【药物名称】FR-167344
化学结构式(Chemical Structure):
参考文献No.476315
标题:A novel class of orally active non-peptide bradykinin B2 receptor antagonists. 2. Overcoming the species difference between guinea pig and man
作者:Abe, Y.; Kayakiri, H.; Satoh, S.; Inoue, T.; Sawada, Y.; Inamura, N.; Asano, M.; Hatori, C.; Sawai, H.; Oku, T.; Tanaka, H.
来源:J Med Chem 1998,41(21),4053
合成路线图解说明:

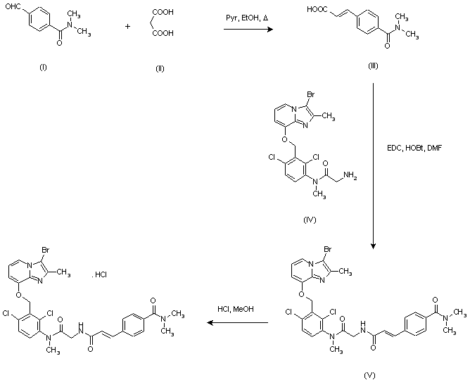
Knoevenagel condensation of aldehyde (I) with malonic acid (II) provided substituted cinnamic acid (III). This was condensed with amino compound (IV) in the presence of 1-ethyl-3-(3-dimethylaminopropyl)carbodiimide.HCl (EDC) and 1-hydroxy-benzotriazole (HOBt) to give amide (V), which was then converted to the hydrochloride salt by reaction with methanolic HCl.

Drug Information Express,Drug R&D,Chemical Database,Patent Search.
Copyright © 2006-2026 Drug Future. All rights reserved.Contact Us