【药物名称】ME-3229
化学结构式(Chemical Structure):
参考文献No.24953
标题:Novel cpd. with platelet aggregation inhibitor activity
作者:Katano, K.; Ohugichi, S.; Shitara, E.; Shimizu, M.; Yaegashi, K.; Miura, T.; Isomura, Y.; Iida, H.; Ishikawa, M.; Asai, K.; Hatsushiba, E.; Kawaguchi, M.; Tsuruoka, T. (Meiji Seika Kaisha, Ltd.)
来源:JP 1995520876; US 5594004; US 5698692; WO 9421599
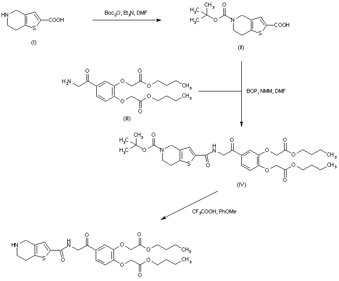
合成路线图解说明:

Treatment of 4,5,6,7-tetrahydrothieno[3,2-c]pyridin-2-carboxylic acid (I) with di-tert-butyl dicarbonate and triethylamine provided the N-Boc derivative (II), which was subsequently coupled with di-n-butyl [[4-(aminoacetyl)-o-phenylene]dioxy]diacetate (III) using BOP and N-methylmorpholine to afford amide (IV). The Boc protecting group of (IV) was finally cleaved by treatment with trifluoroacetic acid in the presence of anisole.

Drug Information Express,Drug R&D,Chemical Database,Patent Search.
Copyright © 2006-2026 Drug Future. All rights reserved.Contact Us