【药物名称】KB-R9032, KBR-9032
化学结构式(Chemical Structure):
参考文献No.477821
标题:Synthesis and quantitative structure-activity relationships of N-(3-oxo-3,4-dihydro-2H-benzo[1,4]oxazine-6-carbonyl)guanidines as Na/H exchange inhibitors
作者:Yamamoto, T.; Hori, M.; Watanabe, I.; Tsutsui, H.; Harada, K.; Ikeda, S.; Maruo, J.; Morita, T.; Ohtaka, H.
来源:Chem Pharm Bull 1998,46(11),1716
合成路线图解说明:

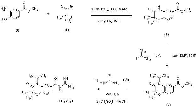
Benzoxazinone (III) was obtained by the two-step condensation of methyl 3-amino-4-hydroxybenzoate (I) and 2-bromoisobutyryl bromide (II), first with NaHCO3 in H2O-EtOAc to afford the corresponding amide, and then cyclization with K2CO3 in DMF. Subsequent N-alkylation of (III) with 2-iodopropane (IV) in the presence of NaH in DMF at 60 C provided the isopropylated compound (V). Refluxing of (V) with an excess of guanidine (VI) in MeOH yielded the desired acylguanidine, which was finally converted to the mesylate salt upon treatment with methanesulfonic acid in isopropanol.

参考文献No.547562
标题:An acid-catalyzed O,N-acyl migration and application to the synthesis of N-(4-isopropyl-2,2-dimethyl-3-oxo-3,4-dihydro-2H-benzo[1,4]oxazine-6-carbonyl)guanidine methanesulfonate (KB-R9032), a novel Na/H exchange inhibitor
作者:Yamamoto, T.; et al.
来源:Chem Pharm Bull 1999,47(1),22
合成路线图解说明:

Benzoxazinone (III) was obtained by the two-step condensation of methyl 3-amino-4-hydroxybenzoate (I) and 2-bromoisobutyryl bromide (II), first with NaHCO3 in H2O-EtOAc to afford the corresponding amide, and then cyclization with K2CO3 in DMF. Subsequent N-alkylation of (III) with 2-iodopropane (IV) in the presence of NaH in DMF at 60 C provided the isopropylated compound (V). Refluxing of (V) with an excess of guanidine (VI) in MeOH yielded the desired acylguanidine, which was finally converted to the mesylate salt upon treatment with methanesulfonic acid in isopropanol.

合成路线图解说明:

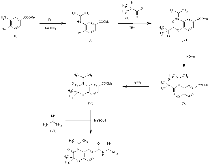
The alkylation of 3-amino-4-hydroxybenzoic acid methyl ester (I) with isopropyl iodide and NaHCO3 gives 4-hydroxy-3-(isopropylamino)benzoic acid methyl ester (II), which is esterified with 2-bromoisobutyryl bromide (III) and TEA to yield 4-(2-bromoisobutyryloxy)-3-(isopropylamino)benzoic acid methyl ester (IV). The O-N migration of the 2-bromoisobutyryl group of (IV) catalyzed by acetic acid affords the 2-bromoisobutyrylamide (V), which is cyclized by means of K2CO3 to provide 4-isopropyl-2,2-dimethyl-3-oxo-3,4-dihydro-2H-1,4-benzoxazine-6-carboxylic acid methyl ester (VI). Finally, this compound is condensed with guanidine and treated with MeSO3H to give the target mesylate.

Drug Information Express,Drug R&D,Chemical Database,Patent Search.
Copyright © 2006-2026 Drug Future. All rights reserved.Contact Us