylmalonic acid diethyl ester (I) with 2-methoxyethyl bromide (II) by means of NaOEt in ethanol gives 2-allyl-2-(2-methoxyethyl)malonic acid diethyl ester (III), which is monodecarboxylated with LiCl in DMSO/DMF at 170 C to yield the pentenoic ester (IV). The reduction of the ester group of (IV) with LiAlH4 in dry ether affords the alcohol (V), which is oxidized to the corresponding aldehyde (VI) with (COCl)2 in dichloromethane. The protection of the aldehyde group of (VI) with ethyleneglycol (VII) and Ts-OH affords the cyclic ketal (VIII), which is treated with BH3/Me2S in dichloromethane to provide the primary alcohol (IX). The oxidation of (IX) with (COCl)2 as before gives the corresponding aldehyde (X), which is condensed with the indoloazepine (XI) in refluxing toluene, yielding the pyrrolocarbazole derivative (XII). The reductive ring opening of (XII) with NaBH4 in hot acetic acid affords the tricyclic intermediate (XIII), which is debenzylated with H2 over Pd/C in acetic acid to provide the secondary amine (XIV). The deprotection of the cyclic ketal group of (XIV) with HCl and HOAc, followed by treatment with NaOH, induces cyclization to the tetracyclic compound (XV), which is finally cyclized to the target compound in refluxing toluene.

参考文献No.576845
标题:Synthesis of enantiomerically pure (+)- and (-)-18-methoxycoronaridine hydrochloride and their preliminary assessment as anti-addictive agents
作者:King, C.-H.R.; Meckler, H.; Herr, R.J.; Trova, M.P.; Glick, S.D.; Maisonneuve, I.M.
来源:Bioorg Med Chem Lett 2000,10(5),473
合成路线图解说明:

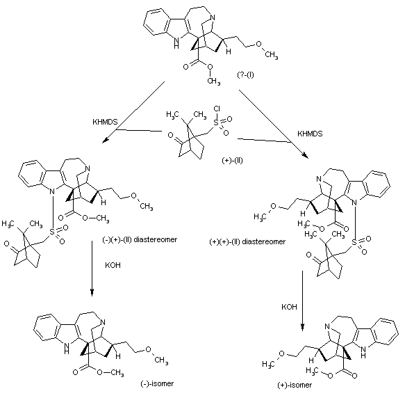
The condensation of (rac?-18-methoxycoronaridine with (S)-(+)-camphorsulfonyl chloride (II) by means of KHMDS in THF gives the corresponding mixture of the diastereomeric sulfonamides (-)-(+)-(III) and (+)-(+)-(III), which are separated by normal phase silica gel chromatography. Both diastereomers are treated with KOH in methanol, yielding the target (-)- and (+)-enantiomers.

参考文献No.612797
标题:Enantioselective syntheses of coronaridine and 18-methoxycoronaridine
作者:Kuehne, M.E.; et al.
来源:Tetrahedron 2001,57(11),2085
合成路线图解说明:

