【药物名称】Enecadin hydrochloride, NS-7
化学结构式(Chemical Structure):
参考文献No.29754
标题:Heterocyclic deriv. and medicine
作者:Chokai, S.; Ukai, Y.; Aoki, T.; Ideguchi, K. (Nippon Shinyaku Co., Ltd.)
来源:EP 0781766; JP 2000136184; US 6191149; WO 9607641
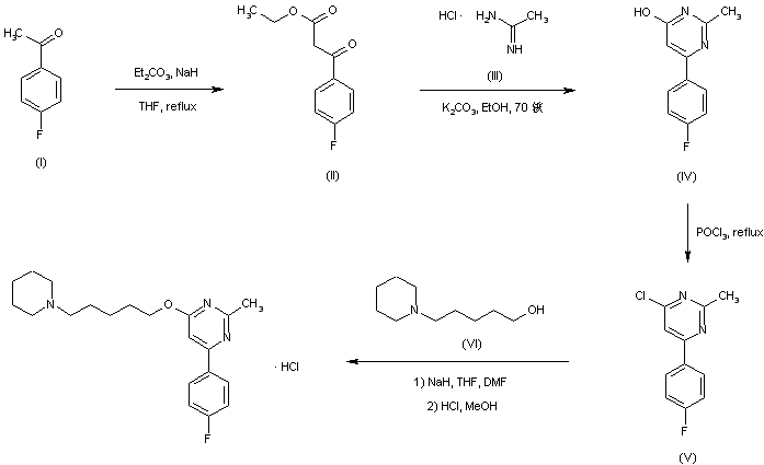
合成路线图解说明:

Claisen condensation of diethyl carbonate with p-fluoroacetophenone (I) produced keto ester (II). This was cyclized to the pyrimidine (IV) by treatment with acetamidine hydrochloride (III) in the presence of K2CO3 in hot EtOH. Chlorination of hydroxypyrimidine (IV) by means of POCl3 furnished the 4-chloropyrimidine (V). Finally, chloride displacement in (V) with the sodium alkoxide of 5-piperidino-1-pentanol (VI) gave rise to the target pyrimidinyl ether, which was isolated as the corresponding hydrochloride salt.

Drug Information Express,Drug R&D,Chemical Database,Patent Search.
Copyright © 2006-2026 Drug Future. All rights reserved.Contact Us