【药物名称】
化学结构式(Chemical Structure):
参考文献No.41527
标题:Derivs. of pyrido [2,3-d] and [3,2-d] pyrimidine and methods of using these derivs.
作者:Gangjee, A. (Duquesne University)
来源:US 5508281
合成路线图解说明:

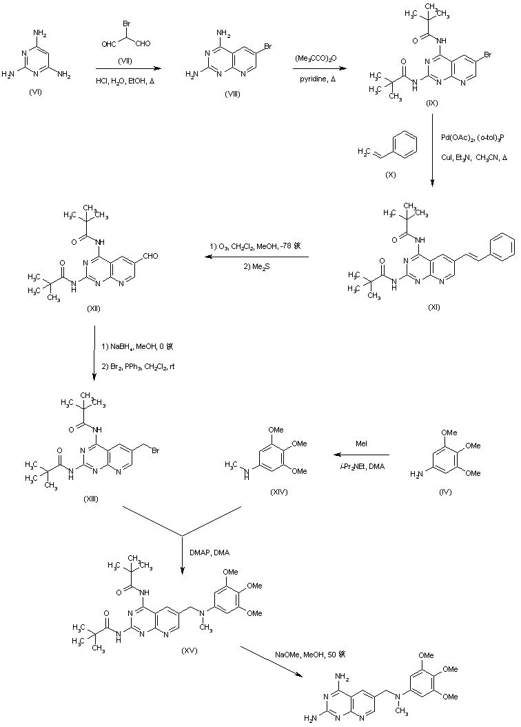
The title compound has been prepared by two synthetic procedures. Condensation of 2-aminopyridine-3,5-dicarbonitrile (I) with guanidine (II) in refluxing EtOH produced the pyridopyrimidine (III). Subsequent reductive condensation of (III) with 3,4,5-trimethoxyaniline (IV) by hydrogenation over Raney Nickel provided the (arylamino)methyl derivative (V). Final reductive alkylation of (V) by means of formaldehyde and sodium cyanoborohydride then gave the target methylated amine.

参考文献No.428056
标题:Synthesis and dihydrofolate reductase inhibitory activities of 2,4-diamino-5-deaza and 2,4-diamino-5, 10-dideaza lipophilic antifolates
作者:Gangjee, A.; Devraj, R.; Queener, S.F.
来源:J Med Chem 1997,40(4),470
合成路线图解说明:

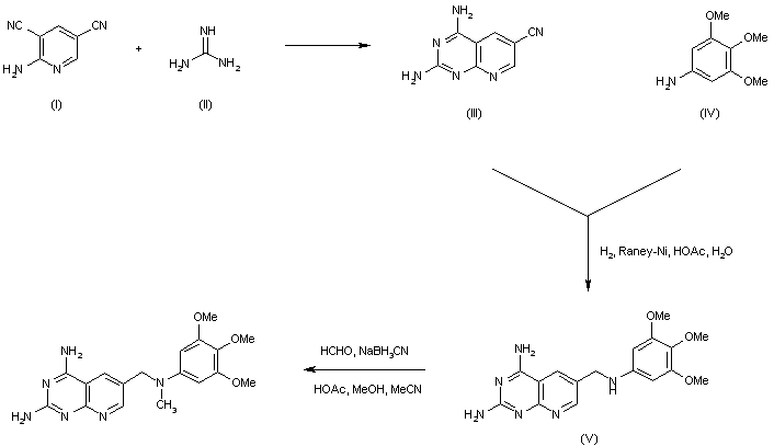
In an alternative synthesis, 2,4,6-triaminopyrimidine (VI) was condensed with bromomalonaldehyde (VII) under acidic conditions to give pyridopyrimidine (VIII), which was protected with pivaloyl anhydride in pyridine, yielding the bispivaloylamide (IX). Palladium-catalyzed Heck coupling of (IX) with styrene (X) afforded (XI). Subsequent ozonolysis of the styryl derivative (XI), followed by reductive workup with dimethyl sulfide gave aldehyde (XII). Reduction of (XII) to the corresponding alcohol with NaBH4, followed by bromination with PPh3 and Br2 provided bromide (XIII). The N-methyl aniline (XIV) was synthesized by direct alkylation of 3,4,5-trimethoxyaniline (IV) with methyl iodide. Nucleophilic displacement of the bromide (XIII) with aniline (XIV) afforded the tertiary amine (XV). The pivaloyl protecting groups of (XV) were finally removed by treatment with methanolic NaOMe.

Drug Information Express,Drug R&D,Chemical Database,Patent Search.
Copyright © 2006-2026 Drug Future. All rights reserved.Contact Us