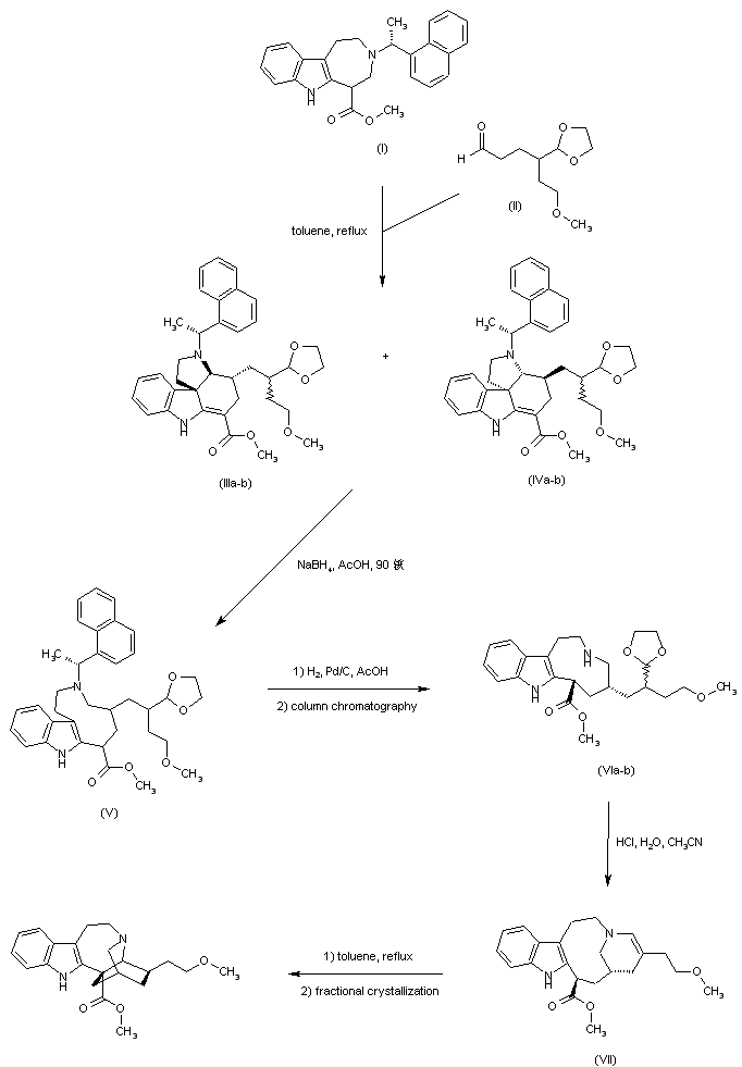
Condensation of the indoloazepine (I) bearing a chiral N-(1-naphthylethyl) substituent with 4-(1,3-dioxolan-2-yl)-6-methoxyhexanal (II) through a secodine-type intramolecular Diels-Alder reaction generated the epimeric mixture of pyrrolocarbazoles (III) along with minor amounts of their diastereoisomers (IV). The subsequent reductive ring cleavage of this mixture yielded the corresponding mixture of tricyclic compounds (V). Hydrogenolysis of the N-naphthylethyl group of (V), followed by chromatographic separation, gave the enantiomerically enriched secondary amines (VI). Acetal hydrolysis of (VI) with simultaneous cyclization of a transient aminoaldehyde provided the tetracyclic enamine (VII). Rearrangement of this enamine in refluxing toluene furnished the desired compound in 76% ee, which was further enriched to >98% ee by fractional crystallization.

合成路线图解说明:

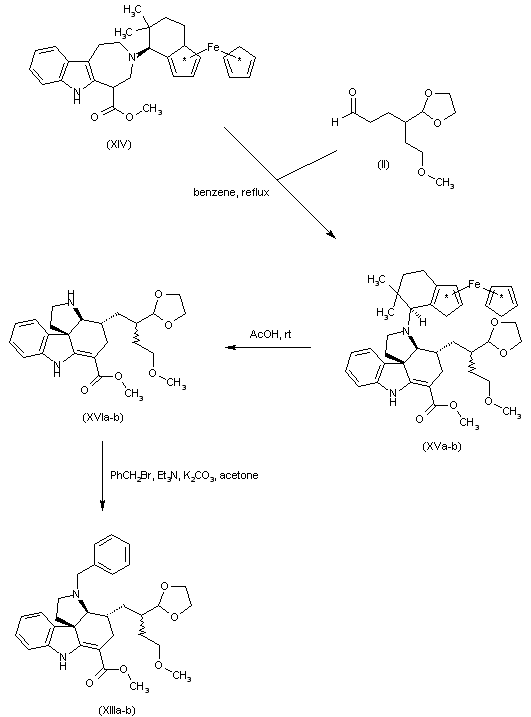
In an alternative procedure, aldehyde (II) was condensed with the indoloazepine (VIII) bearing a chiral N-alpha-ferrocenylethyl substituent to provide an equimolecular mixture of two separable C-20 epimeric diastereomers (IX) and (X), each accompanied by a minor diastereoisomeric byproduct. Cleavage of the ferrocenyl substituent with HOAc at 70 C provided the secondary amines (XI) and (XII). In this cleavage, the C-3,C-7 epimeric products were formed in 12% yield and were separated by chromatography. The major secondary amines (XI) and (XII) were N-benzylated to provide the corresponding tertiary amines (XIII). Reductive ring cleavage, followed by hydrogenolysis of the N-benzyl group, then gave the tricyclic compounds (VI), which were cyclized and rearranged as above.

合成路线图解说明:

In an improved synthesis, condensation of the beta-dimethyltetramethylene-ferrocene derivative (XIV) with aldehyde (II) produced the unseparable C-20 epimeric mixture (XV) without appreciable amounts of diastereomeric byproducts. Cleavage of the chiral auxiliary group with HOAc under milder conditions furnished the secondary amines (XVI) with minimal C-3,C-7 epimerization. Benzylation of amines (XVI) then gave the enantiomerically pure tertiary amines (XIII), which were finally processed as above.

Drug Information Express,Drug R&D,Chemical Database,Patent Search.
Copyright © 2006-2026 Drug Future. All rights reserved.Contact Us