【药物名称】HS-1141
化学结构式(Chemical Structure):
参考文献No.409758
标题:3-Amino-1,2-benzisoxazoles: A new family of potent inhibitors of LTB4 binding to the human neutrophils
作者:Suh, H.; et al.
来源:Bioorg Med Chem Lett 1997,7(4),389
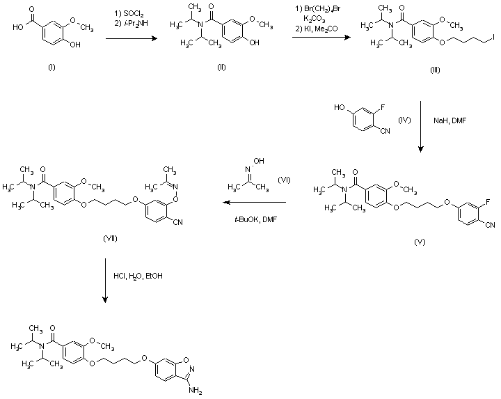
合成路线图解说明:

Treatment of 4-hydroxy-3-methoxybenzoic acid (I) with thionyl chloride and then with diisopropyl amine provided amide (II). Alkylation of (II) with 1,4-dibromobutane and potassium carbonate in acetonitrile, followed by treatment with sodium iodide afforded iodobutylether (III). Then, alkylation of 2-fluoro-4-hydroxybenzonitrile (IV) with iodide (III) in the presence of sodium hydride in DMF gave (V), which was condensed with acetone oxime (VI) and potassium tert-butoxide to provide (VII). Finally, cyclization of (VII) in a refluxing hydroalcoholic solution of HCl generated the target benzisoxazole.

Drug Information Express,Drug R&D,Chemical Database,Patent Search.
Copyright © 2006-2026 Drug Future. All rights reserved.Contact Us