【药物名称】234551, SB-234551
化学结构式(Chemical Structure):
参考文献No.32559
标题:Endothelin receptor antagonists
作者:Luengo, J.I.; Elliott, J.D.; Xiang, J.-N. (SmithKline Beecham plc)
来源:EP 0841925; EP 0843551; JP 1999511133; US 5969151; WO 9704772; WO 9704773
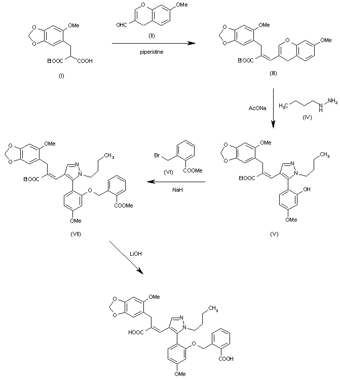
合成路线图解说明:

The condensation of malonic monoester (I) with 7-methoxy-4H-1-benzopyran-3-carbaldehyde (II) by means of piperidine in refluxing benzene gives the 2-methylene propionaate (III), which by reaction with butylhydrazine (IV) and sodium acetate in refluxing ethanol/water yields the pyrazole (V). The condensation of (V) with methyl 2-(bromomethyl)benzoate (VI) by means of NaH in DMF gives the target compound as the methyl ethyl diester (VII), which is finally hydrolyzed with LiOH in refluxing methanol/water.

合成路线图解说明:

Reaction of methyl 2-(2-acetyl-5-methoxyphenoxymethyl)benzoate (I) with methyl formate by means of NaH in toluene gives methyl 2-[2-(3-hydroxy-2-propenoyl)-5-methoxyphenoxymethyl]benzoate (II), which is treated with diethylamine in toluene yielding the corresponding diethylamino derivative (III). The cyclization of (III) with butylhydrazine (IV) by means of sodium acetate in methanol/water affords the pyrazole (V), which by reaction with DMF and POCl3 is converted into the pyrazole-4-carbaldehyde (VI). The hydrolysis of the methyl ester of (VI) with LiOH in hot methanol/water gives the acid (VII), which is condensed with the malonic monoester (VIII) by means of piperidine in refluxing benzene yielding the target compound as the ethyl ester (IX). Finally, this compound is saponified with LiOH in refluxing methanol/water.

Drug Information Express,Drug R&D,Chemical Database,Patent Search.
Copyright © 2006-2026 Drug Future. All rights reserved.Contact Us