【药物名称】H-2545, A-2545
化学结构式(Chemical Structure):
参考文献No.2263
标题:New alkyl diamine derivatives
作者:Bodi, I.; Csak, J.; Frank, L.; Hankovszky, O.H.; Hideg, K. (Alkaloida Chemical Co. Ltd.)
来源:EP 0134225; JP 1985500669; US 4703056; US 5028609; US 5032600; WO 8402907
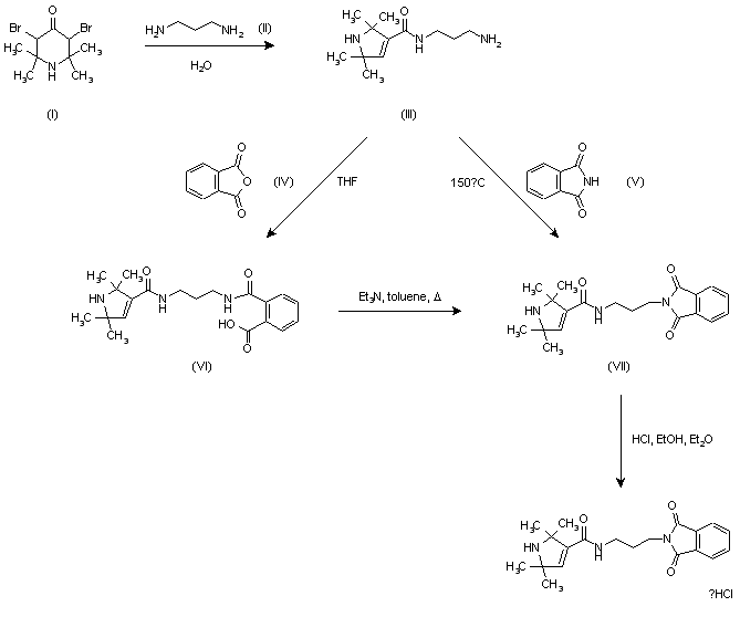
合成路线图解说明:

Pyrroline (III) was prepared by Favorskii rearrangement of 3,5-dibromo-2,2,6,6-tetramethylpiperidinone (I) in the presence of 1,3-diaminopropane (II). Acylation at the primary amino group of (III) with phthalic anhydride (IV) gave the 2-carboxybenzamide (VI), which was cyclized to the target phthalimide (VII) by refluxing in toluene in the presence of Et3N. Alternatively, the phthalimido derivative (VII) was obtained by condensation of amine (III) with phthalimide (V) at 150 C. The target compound was then isolated as the hydrochloride salt upon treatment with HCl in EtOH-Et2O.

Drug Information Express,Drug R&D,Chemical Database,Patent Search.
Copyright © 2006-2026 Drug Future. All rights reserved.Contact Us